• 中国科技期刊卓越行动计划项目资助期刊
  • 中国精品科技期刊
  • 首都科技期刊卓越行动计划
  • EI
  • Scopus
  • CAB Abstracts
  • Global Health
  • 北大核心期刊
  • DOAJ
  • EBSCO
  • 中国核心学术期刊RCCSE A+
  • 中国科技核心期刊CSTPCD
  • JST China
  • FSTA
  • 中国农林核心期刊
  • 中国开放获取期刊数据库COAJ
  • CA
  • WJCI
  • 食品科学与工程领域高质量科技期刊分级目录第一方阵T1
中国精品科技期刊2020
孙广平,宁磊,方晓琳. 芒果苷改善2型糖尿病大鼠糖脂代谢紊乱的作用及机制研究J. 食品工业科技,2023,44(7):385−393. doi: 10.13386/j.issn1002-0306.2022060129.
引用本文: 孙广平,宁磊,方晓琳. 芒果苷改善2型糖尿病大鼠糖脂代谢紊乱的作用及机制研究J. 食品工业科技,2023,44(7):385−393. doi: 10.13386/j.issn1002-0306.2022060129.
SUN Guangping, NING Lei, FANG Xiaolin. Effect of Mangiferin on the Glycolipid Metabolism Disorder in T2DM Rats and Its MechanismJ. Science and Technology of Food Industry, 2023, 44(7): 385−393. (in Chinese with English abstract). doi: 10.13386/j.issn1002-0306.2022060129.
Citation: SUN Guangping, NING Lei, FANG Xiaolin. Effect of Mangiferin on the Glycolipid Metabolism Disorder in T2DM Rats and Its MechanismJ. Science and Technology of Food Industry, 2023, 44(7): 385−393. (in Chinese with English abstract). doi: 10.13386/j.issn1002-0306.2022060129.

芒果苷改善2型糖尿病大鼠糖脂代谢紊乱的作用及机制研究

Effect of Mangiferin on the Glycolipid Metabolism Disorder in T2DM Rats and Its Mechanism

