• 中国科技期刊卓越行动计划项目资助期刊
  • 中国精品科技期刊
  • 首都科技期刊卓越行动计划
  • EI
  • Scopus
  • CAB Abstracts
  • Global Health
  • 北大核心期刊
  • DOAJ
  • EBSCO
  • 中国核心学术期刊RCCSE A+
  • 中国科技核心期刊CSTPCD
  • JST China
  • FSTA
  • 中国农林核心期刊
  • 中国开放获取期刊数据库COAJ
  • CA
  • WJCI
  • 食品科学与工程领域高质量科技期刊分级目录第一方阵T1
中国精品科技期刊2020
李巧菲,张宏图,彭桂兰,等. 豇豆热风干燥特性及工艺优化J. 食品工业科技,2023,44(6):253−260. doi: 10.13386/j.issn1002-0306.2022070009.
引用本文: 李巧菲,张宏图,彭桂兰,等. 豇豆热风干燥特性及工艺优化J. 食品工业科技,2023,44(6):253−260. doi: 10.13386/j.issn1002-0306.2022070009.
LI Qiaofei, ZHANG Hongtu, PENG Guilan, et al. Hot Air Drying Characteristics and Process Optimization of CowpeaJ. Science and Technology of Food Industry, 2023, 44(6): 253−260. (in Chinese with English abstract). doi: 10.13386/j.issn1002-0306.2022070009.
Citation: LI Qiaofei, ZHANG Hongtu, PENG Guilan, et al. Hot Air Drying Characteristics and Process Optimization of CowpeaJ. Science and Technology of Food Industry, 2023, 44(6): 253−260. (in Chinese with English abstract). doi: 10.13386/j.issn1002-0306.2022070009.

