• 中国科技期刊卓越行动计划项目资助期刊
  • 中国精品科技期刊
  • 首都科技期刊卓越行动计划
  • EI
  • Scopus
  • CAB Abstracts
  • Global Health
  • 北大核心期刊
  • DOAJ
  • EBSCO
  • 中国核心学术期刊RCCSE A+
  • 中国科技核心期刊CSTPCD
  • JST China
  • FSTA
  • 中国农林核心期刊
  • 中国开放获取期刊数据库COAJ
  • CA
  • WJCI
  • 食品科学与工程领域高质量科技期刊分级目录第一方阵T1
中国精品科技期刊2020
黄欢,田燕,刘一哲,等. 椰子油纳米乳液制备工艺优化及其稳定性分析J. 食品工业科技,2023,44(9):10−19. doi: 10.13386/j.issn1002-0306.2022100110.
引用本文: 黄欢,田燕,刘一哲,等. 椰子油纳米乳液制备工艺优化及其稳定性分析J. 食品工业科技,2023,44(9):10−19. doi: 10.13386/j.issn1002-0306.2022100110.
HUANG Huan, TIAN Yan, LIU Yizhe, et al. Optimization of Preparation Technology and Stability Analysis of Coconut Oil NanoemulsionJ. Science and Technology of Food Industry, 2023, 44(9): 10−19. (in Chinese with English abstract). doi: 10.13386/j.issn1002-0306.2022100110.
Citation: HUANG Huan, TIAN Yan, LIU Yizhe, et al. Optimization of Preparation Technology and Stability Analysis of Coconut Oil NanoemulsionJ. Science and Technology of Food Industry, 2023, 44(9): 10−19. (in Chinese with English abstract). doi: 10.13386/j.issn1002-0306.2022100110.

椰子油纳米乳液制备工艺优化及其稳定性分析

Optimization of Preparation Technology and Stability Analysis of Coconut Oil Nanoemulsion

