• 中国科技期刊卓越行动计划项目资助期刊
  • 中国精品科技期刊
  • 首都科技期刊卓越行动计划
  • EI
  • Scopus
  • CAB Abstracts
  • Global Health
  • 北大核心期刊
  • DOAJ
  • EBSCO
  • 中国核心学术期刊RCCSE A+
  • 中国科技核心期刊CSTPCD
  • JST China
  • FSTA
  • 中国农林核心期刊
  • 中国开放获取期刊数据库COAJ
  • CA
  • WJCI
  • 食品科学与工程领域高质量科技期刊分级目录第一方阵T1
中国精品科技期刊2020
何军波,贾庆超. 模糊数学评价结合响应面法优化黑蒜香菇酱制备工艺及抗氧化活性和储藏分析J. 食品工业科技,2023,44(19):47−56. doi: 10.13386/j.issn1002-0306.2022110280.
引用本文: 何军波,贾庆超. 模糊数学评价结合响应面法优化黑蒜香菇酱制备工艺及抗氧化活性和储藏分析J. 食品工业科技,2023,44(19):47−56. doi: 10.13386/j.issn1002-0306.2022110280.
HE Junbo, JIA Qingchao. Optimization of Preparation Technology, Antioxidant Activity and Storage Analysis of Black Garlic Mushroom Paste by Fuzzy Mathematical Evaluation and Response Surface MethodologyJ. Science and Technology of Food Industry, 2023, 44(19): 47−56. (in Chinese with English abstract). doi: 10.13386/j.issn1002-0306.2022110280.
Citation: HE Junbo, JIA Qingchao. Optimization of Preparation Technology, Antioxidant Activity and Storage Analysis of Black Garlic Mushroom Paste by Fuzzy Mathematical Evaluation and Response Surface MethodologyJ. Science and Technology of Food Industry, 2023, 44(19): 47−56. (in Chinese with English abstract). doi: 10.13386/j.issn1002-0306.2022110280.

模糊数学评价结合响应面法优化黑蒜香菇酱制备工艺及抗氧化活性和储藏分析

Optimization of Preparation Technology, Antioxidant Activity and Storage Analysis of Black Garlic Mushroom Paste by Fuzzy Mathematical Evaluation and Response Surface Methodology