豇豆热风干燥特性及工艺优化

Hot Air Drying Characteristics and Process Optimization of Cowpea

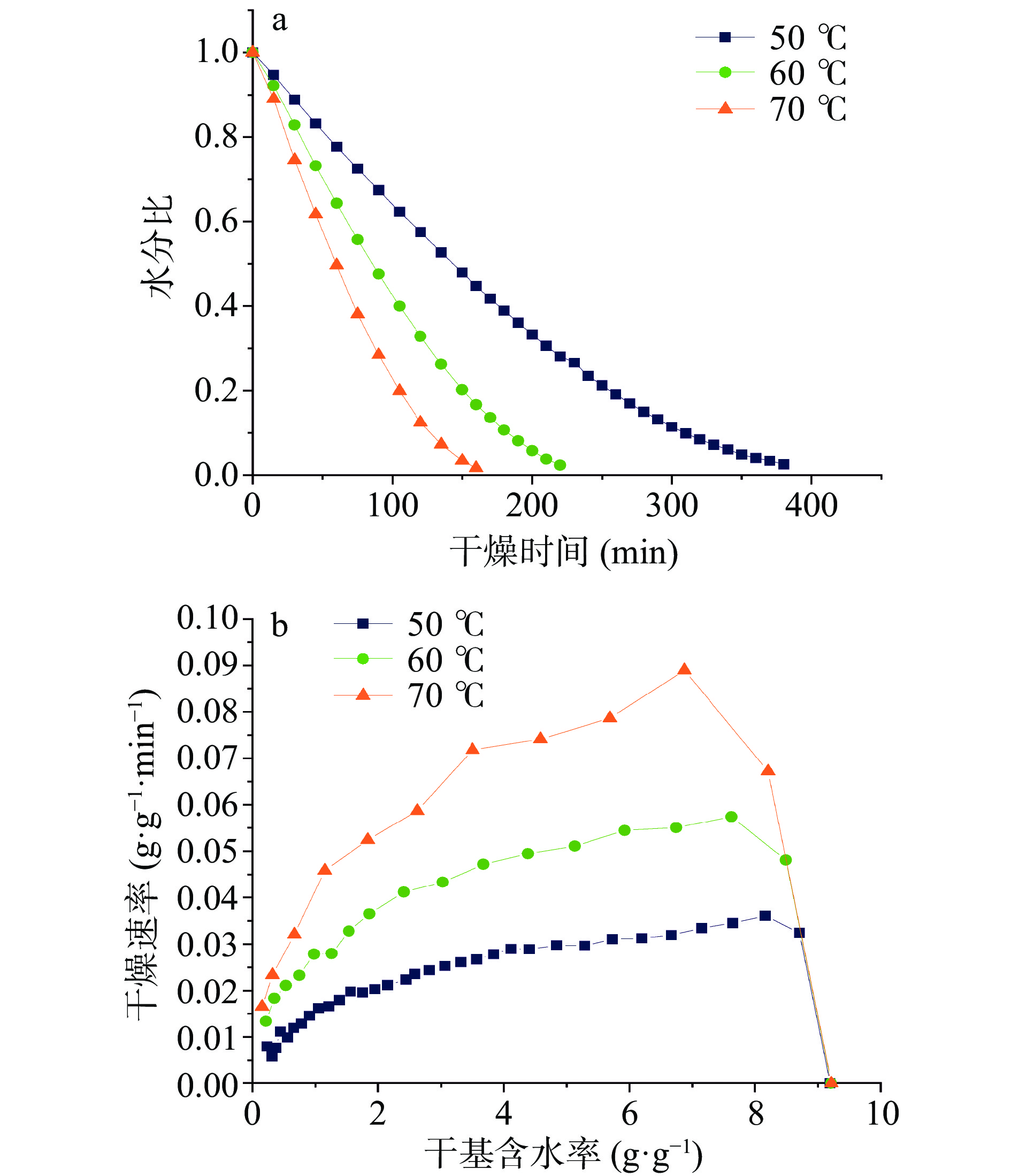
  • 摘要: 为探究豇豆热风干燥中的水分变化规律,在不同热风温度、热风风速和铺料层数的条件下对豇豆进行试验,使用传统数学模型对试验数据进行数学建模得到最佳动力学模型;在单因素实验基础上进行响应面试验,以豇豆复水比、色差值和单位能耗作为评价指标,采用熵权法确定权重对工艺参数进行综合优化。结果表明:热风温度与铺料层数对豇豆热风干燥速率及干燥总时长的影响较大,热风风速对干燥速率和干燥总时长的影响较小;Avhad and Marchetti模型为最优预测模型,能较准确地预测豇豆热风干燥过程中的含水率变化;基于熵权法求得最佳工艺参数为:热风温度51 °C、热风风速1.2 m/s、铺料层数3层,此工艺条件下验证试验单位能耗为34.52 kJ/kg,色差值为23.87,复水比为1.49。该研究为提高豇豆干燥的品质和干燥设备的设计提供了可靠理论数据。

     

    Abstract: This study aimed to optimize the process parameters and hot-air drying characteristics of the cowpea under different drying conditions. Cowpea was tested under different conditions of hot air temperature, hot air velocity and number of layers of spreading material, and the best kinetic model was obtained by mathematical modeling of the test data using a conventional mathematical model. Response surface tests were conducted based on single-factor tests, and the cowpea rehydration ratio, color difference value and unit energy consumption were used as evaluation indexes, and the entropy weight method was used to determine the weights for comprehensive optimization of process parameters. The results showed that the hot air temperature and the number of layers of material spread had a greater effect on the hot air drying rate and total drying time of cowpea, while the hot air velocity had a smaller effect on the drying rate and total drying time. The Avhad and Marchetti model was the optimal prediction model, which could more accurately predict the changes of moisture content during the hot air drying of cowpea. The optimal process parameters for cowpea based on entropy weighting method were: hot air temperature 51 °C, hot air wind speed 1.2 m/s, and number of layers of 3 layers of spreading material, and the energy consumption per unit for the validation test under this process condition was 34.52 kJ/kg, the color difference value was 23.87, and the rehydration ratio was 1.49. This study could provide reliable theoretical data for improving the quality of cowpea drying and the design of drying equipment.

     

/

返回文章
返回