• 中国科技期刊卓越行动计划项目资助期刊
  • 中国精品科技期刊
  • EI
  • Scopus
  • CAB Abstracts
  • Global Health
  • 北大核心期刊
  • DOAJ
  • EBSCO
  • 中国核心学术期刊RCCSE A+
  • 中国科技核心期刊CSTPCD
  • JST China
  • FSTA
  • 中国农林核心期刊
  • 中国开放获取期刊数据库COAJ
  • CA
  • WJCI
  • 食品科学与工程领域高质量科技期刊分级目录第一方阵T1
中国精品科技期刊2020
荆立成,杨跃,杨阔,等. 落叶松中花旗松素的提取、抑菌作用及其与白屈菜红碱联用协同抑菌作用机理[J]. 食品工业科技,2024,45(1):128−136. doi: 10.13386/j.issn1002-0306.2022110270.
引用本文: 荆立成,杨跃,杨阔,等. 落叶松中花旗松素的提取、抑菌作用及其与白屈菜红碱联用协同抑菌作用机理[J]. 食品工业科技,2024,45(1):128−136. doi: 10.13386/j.issn1002-0306.2022110270.
JING Licheng, YANG Yue, YANG Kuo, et al. Extraction, Bacteriostatic Effect and Synergistic Mechanism of Bacteriostatic Effect of Taxifolin in Larch in Combination with Leucocyanidin[J]. Science and Technology of Food Industry, 2024, 45(1): 128−136. (in Chinese with English abstract). doi: 10.13386/j.issn1002-0306.2022110270.
Citation: JING Licheng, YANG Yue, YANG Kuo, et al. Extraction, Bacteriostatic Effect and Synergistic Mechanism of Bacteriostatic Effect of Taxifolin in Larch in Combination with Leucocyanidin[J]. Science and Technology of Food Industry, 2024, 45(1): 128−136. (in Chinese with English abstract). doi: 10.13386/j.issn1002-0306.2022110270.

落叶松中花旗松素的提取、抑菌作用及其与白屈菜红碱联用协同抑菌作用机理

Extraction, Bacteriostatic Effect and Synergistic Mechanism of Bacteriostatic Effect of Taxifolin in Larch in Combination with Leucocyanidin

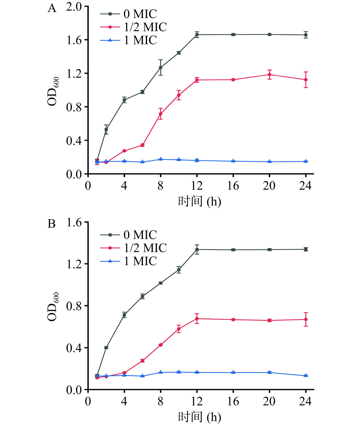
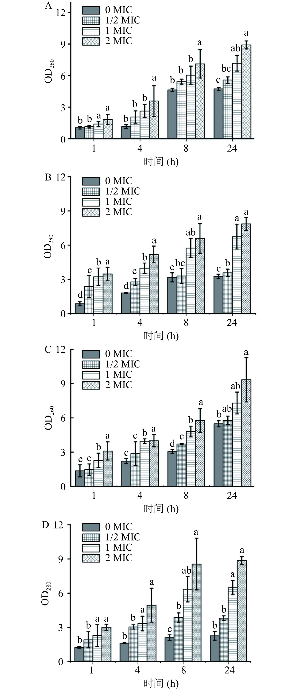
  • 摘要: 本研究以落叶松为原料,采用超声辅助乙醇热浸提法提取花旗松素。以大肠杆菌和金黄色葡萄球菌分别作为典型供试菌,通过观察细菌形态结构,测定细菌生长量、细胞膜泄漏、抗氧化酶系活性等变化情况,分析花旗松素抑菌效果。最终获得纯度达90%、提取率0.35%的花旗松素,且花旗松素对两种菌株的最小抑菌浓度均为1.2 mg/mL,抑菌率分别为81.12%、83.95%。通过电镜扫描后发现菌体表面被破坏伴有内容物泄漏。在Escherichia coli中,培养至24 h的1/2 MIC、1 MIC和2 MIC实验组OD260测试值是同期对照组的1.18、1.52、1.88倍,检测到胞外β-半乳糖苷酶的相对活性分别为79.15%和70.1%。Bliss独立模型计算生长速率为0.0142,表明花旗松素和白屈菜红碱药物联用后对金黄色葡萄球菌表现为协同抑制作用。药物联用条件下,低浓度对细菌细胞膜破坏明显增强,抑菌效果更加显著,培养上清液中β-半乳糖苷酶活达87.01%,较2 MIC单独作用S. aureus酶活性高16.91%,24 h CAT、SOD和POD酶活较单独使用1 MIC浓度花旗松素对S. aureus作用要更高,分别是其1.28、1.25、1.11倍。研究将为花旗松素作为食品保鲜、防腐剂等产品的开发应用奠定理论基础。

     

    Abstract: Using larch as raw material, taxifolin was extracted by ultrasonic-assisted ethanol hot leaching. Escherichia coli and Staphylococcus aureus were used as typical test bacteria respectively, and the bacterial inhibitory effects of taxifolin was analyzed by observing the morphological structure of bacteria and measuring the changes in bacterial growth, cell membrane leakage and antioxidant enzyme system activities. The final product was obtained with 90% purity and 0.35% extraction rate of taxifolin. The minimum inhibitory concentration of taxifolin was 1.2 mg/mL for both strains, and the inhibition rate was 81.12% and 83.95%, respectively. After the electron microscopy analysis, the surface of the bacteria cells was disrupted and the contents inside the cells were leaked. In E. coli, the OD260 test values of 1/2 MIC, 1 MIC and 2 MIC were 1.18, 1.52 and 1.88 times higher than those of the control group after 24 h incubation. The relative activities of extracellular β-galactosidase were 79.15% and 70.1%, respectively, and the growth rate calculated by the the Bliss independent model was 0.0142. S. aureus showed a synergistic inhibition effect. Under the conditions of drug combination, the bacterial cell membrane disruption extent was significantly enhanced by the low concentration and the inhibition effect was more significant. The β-galactosidase activity in the culture supernatant was 87.01% higher than that of 2 MIC group alone for S. aureus by 16.91%, and the 24 h CAT, SOD and POD enzyme activities were higher than that of 1 MIC group alone for S. aureus, which were 1.28, 1.25 and 1.11 times higher, respectively. The study could lay the theoretical foundation for the development and application of taxifolin as a food preservation and preservative.

     

/

返回文章
返回