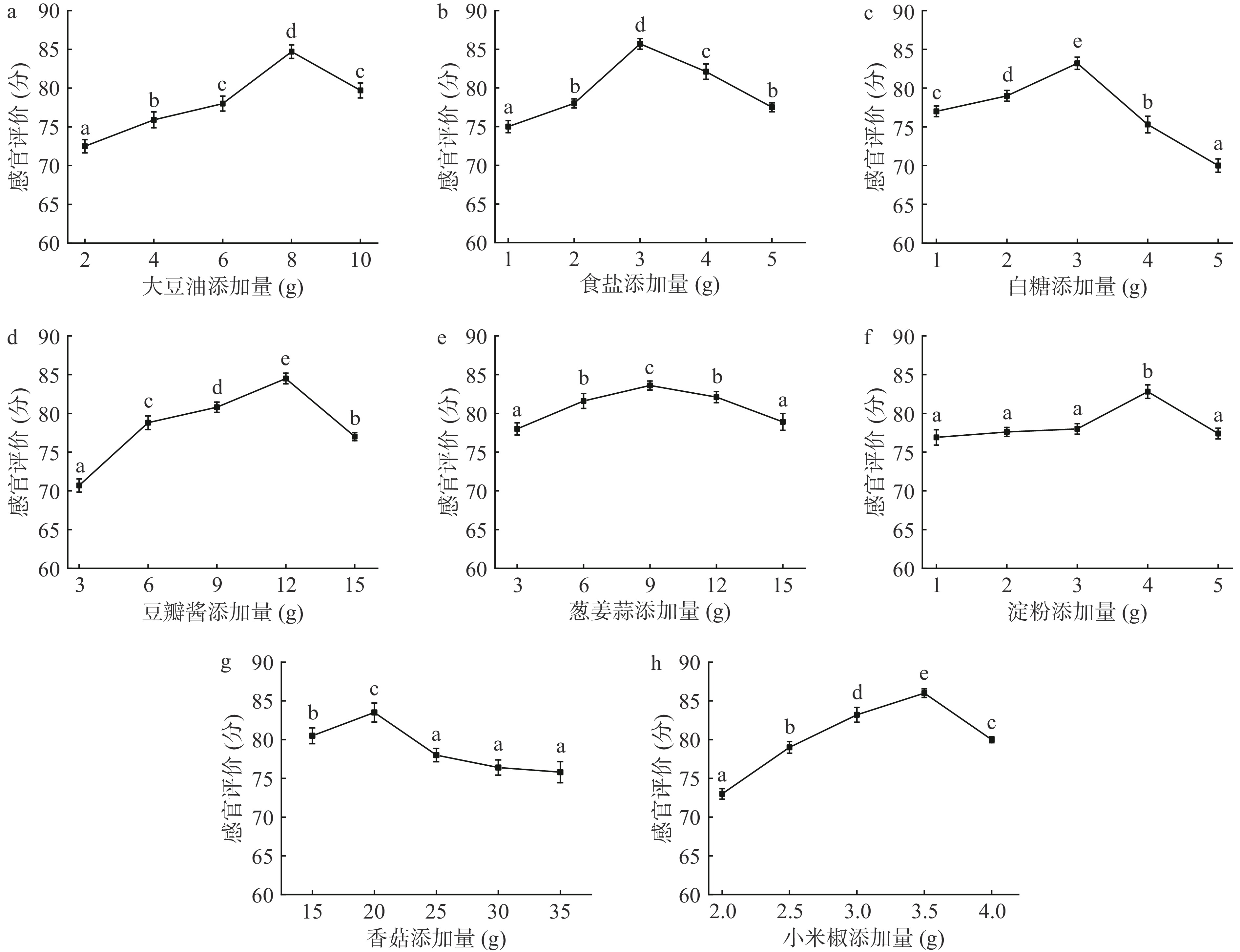
  • 摘要: 以黑蒜、香菇、小米椒为主要原料,采用单因素、模糊数学评价、正交和响应面优化法研究了黑蒜香菇酱配方,并对其进行微生物和理化指标测定。以市售仲景香菇酱和蒙山红香菇酱为参照对比,进行抗氧化性测定分析,并添加防腐剂山梨酸钾,考察储藏时间。结果表明,最优配方为黑蒜20 g、香菇21 g、小米椒3.6 g、大豆油6.6 g、白糖3.3 g、葱姜蒜各3.3 g、豆瓣酱13.2 g、食盐4.4 g、淀粉4.4 g,此时酱制品口感香甜软糯、香辣可口,色泽鲜明,浓稠适中。在0.05~1 mL/mL体积浓度范围内,对DPPH•和•OH清除率最强,均大于市售仲景香菇酱和蒙山红香菇酱,差异显著(P<0.05),对DPPH•和•OH清除率最大分别达到98.8%和75.7%,表明黑蒜香菇酱具有良好的抗氧化性。0.04%和0.05%的山梨酸钾是较适宜添加量。黑蒜香菇酱理化及微生物指标检测结果均符合国家食品污染物和微生物限量标准。

     

    Abstract: Using black garlic, lentinus edodes, and millet pepper as main raw materials, the formulation of black garlic lentinus edodes sauce was studied by single factor, fuzzy mathematical evaluation, orthogonal design, and response surface methodology, and its microbial and physicochemical indexes were determined. With the commercial Zhongjing lentinus edodes sauce and mengshanhong lentinus edodes sauce as the reference, the antioxidant properties were determined and analyzed, and the preservative potassium sorbate was added to investigate the storage time. The results showed that the optimum formula was 20 g black garlic, 21 g lentinus edodes, 3.6 g millet pepper, 6.6 g oil, 3.3 g sugar, 3.3 g onion, ginger and garlic respectively, 13.2 g bean paste, 4.4 g salt and 4.4 g starch. At this time, the sauce products taste sweet and soft waxy, spicy and delicious, bright color, moderate consistency. In the range of 0.05~1 mL/mL volume concentration, the scavenging rate of DPPH• and •OH free radicals was the strongest, which was higher than the commercial Zhongjing mushroom paste and Mengshanhong mushroom paste, with significant difference (P<0.05). The maximum scavenging rate of DPPH• and •OH free radicals reached 98.8% and 75.7% respectively, indicating that the black garlic mushroom paste had good antioxidant properties. 0.04% and 0.05% potassium sorbate were suitable for addition. The physicochemical and microbial indicators of black garlic mushroom paste were in line with the national food pollutant and microbial limit standards.

     

/

返回文章
返回