• 中国科技期刊卓越行动计划项目资助期刊
  • 中国精品科技期刊
  • 首都科技期刊卓越行动计划
  • EI
  • Scopus
  • CAB Abstracts
  • Global Health
  • 北大核心期刊
  • DOAJ
  • EBSCO
  • 中国核心学术期刊RCCSE A+
  • 中国科技核心期刊CSTPCD
  • JST China
  • FSTA
  • 中国农林核心期刊
  • 中国开放获取期刊数据库COAJ
  • CA
  • WJCI
  • 食品科学与工程领域高质量科技期刊分级目录第一方阵T1
中国精品科技期刊2020
周婷,吴雪莉,李星洁,等. 三种果汁的抗氧化活性及其对结肠细胞NCM460氧化损伤的保护作用比较J. 食品工业科技,2023,44(10):353−361. doi: 10.13386/j.issn1002-0306.2022070108.
引用本文: 周婷,吴雪莉,李星洁,等. 三种果汁的抗氧化活性及其对结肠细胞NCM460氧化损伤的保护作用比较J. 食品工业科技,2023,44(10):353−361. doi: 10.13386/j.issn1002-0306.2022070108.
ZHOU Ting, WU Xueli, LI Xingjie, et al. Comparison of Antioxidant Activities of Three Kinds of Juices and Their Protective Effects on Oxidative Damage of Colon Cell NCM460J. Science and Technology of Food Industry, 2023, 44(10): 353−361. (in Chinese with English abstract). doi: 10.13386/j.issn1002-0306.2022070108.
Citation: ZHOU Ting, WU Xueli, LI Xingjie, et al. Comparison of Antioxidant Activities of Three Kinds of Juices and Their Protective Effects on Oxidative Damage of Colon Cell NCM460J. Science and Technology of Food Industry, 2023, 44(10): 353−361. (in Chinese with English abstract). doi: 10.13386/j.issn1002-0306.2022070108.

三种果汁的抗氧化活性及其对结肠细胞NCM460氧化损伤的保护作用比较

Comparison of Antioxidant Activities of Three Kinds of Juices and Their Protective Effects on Oxidative Damage of Colon Cell NCM460

