• 中国科技期刊卓越行动计划项目资助期刊
  • 中国精品科技期刊
  • EI
  • Scopus
  • CAB Abstracts
  • Global Health
  • 北大核心期刊
  • DOAJ
  • EBSCO
  • 中国核心学术期刊RCCSE A+
  • 中国科技核心期刊CSTPCD
  • JST China
  • FSTA
  • 中国农林核心期刊
  • 中国开放获取期刊数据库COAJ
  • CA
  • WJCI
  • 食品科学与工程领域高质量科技期刊分级目录第一方阵T1
中国精品科技期刊2020
姜成辰,黄泽昊,周戚薇,等. OSA淀粉-壳聚糖复合基Pickering乳液的构建及其特性表征[J]. 食品工业科技,2023,44(15):116−125. doi: 10.13386/j.issn1002-0306.2022100033.
引用本文: 姜成辰,黄泽昊,周戚薇,等. OSA淀粉-壳聚糖复合基Pickering乳液的构建及其特性表征[J]. 食品工业科技,2023,44(15):116−125. doi: 10.13386/j.issn1002-0306.2022100033.
JIANG Chengchen, HUANG Zehao, ZHOU Qiwei, et al. Preparation and Characterization of Pickering Emulsion Stabilized by OSA Starch/Chitosan Complexes[J]. Science and Technology of Food Industry, 2023, 44(15): 116−125. (in Chinese with English abstract). doi: 10.13386/j.issn1002-0306.2022100033.
Citation: JIANG Chengchen, HUANG Zehao, ZHOU Qiwei, et al. Preparation and Characterization of Pickering Emulsion Stabilized by OSA Starch/Chitosan Complexes[J]. Science and Technology of Food Industry, 2023, 44(15): 116−125. (in Chinese with English abstract). doi: 10.13386/j.issn1002-0306.2022100033.

OSA淀粉-壳聚糖复合基Pickering乳液的构建及其特性表征

Preparation and Characterization of Pickering Emulsion Stabilized by OSA Starch/Chitosan Complexes

