• 中国科技期刊卓越行动计划项目资助期刊
  • 中国精品科技期刊
  • 首都科技期刊卓越行动计划
  • EI
  • Scopus
  • CAB Abstracts
  • Global Health
  • 北大核心期刊
  • DOAJ
  • EBSCO
  • 中国核心学术期刊RCCSE A+
  • 中国科技核心期刊CSTPCD
  • JST China
  • FSTA
  • 中国农林核心期刊
  • 中国开放获取期刊数据库COAJ
  • CA
  • WJCI
  • 食品科学与工程领域高质量科技期刊分级目录第一方阵T1
中国精品科技期刊2020
田梦洋,田霞,王志伟,等. 乳酸菌冻干粉剂发酵全麦酸面包工艺优化及储藏特性分析J. 食品工业科技,2023,44(12):172−184. doi: 10.13386/j.issn1002-0306.2022080230.
引用本文: 田梦洋,田霞,王志伟,等. 乳酸菌冻干粉剂发酵全麦酸面包工艺优化及储藏特性分析J. 食品工业科技,2023,44(12):172−184. doi: 10.13386/j.issn1002-0306.2022080230.
TIAN Mengyang, TIAN Xia, WANG Zhiwei, et al. Process Optimization and Storage Characteristics Analysis of Lactic Acid Bacteria Lyophilized Powder Fermented Whole Wheat Sourdough BreadJ. Science and Technology of Food Industry, 2023, 44(12): 172−184. (in Chinese with English abstract). doi: 10.13386/j.issn1002-0306.2022080230.
Citation: TIAN Mengyang, TIAN Xia, WANG Zhiwei, et al. Process Optimization and Storage Characteristics Analysis of Lactic Acid Bacteria Lyophilized Powder Fermented Whole Wheat Sourdough BreadJ. Science and Technology of Food Industry, 2023, 44(12): 172−184. (in Chinese with English abstract). doi: 10.13386/j.issn1002-0306.2022080230.

乳酸菌冻干粉剂发酵全麦酸面包工艺优化及储藏特性分析

Process Optimization and Storage Characteristics Analysis of Lactic Acid Bacteria Lyophilized Powder Fermented Whole Wheat Sourdough Bread