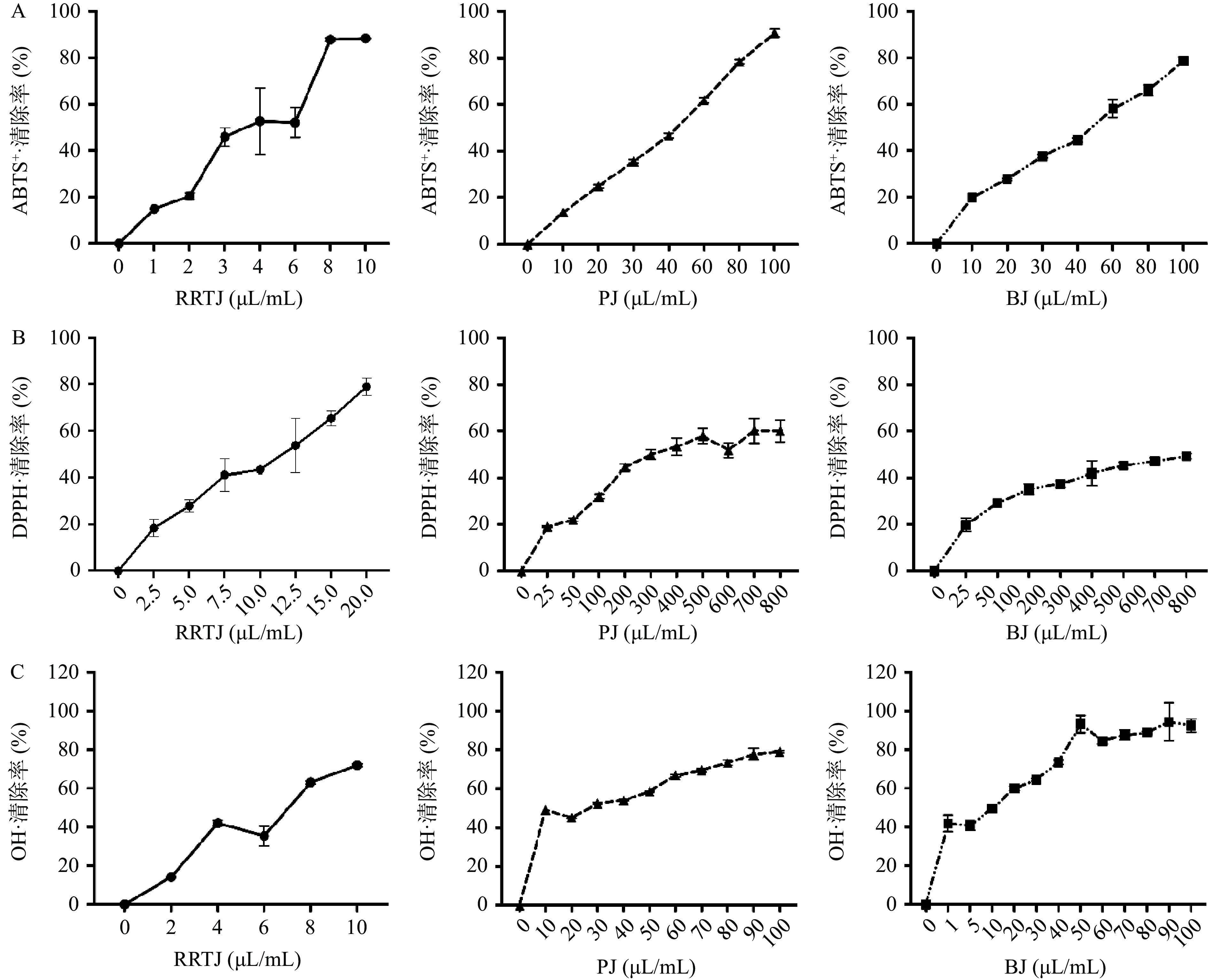
  • 摘要: 比较刺梨汁(Rosa roxburghii Tratt juice,RRTJ)、石榴汁(Pomegranate juice,PJ)以及蓝莓汁(Blueberry juice,BJ)的活性成分含量以及抗氧化活性,探究三种果汁对葡聚糖硫酸钠盐(Dextran sulfate sodium,DSS)诱导人正常结肠上皮细胞NCM460氧化损伤的保护作用。结果表明,三种果汁中共同含有的生物活性成分有28种,其中刺梨汁的总多酚、总黄酮含量显著高于石榴汁和蓝莓汁(P<0.05),分别为22.77和12.04 mg/mL;同时,刺梨汁对ABTS+·、DPPH·的清除能力显著高于石榴汁和蓝莓汁(P<0.05),半数清除率(Half scavenging rate,IC50)分别为4.00±0.32和10.03±0.51 μL/mL;Pearson相关性分析表明果汁的总多酚含量与ABTS+·清除能力呈正相关(P<0.05)。此外,刺梨汁缓解DSS诱导NCM460细胞氧化损伤的能力最强,2 μL/mL刺梨汁即能使氧化损伤的NCM460细胞活力恢复到与对照组相当的水平,降低DSS引起的细胞中活性氧(Reactive oxygen species,ROS)水平。实验表明果汁中的总多酚含量与抗氧化能力呈正相关;刺梨汁的总多酚和总黄酮含量高于蓝莓汁和石榴汁,抗氧化活性和缓解DSS诱导NCM460细胞氧化损伤的能力最强,具有深入研究开发的潜力。

     

    Abstract: To compare the contents of active ingredients and antioxidant activity of Rosa roxburghii Tratt juice (RRTJ), pomegranate juice (PJ) and blueberry juice (BJ) and investigate the protective effects of three kinds of fruit juices against dextran sulfate sodium (DSS)-induced oxidative damage in human normal colonic epithelial cells NCM460. There were 28 bioactive components in the three juices. The total polyphenols and total flavonoids of RRTJ were significantly higher than those in the PJ and BJ (P<0.05), 22.77 and 12.04 mg/mL, respectively. Meanwhile, the ABTS+· and DPPH· scavenging abilities of the juice were significantly higher than those in the PJ and BJ (P<0.05), and the half scavenging rate (IC50) was 4.00±0.32 and 10.03±0.51 μL/mL, respectively. Pearson correlation analysis indicated that the total polyphenol content of the juice was positively correlated with the ABTS+· scavenging ability (P<0.05). In addition, RRTJ had the strongest ability to alleviate DSS-induced oxidative damage in NCM460 cells, and 2 μL/mL RRTJ could restore the viability of oxidatively damaged NCM460 cells to a level comparable to the control and reduce the level of reactive oxygen species (ROS) in DSS-induced cells. The results showed that the content of total polyphenols in fruit juice was positively correlated with antioxidant capacity. The content of total polyphenols in juice was positively correlated with antioxidant capacity, and the antioxidant activity and the ability to alleviate DSS-induced oxidative damage in NCM460 cells were the strongest in vitro, which had the potential for in-depth research and development.

     

/

返回文章
返回