• 中国科技期刊卓越行动计划项目资助期刊
  • 中国精品科技期刊
  • EI
  • Scopus
  • CAB Abstracts
  • Global Health
  • 北大核心期刊
  • DOAJ
  • EBSCO
  • 中国核心学术期刊RCCSE A+
  • 中国科技核心期刊CSTPCD
  • JST China
  • FSTA
  • 中国农林核心期刊
  • 中国开放获取期刊数据库COAJ
  • CA
  • WJCI
  • 食品科学与工程领域高质量科技期刊分级目录第一方阵T1
中国精品科技期刊2020
熊子豪,王阳,任韵洁,等. 不同长度糖链对α-乳白蛋白过敏表位13KDLKGYGGVSLPEW26结构和致敏性的影响J. 食品工业科技,2023,44(14):74−80. doi: 10.13386/j.issn1002-0306.2022090110.
引用本文: 熊子豪,王阳,任韵洁,等. 不同长度糖链对α-乳白蛋白过敏表位13KDLKGYGGVSLPEW26结构和致敏性的影响J. 食品工业科技,2023,44(14):74−80. doi: 10.13386/j.issn1002-0306.2022090110.
XIONG Zihao, WANG Yang, REN Yunjie, et al. Effects of Different Lengths Sugar Chains on the Structure and Allergenicity of Allergic Epitopes 13KDLKGYGGVSLPEW26 in α-LactalbuminJ. Science and Technology of Food Industry, 2023, 44(14): 74−80. (in Chinese with English abstract). doi: 10.13386/j.issn1002-0306.2022090110.
Citation: XIONG Zihao, WANG Yang, REN Yunjie, et al. Effects of Different Lengths Sugar Chains on the Structure and Allergenicity of Allergic Epitopes 13KDLKGYGGVSLPEW26 in α-LactalbuminJ. Science and Technology of Food Industry, 2023, 44(14): 74−80. (in Chinese with English abstract). doi: 10.13386/j.issn1002-0306.2022090110.

不同长度糖链对α-乳白蛋白过敏表位13KDLKGYGGVSLPEW26结构和致敏性的影响

Effects of Different Lengths Sugar Chains on the Structure and Allergenicity of Allergic Epitopes 13KDLKGYGGVSLPEW26 in α-Lactalbumin

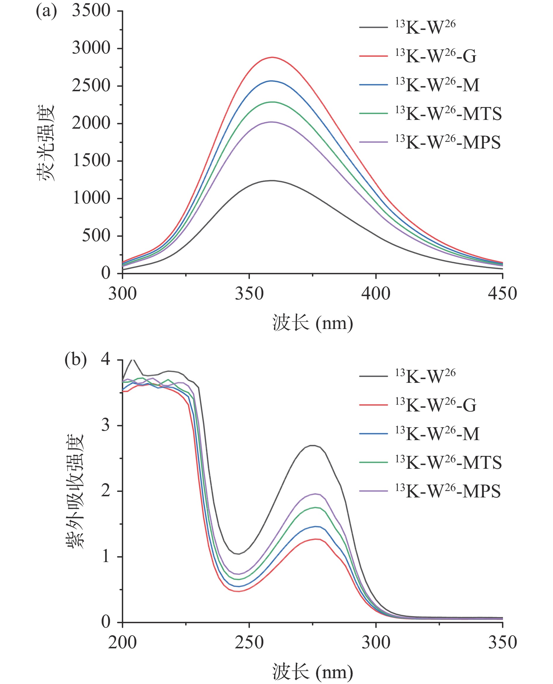
  • 摘要: α-乳白蛋白的过敏表位是影响其致敏性强弱的分子基础,本文研究不同长度的糖链对其过敏表位结构和致敏性的影响。先合成α-乳白蛋白的IgE线性过敏表位(13KDLKGYGGVSLPEW2613K-W26),选用葡萄糖、麦芽糖、麦芽三糖、麦芽五糖对其进行糖基化修饰,采用光谱、色谱分析其结构的变化;运用ELISA和细胞实验等方法来评价其IgE结合能力和KU812细胞释放组胺、白介素-4和白介素-6的能力。结果表明:不同长度的糖链与13K-W26发生糖基化反应后,降低其游离氨基含量,改变其荧光强度和紫外吸收强度,同时降低其IgE结合能力和KU812细胞中组胺、白介素-4和白介素-6的释放能力。因此,不同长度的糖链能改变13K-W26的结构,降低其致敏性,顺序为麦芽五糖>麦芽三糖>麦芽糖>葡萄糖。糖链可遮蔽α-乳白蛋白的线性表位13K-W26,糖链越长,遮蔽作用越强,致敏性消减效果越好。

     

    Abstract: The allergic epitopes of α-lactalbumin are the molecular basis for allergenicity. In this paper, the effects of different lengths sugar chains on the structure and allergenicity of allergic epitopes in α-lactalbumin were investigated. The IgE linear epitopes of 13KDLKGYGGVSLPEW26 (13K-W26) were synthesized and glycated with glucose, maltose, maltotriose and maltopentaose. Then the structural changes were analyzed by spectroscopy and chromatography. Cellular assays and ELISA were used to evaluate the histamine, interleukin-4 and interleukin-6 release ability of KU812 cells and the IgE binding ability. The results showed that 13K-W26 was glycated by different lengths sugar chains significantly decreased the free amino content and changed the fluorescence intensity and UV absorption intensity, and decreased the IgE binding ability and the release ability of histamine, interleukin-4 and interleukin-6 in KU812 cells. Therefore, different lengths of sugar chains can change the structure of 13K-W26, and reduce the allergenicity. The order was maltopentaose>maltotriose>maltose>glucose. In conclusion, the sugar chains could mask the linear epitopes 13K-W26 of α-lactalbumin, the sugar chains with longer length had stronger masking effects on epitopes, the better the effect of reducing the allergenicity.

     

/

返回文章
返回