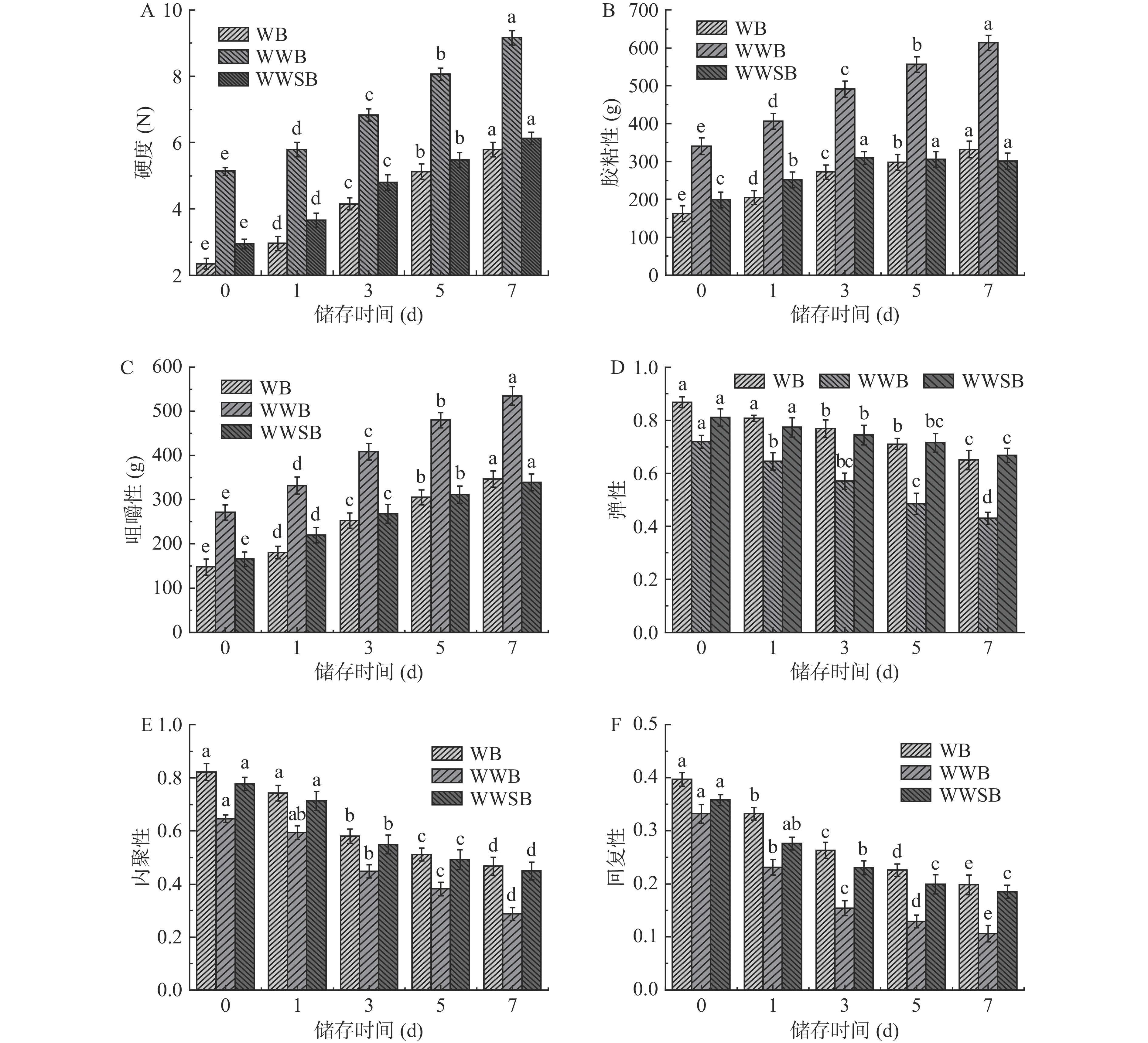
  • 摘要: 目的:为了利用植物乳杆菌冻干粉剂发酵制作全麦酸面团面包(Whole wheat sourdough bread,WWSB),并优化其加工工艺以及分析其储藏特性。方法:在单因素实验基础上,选择全麦酸面团(Whole wheat sourdough,WWSD)添加量以及全麦酸面团发酵时间为影响因素,面包最终的pH、总酸度值(Total acidity,TTA)、比容、硬度、感官得分作为响应值,使用中心组合试验设计方法,对全麦酸面包的工艺配方进行优化。并在此基础上以普通小麦面包(Wheat bread,WB)和普通全麦面包(Whole wheat bread,WWB)为空白组及对照组,均于4 ℃进行为期一周的储藏,分别于第0、1、3、5、7 d时取样,分析三种面包的全质构特性以及水分迁移情况。结果:全麦酸面包的最佳工艺配方:全麦酸面团添加量18%,全麦酸面团发酵时间16 h,此时的全麦酸面包pH4.82、TTA 5.62 mL、比容3.47 mL/g、硬度5.59 N、感官得分83。在此加工条件下三种面包的储藏特性指标如下:WWSB在整个储藏期间的硬度增长速率在前期和后期(35.75%和21.57%)均小于WWB(39.98%和25.36%)及WB(43.81%和28.22%);WWSB的弛豫时间T21、T22、T23下降速率均小于WWB和WB,尤其是半结合水T22的下降速率。结论:优化后的全麦酸面包配方条件合理,且储藏期间可以较好地抑制水分丧失以及延长面包保质期。

     

    Abstract: Objective: In order to make whole wheat sourdough bread (WWSB) using Lactobacillus plantarum lyophilized powder fermentation, and to analyze its processing and storage characteristics. Method: Based on the previous single-factor experiments, the whole wheat sourdough (WWSD) addition and the fermentation time of whole wheat sourdough were selected as the influencing factors, and the final pH, total acidity (TTA), specific volume, hardness and sensory score of the bread were used as the response values to optimize the process formulation of whole wheat sourdough using the Central composite design method. On this basis, wheat bread (WB) and whole wheat bread (WWB) were used as the blank group and the control group, both were stored at 4 ℃ for one week, and samples were taken at day 0, 1, 3, 5 and 7 to analyze the whole texture characteristics and water migration of the three breads. Results: The best process recipe for whole wheat sourdough bread was 18% whole wheat sourdough addition and 16 h whole wheat sourdough fermentation time, at which time the whole wheat sourdough bread had pH4.82, TTA 5.62 mL, specific volume 3.47 mL/g, hardness 5.59 N, and sensory score 83. The storage characteristics of the three breads under this processing condition were as follows: The hardness growth rate of WWSB (35.75% and 21.57%) throughout the storage period was less than that of WWB (39.98% and 25.36%) and WB (43.81% and 28.22%) in the early and late stages, the relaxation time T21, T22, and T23 of WWSB decreased at a rate less than that of WWB and WB, especially the decrease rate of semi-bound water T22. Conclusion: The optimized recipe of whole wheat sourdough bread had reasonable conditions and could better inhibit moisture loss and extend the shelf life of the bread during storage.

     

/

返回文章
返回