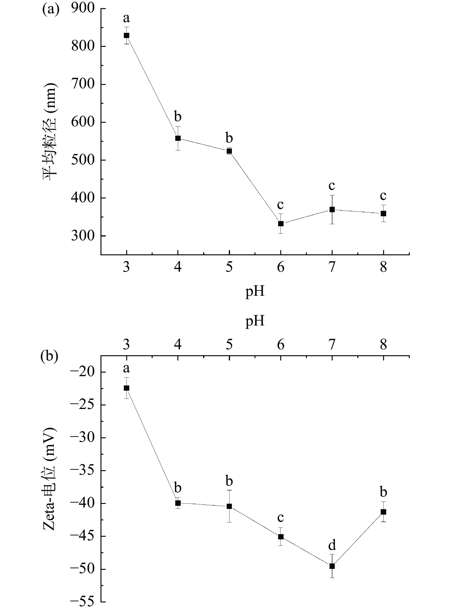
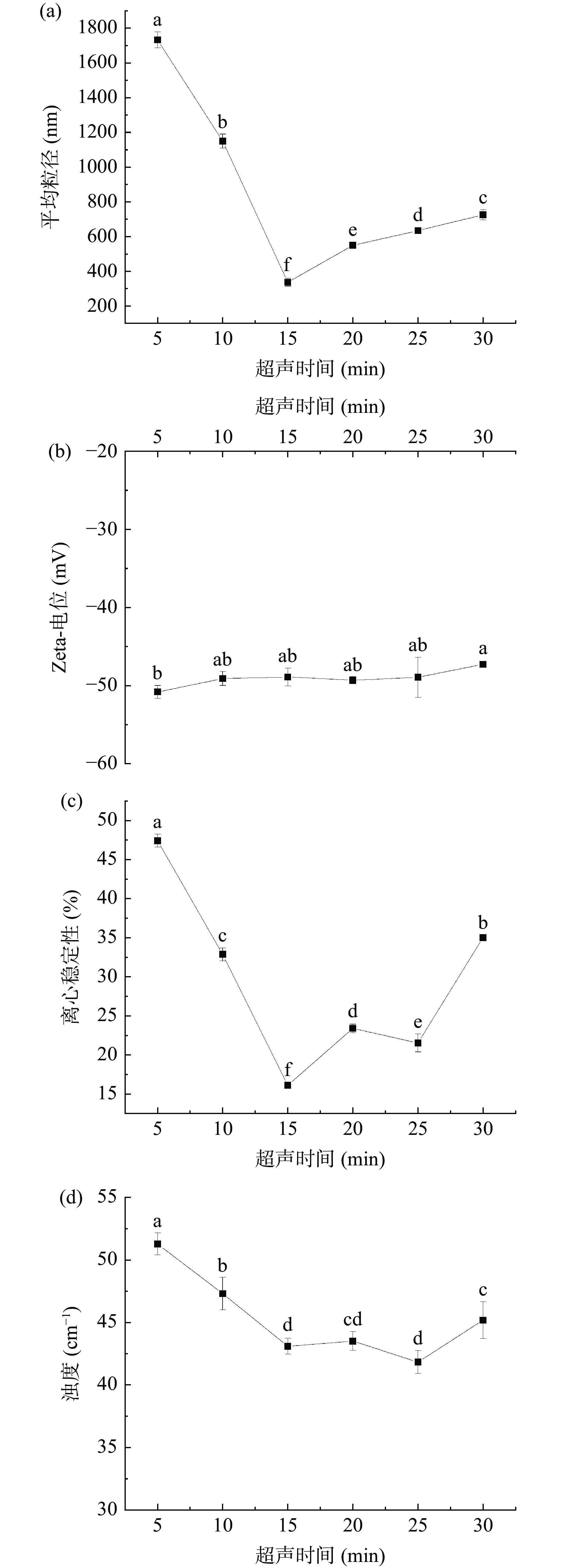
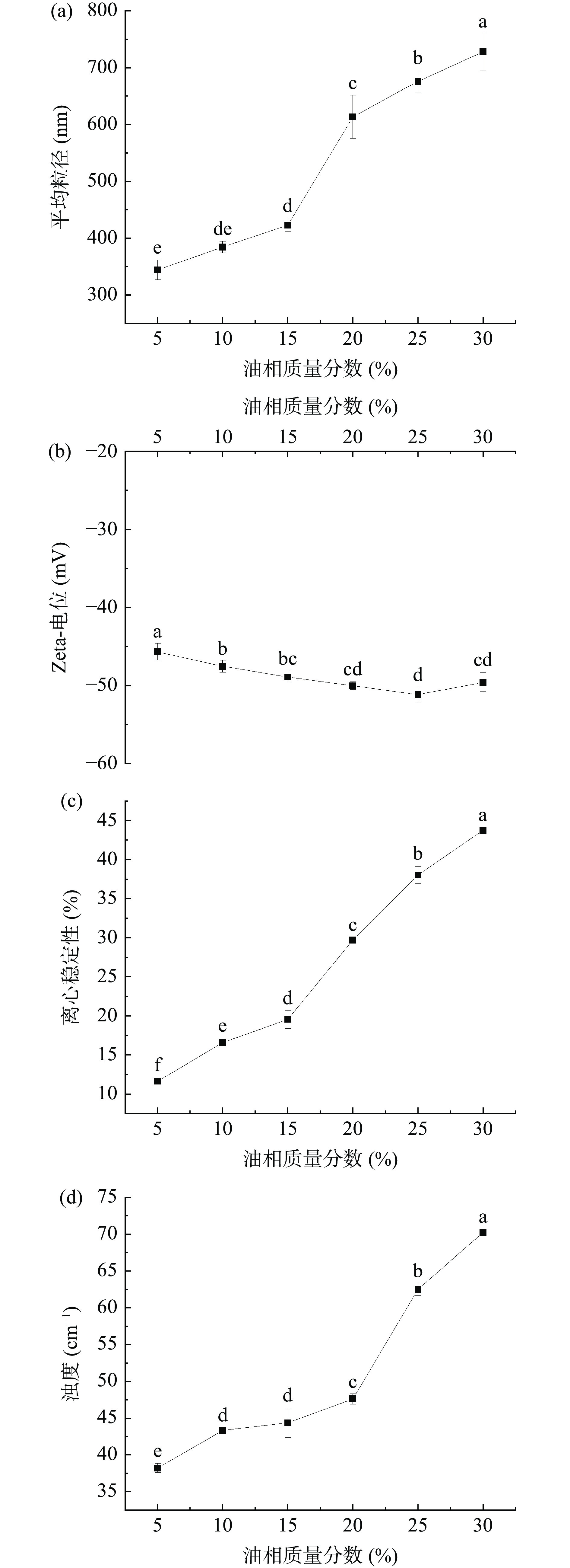
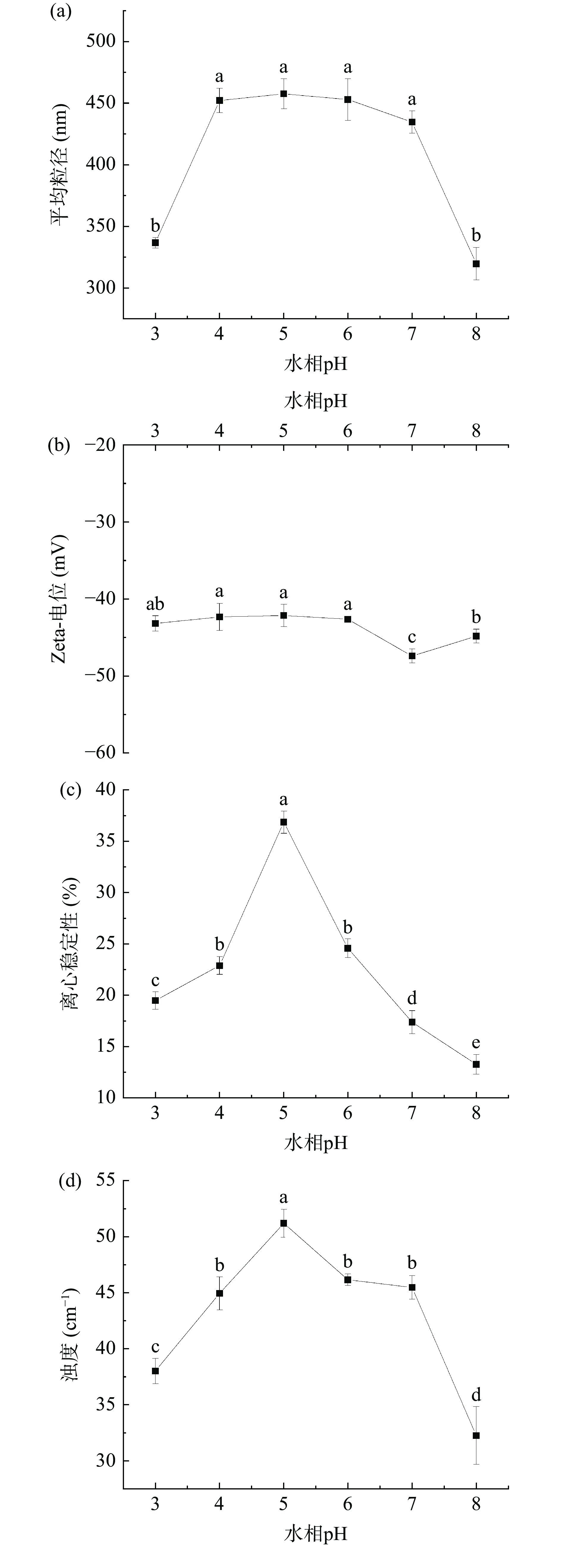
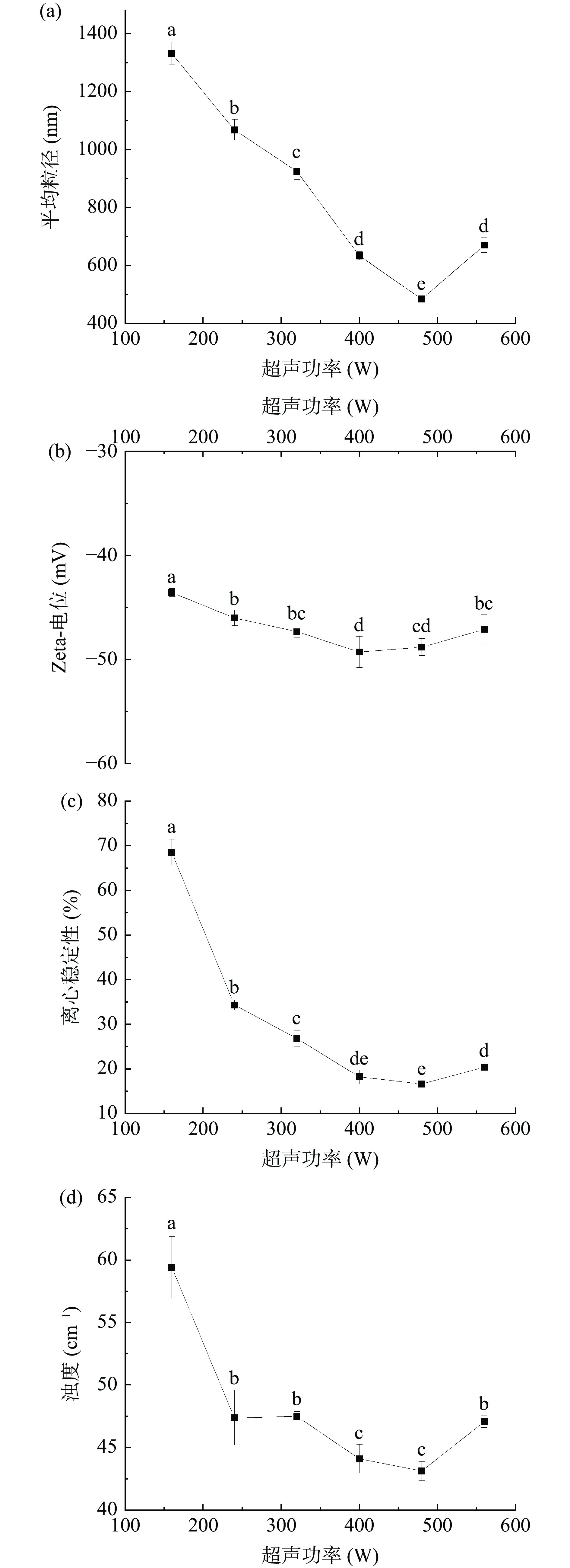
  • 摘要: 为制备较为稳定的椰子油乳液,将酪蛋白酸钠(Sodium caseinate,SC)和黄原胶(Xanthan gum,XG)复合作为乳化剂,椰子油为油相,采用超声方法制备椰子油乳液。以平均粒径、Zeta-电位、离心稳定性及浊度等为考察指标,通过单因素实验筛选出超声功率、超声时间、油相质量分数和水相pH的合理研究范围。以平均粒径为响应值,用Box-Behnken响应面法对超声功率、超声时间和水相pH做进一步优化实验并对制备的乳液进行稳定性实验。结果表明,最佳制备工艺参数为:超声功率为480 W,超声时间为18 min,水相pH为7,所得椰子油纳米乳液的平均粒径为304.5±13.2 nm。所制备的椰子油纳米乳液在热处理温度40~90 ℃,pH6~8,离子浓度0~0.5 mol/L条件下具有良好的稳定性,且经3次冻融循环后乳液保持稳定,为构建用于食品加工的高稳定性椰子油乳液提供了理论支持。

     

    Abstract: In order to prepare a more stable coconut oil emulsion, sodium caseinate (SC) and xanthan gum (XG) were combined as emulsifiers, and coconut oil was used as the oil phase, and the coconut oil emulsion was prepared by ultrasonic method. The average droplet sizes, Zeta-potentials, centrifugal stability and turbidity of emulsions were characterized to choose reasonable parameters concerning the ultrasonic treatment time, ultrasonic treatment power, mass fraction of oil phase, and pH values of aqueous phase, by the single factor test. The Box-Behnken response surface methodology (RSM) was used to optimize the parameter (including ultrasonic treatment power, ultrasonic treatment time, and pH values of aqueous phase) to prepare the stable emulsions. The optimal conditions were obtained as follows: Ultrasonic power 480 W, ultrasonic time 18 min, and pH7 of aqueous phase. Under this condition, the smallest droplets size of emulsions was obtained 304.5±13.2 nm. All coconut oil-based emulsions showed an extraordinary stability with heat treatment temperature of 40~90 ℃, pH6~8 and ion concentration of 0~0.5 mol/L, and the emulsion remained stable after three freeze-thaw cycles. The findings would provide a facile strategy to prepare stable coconut oil-based emulsions in the food processing.

     

/

返回文章
返回