• 中国科技期刊卓越行动计划项目资助期刊
  • 中国精品科技期刊
  • 首都科技期刊卓越行动计划
  • EI
  • Scopus
  • CAB Abstracts
  • Global Health
  • 北大核心期刊
  • DOAJ
  • EBSCO
  • 中国核心学术期刊RCCSE A+
  • 中国科技核心期刊CSTPCD
  • JST China
  • FSTA
  • 中国农林核心期刊
  • 中国开放获取期刊数据库COAJ
  • CA
  • WJCI
  • 食品科学与工程领域高质量科技期刊分级目录第一方阵T1
中国精品科技期刊2020
陈凤莲,吉语宁,贺殷媛,等. 稻米粉的添加对高筋粉面团力学特性的影响J. 食品工业科技,2023,44(10):54−60. doi: 10.13386/j.issn1002-0306.2022070157.
引用本文: 陈凤莲,吉语宁,贺殷媛,等. 稻米粉的添加对高筋粉面团力学特性的影响J. 食品工业科技,2023,44(10):54−60. doi: 10.13386/j.issn1002-0306.2022070157.
CHEN Fenglian, JI Yuning, HE Yinyuan, et al. Effects of Rice Flour Addition on Mechanical Properties of High Gluten Flour DoughJ. Science and Technology of Food Industry, 2023, 44(10): 54−60. (in Chinese with English abstract). doi: 10.13386/j.issn1002-0306.2022070157.
Citation: CHEN Fenglian, JI Yuning, HE Yinyuan, et al. Effects of Rice Flour Addition on Mechanical Properties of High Gluten Flour DoughJ. Science and Technology of Food Industry, 2023, 44(10): 54−60. (in Chinese with English abstract). doi: 10.13386/j.issn1002-0306.2022070157.

稻米粉的添加对高筋粉面团力学特性的影响

Effects of Rice Flour Addition on Mechanical Properties of High Gluten Flour Dough