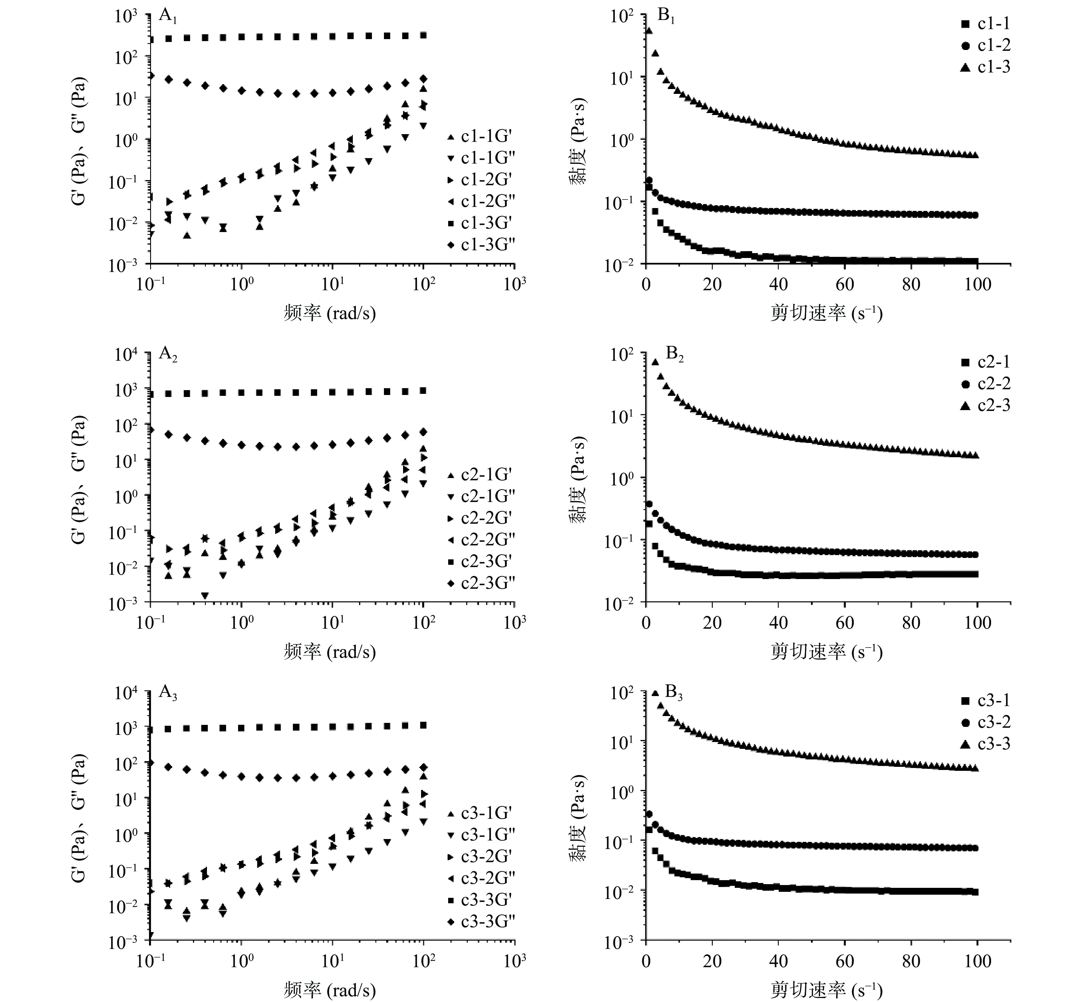
  • 摘要: 本研究以不同取代度的辛烯基琥珀酸淀粉酯(OSA淀粉)为原料,将其和壳聚糖结合生成复合物,并研究了取代度对复合物官能团变化和疏水性的影响。利用复合物构建了油相体积分数分别为20%、50%、80%的OSA淀粉-壳聚糖复合基Pickering乳液,探究了不同取代度与油相体积对乳液稳定性的影响。结果表明,随着OSA淀粉取代度的提高,复合物的疏水性显著增加。当辛烯基琥珀酸酐(OSA)的添加量为2%(w/w,以淀粉干物质计),复合物的三相接触角接近90°,具有较理想的湿润性。当取代度或油相体积分数提高时,乳液粒径也随之增大,液滴分布更加均匀致密,乳液状态也更加趋向于固态;并且,油相体积分数对乳液的影响更为突出。当OSA淀粉取代度为0.00895、乳液油相体积分数为80%时,乳液的平均粒径为27.4±1.4 μm,呈现良好的凝胶网络结构,在−4 ℃下储藏30 d后乳析指数为0,具有较高的离子稳定性和热稳定性。本研究在OSA淀粉-多糖复合基Pickering乳液的构建参数选定方面作了进一步的探索,有望推动该乳液的开发与应用。

     

    Abstract: In this study, octenyl succinic anhydride-modified starch (OSA starch) with different degrees of substitution (DS) was used as raw materials, which was combined with chitosan (CS) to make a complex. The effects of DS on the change of functional groups and wettability of the complex were studied. Pickering emulsions stabilized by OSA starch/chitosan complexes with different volume fractions of oil phase (20%, 50%, 80%) were prepared, and the effects of DS and volume fractions of oil phase on the stability of the emulsion were investigated. The results showed that the hydrophobicity increased significantly with the DS of OSA starch increasing. When the addition amount of octenyl succinic anhydride (OSA) was 2%, the contact angle of the complex was closest to 90°, which showed the suitable wettability. With the DS or the volume fraction of oil phase increasing, the diameters of emulsion particles increased, the droplet distribution became more even and dense, and the emulsion state got closely to solid. Moreover, the volume fraction of oil phase had more prominent effects on the emulsion. When DS was 0.00895 and the volume fraction of emulsion oil phase was 80%, the emulsion average particle size was 27.4±1.4 μm and had gel network structures. After storaging under −4 ℃ for 30 days, the emulsion had no creaming phenomenon and exhibited good ionic and temperature stability. This study further explored the parameter settings of Pickering emulsion stabilized by OSA starch-polysaccharide complexes, which was expected to promote the development and application of this emulsion.

     

/

返回文章
返回