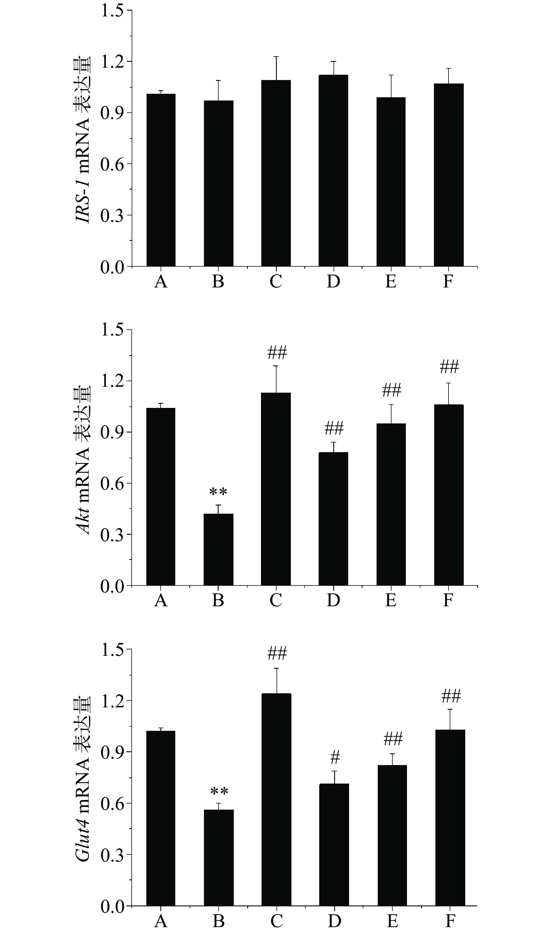
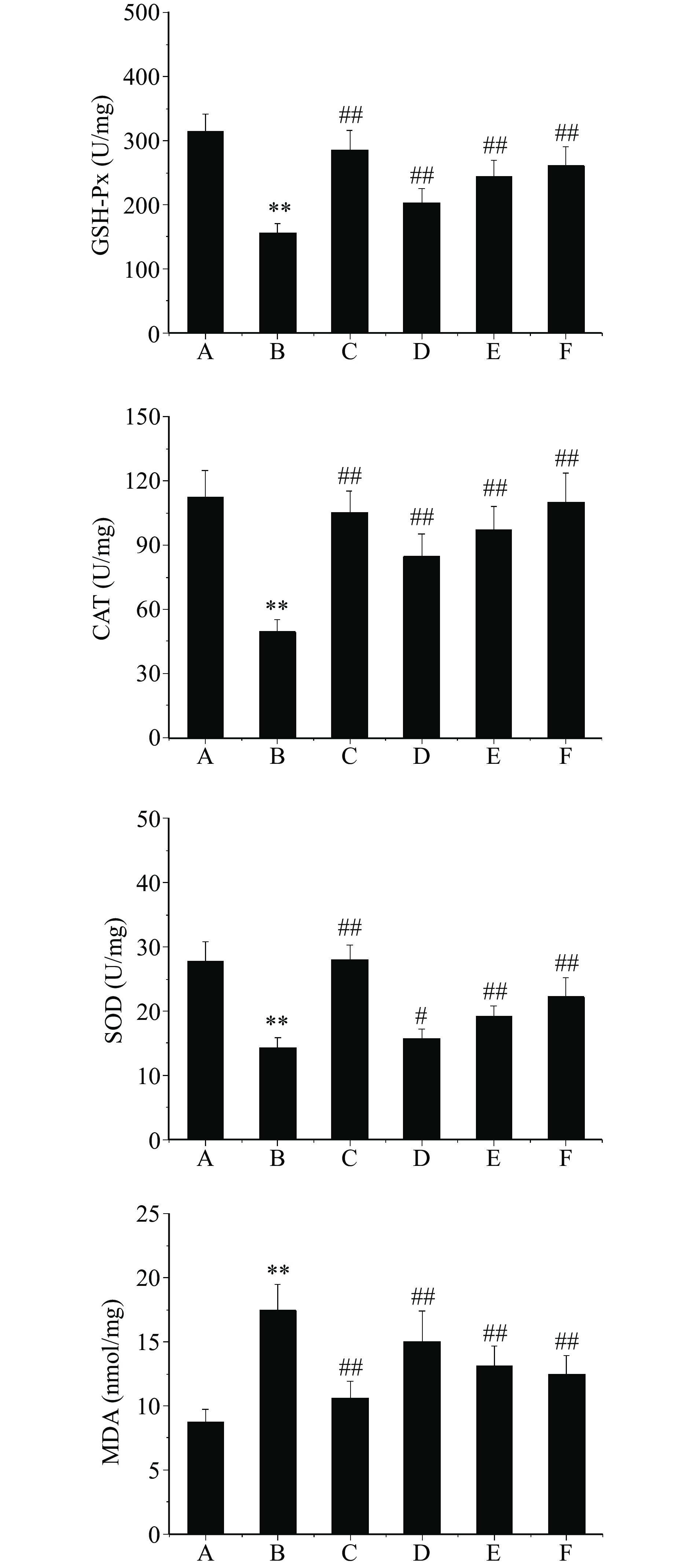
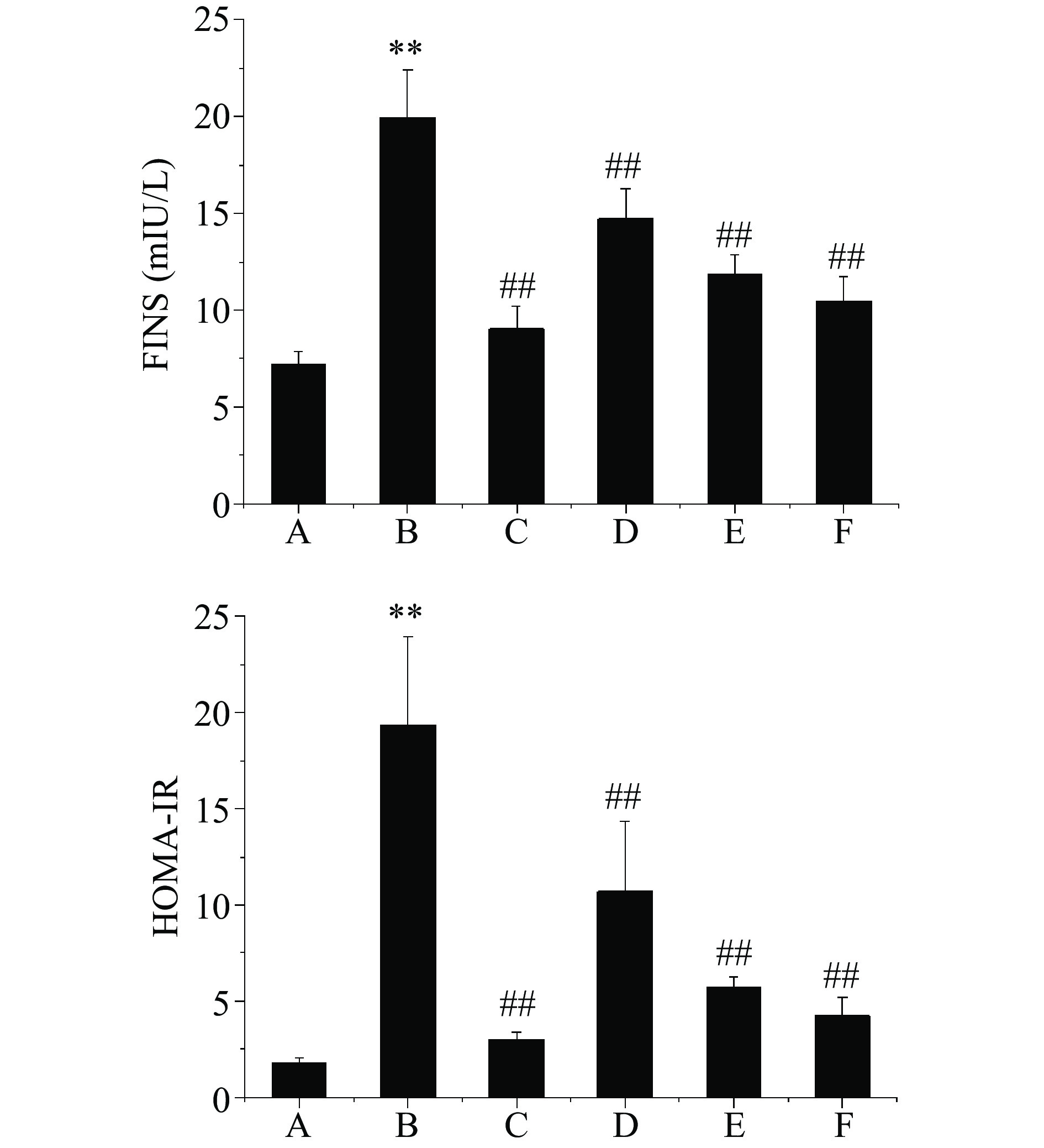
  • 摘要: 为探讨芒果苷改善大鼠2型糖尿病(type 2 diabetes mellitus,T2DM)糖脂代谢紊乱的作用及潜在机制,将T2DM大鼠随机分为模型对照组、二甲双胍组(100 mg/kg)及芒果苷低、中、高剂量组(50、100、200 mg/kg),另设正常对照组,10只/组;灌胃给药,1次/d,持续8周。评价空腹血糖(fasting blood glucose,FBG)、空腹胰岛素(fasting insulin,FINS)、胰岛素抵抗指数(insulin resistance index,HOMA-IR)及血清游离脂肪酸(free fatty acid,FFA)、甘油三酯(triglyceride,TG)、总胆固醇(total cholesterol,TC)等指标,并检测肝组织谷胱甘肽过氧化物酶(glutathione peroxidase,GSH-Px)、过氧化氢酶(catalase,CAT)、超氧化物歧化酶(superoxide