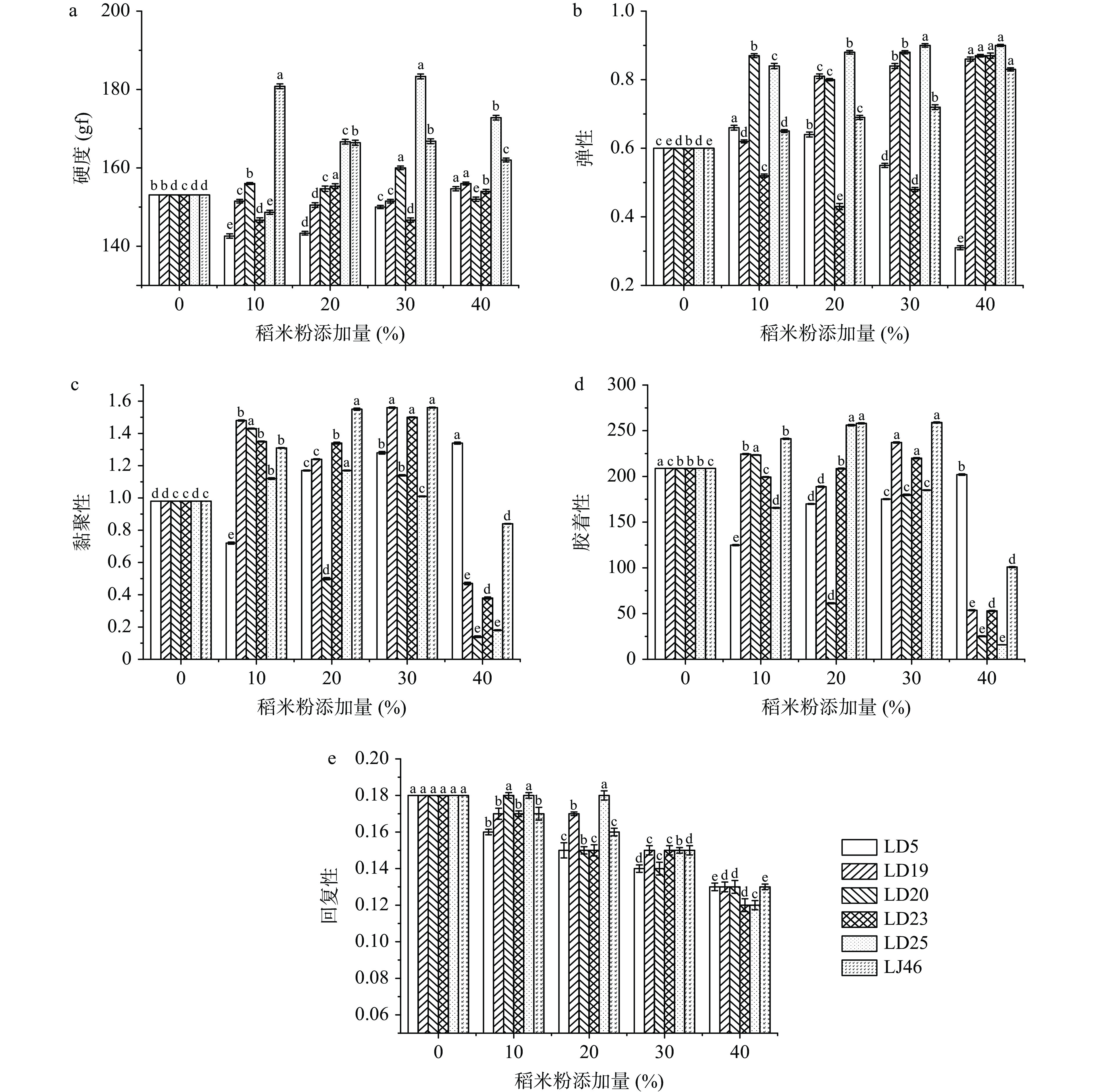
  • 摘要: 本文采用质构仪和电子型面筋仪Glutograph-E对米-面混合粉面团的质构特性、应力松弛以及面筋筋力的结果进行分析。从力学角度出发,研究不同种类的稻米粉的添加量对高筋小麦粉面团筋力的影响。结果表明:不同品种稻米粉的添加对混合粉面团的质构特性的影响差异性较大;稻米-高筋小麦混合面团随稻米粉添加量的增加,(龙稻5号)LD5和(龙稻19号)LD19的硬度均出现上升的趋势;弹性方面稻米粉添加量在40%,LD23(龙稻23号)出现明显的上升趋势,LD5明显下降,其余品种变化不大;稻米粉添加量在40%时,稻米粉的黏聚性和胶着性除LD5和LJ46(龙粳46号)外,均出现明显的下降;稻米粉的添加量在0%~40%时,各品种的稻米回复性均出现下降的趋势;应力松弛方面,稻米粉添加量增加至40%时,LD5、LD20(龙稻20号)、LD25(龙稻25号)应力松弛时间较长,意味着面团中有大的聚合物生成,面团趋向于刚性;面筋仪测定的拉伸值和回弹值所有稻米品种均呈现下降的趋势,面团弹韧性和筋力增强。该研究为米-面混合制品的开发进一步奠定了良好的基础。

     

    Abstract: In this paper, the texture characteristics, stress relaxation and gluten strength of rice flour mixed flour dough were analyzed by texture analyzer and electronic gluten analyzer Glugraph-E. From the point of view of mechanics, the effects of different kinds of rice flour on the gluten of high gluten wheat flour were studied. The results showed that the effects of different varieties of rice flour on the texture characteristics of mixed flour dough were different. The hardness of LD5 (Longdao 5) and LD19 (Longdao 19) of rice high gluten wheat mixed dough increased with the increasing of rice flour addition. In terms of elasticity, when the amount of rice flour added was 40%, LD23 (Longdao 23) showed an obvious upward trend, LD5 decreased significantly, and other varieties had little change. When the 40% rice flour was added, the cohesiveness and adhesiveness of rice flour decreased significantly except LD5 and LJ46 (Longjing 46). When the amount of rice flour was 0%~40%, the rice resilience of all varieties decreased. In terms of stress relaxation, when the amount of rice flour was increased to 40%, the stress relaxation time of LD5, LD20 (Longdao 20) and LD25 (Longdao 25) was longer, which meant that there was large polymer formation in the dough and the dough tended to be rigid. The tensile value and rebound value measured by the gluten meter showed a downward trend for all rice varieties, and the dough elasticity and strength increased. This research would lay a good foundation for further development of rice flour mixed products.

     

/

返回文章
返回