dismutase,SOD)、丙二醛(malondialdehyde,MDA)及胰岛素受体底物1(insulin receptor substrate 1,IRS-1)/蛋白激酶B(protein kinase B,Akt)/葡萄糖转运蛋白4(glucose transporter 4,Glut4)信号通路相关mRNA和蛋白表达。结果发现,芒果苷可以改善T2DM大鼠毛色、活动及精神等一般状态,减缓体重下降趋势;与模型对照组比较,经芒果苷治疗8周后,各治疗组大鼠FBG、FINS、HOMA-IR及血清FFA、TG、TC含量均显著或极显著降低(P<0.05,P<0.01);各治疗组大鼠肝组织GSH-Px、CAT、SOD活力显著或极显著高于模型对照组(P<0.05,P<0.01),而MDA含量极显著降低(P<0.01);与模型对照组比较,芒果苷低、中、高剂量组大鼠肝组织IRS-1 mRNA表达无显著差异(P>0.05),AktGlut4 mRNA及p-IRS-1(Tyr)、Akt、Glut4蛋白表达显著或极显著增加(P<0.05,P<0.01),而p-IRS-1(Ser)蛋白表达显著或极显著降低(P<0.05,P<0.01)。上述结果表明,芒果苷具有改善T2DM大鼠糖脂代谢紊乱的作用,该作用与抗氧化应激及调节IRS-1/Akt/Glut4信号通路有关。

     

    Abstract: To investigate the effect of mangiferin on the glycolipid metabolism disorder in type 2 diabetes mellitus (T2DM) rats and its underlying mechanism, T2DM rats were randomly divided into model control group, metformin group (100 mg/kg), and low-, medium- and high-dose mangiferin groups (50, 100 and 200 mg/kg), 10 rats in each group, and a normal control group was set (10 healthy rats). The rats were intragastrically administered with the different agents once a day, successively for 8 weeks. The levels of fasting blood glucose (FBG) and fasting insulin (FINS) were determined, the insulin resistance index (HOMA-IR) was calculated, the contents of serum free fatty acid (FFA), triglyceride (TG) and total cholesterol (TC) were measured, the activities of glutathione peroxidase (GSH-Px), catalase (CAT) and superoxide dismutase (SOD) and the content of malondialdehyde (MDA) in the liver tissue of rats were tested, and the mRNA and proteins related to the insulin receptor substrate 1 (IRS-1)/protein kinase B (Akt)/glucose transporter 4 (Glut4) signaling pathway in the liver tissue of rats were detected. The results showed that mangiferin could improve the general status of T2DM rats, including their hair color, activity and spirits, and slow down the trend of weight loss. Compared with those in the model control group, the contents of FBG, FINS, HOMA-IR and serum FFA, TG and TC in the mangiferin-treated groups were significantly or extremely significantly decreased after the intragastric administration of mangiferin for 8 weeks (P<0.05, P<0.01). The activities of GSH-Px, CAT and SOD in the liver tissue of rats in the mangiferin-treated groups were significantly or extremely significantly higher than those in the model control group (P<0.05, P<0.01), while the content of MDA in the liver tissue of rats was extremely significantly lower than that in the model control group (P<0.01). The expression of IRS-1 mRNA in the liver tissue of rats in the low-, medium- and high-dose mangiferin groups was not significantly different from that in the model control group (P>0.05), the expression levels of Akt, Glut4 mRNA, and p-IRS-1 (Tyr), Akt and Glut4 proteins increased significantly or extremely significantly (P<0.05, P<0.01), while the expression of p-IRS-1 (Ser) protein decreased significantly or extremely significantly compared with that in the model control group (P<0.05, P<0.01). The above results indicate that mangiferin can improve the glycolipid metabolism disorder in T2DM rats, which may be related to its antioxidant stress and regulation on the IRS-1/Akt/Glut4 signaling pathway.

     

/

返回文章
返回