• 中国科技期刊卓越行动计划项目资助期刊
  • 中国精品科技期刊
  • EI
  • Scopus
  • CAB Abstracts
  • Global Health
  • 北大核心期刊
  • DOAJ
  • EBSCO
  • 中国核心学术期刊RCCSE A+
  • 中国科技核心期刊CSTPCD
  • JST China
  • FSTA
  • 中国农林核心期刊
  • 中国开放获取期刊数据库COAJ
  • CA
  • WJCI
  • 食品科学与工程领域高质量科技期刊分级目录第一方阵T1
中国精品科技期刊2020
刘敏卓,张小月,张灵芝,等. 竹茹总黄酮超声波处理与纤维素酶协同提取工艺优化及其体外抗氧化活性分析J. 食品工业科技,2023,44(20):221−229. doi: 10.13386/j.issn1002-0306.2022120009.
引用本文: 刘敏卓,张小月,张灵芝,等. 竹茹总黄酮超声波处理与纤维素酶协同提取工艺优化及其体外抗氧化活性分析J. 食品工业科技,2023,44(20):221−229. doi: 10.13386/j.issn1002-0306.2022120009.
LIU Minzhuo, ZHANG Xiaoyue, ZHANG Lingzhi, et al. Optimization of Ultrasonic Wave and Cellulase Synergistic Extraction Technology of Total Flavonoids from Bambusae Caulis in Taeniam and Their Antioxidant Capacity in VitroJ. Science and Technology of Food Industry, 2023, 44(20): 221−229. (in Chinese with English abstract). doi: 10.13386/j.issn1002-0306.2022120009.
Citation: LIU Minzhuo, ZHANG Xiaoyue, ZHANG Lingzhi, et al. Optimization of Ultrasonic Wave and Cellulase Synergistic Extraction Technology of Total Flavonoids from Bambusae Caulis in Taeniam and Their Antioxidant Capacity in VitroJ. Science and Technology of Food Industry, 2023, 44(20): 221−229. (in Chinese with English abstract). doi: 10.13386/j.issn1002-0306.2022120009.

竹茹总黄酮超声波处理与纤维素酶协同提取工艺优化及其体外抗氧化活性分析

Optimization of Ultrasonic Wave and Cellulase Synergistic Extraction Technology of Total Flavonoids from Bambusae Caulis in Taeniam and Their Antioxidant Capacity in Vitro

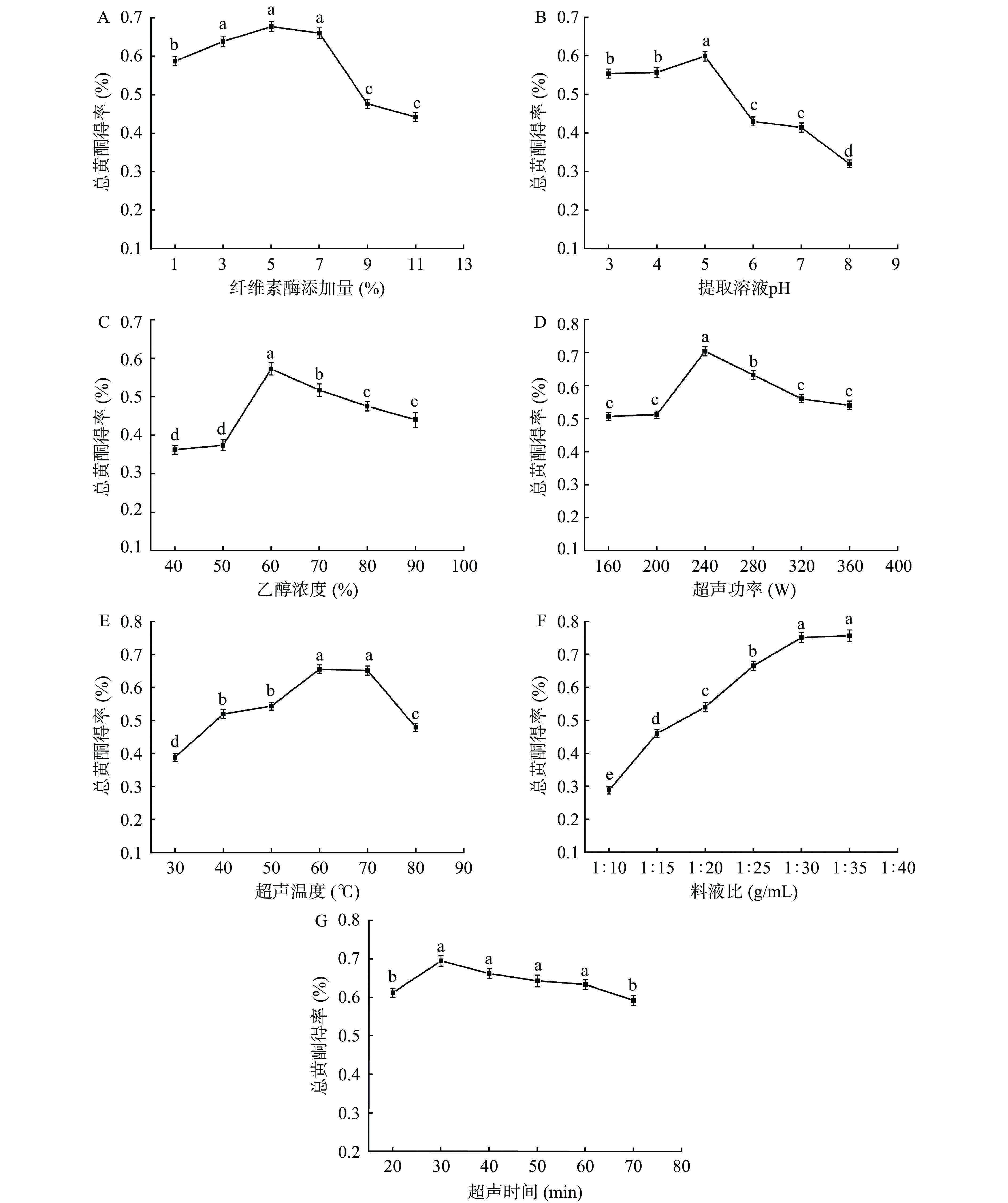
  • 摘要: 为优化超声波处理与纤维素酶协同提取竹茹总黄酮的工艺条件,并探究其体外抗氧化活性。以总黄酮得率为指标,通过单因素实验筛选出适宜的纤维素酶添加量、提取溶液pH、乙醇浓度、超声功率、超声温度、料液比、超声时间,采用响应面法优化竹茹总黄酮的最佳提取工艺条件,并利用1,1-二苯基-2-三硝基苯肼(DPPH)法、2,2'-联氮双(3-乙基苯并噻唑啉-6-磺酸)(ABTS)法和铁离子还原法(FRAP)评价其体外抗氧化活性。结果表明,最佳工艺条件为:纤维素酶添加量5%、提取溶液pH4.7、乙醇浓度61%、超声功率240 W、超声温度60 ℃、料液比1:30 (g/mL)、超声时间30 min。在此条件下,竹茹总黄酮的得率为0.83%±0.02%,所得提取物中总黄酮的含量为16.21%±0.42%。体外抗氧化实验结果表明,竹茹总黄酮提取物对DPPH 和ABTS+自由基均具有一定的清除能力,相应的IC50值为150.1和44.6 μg/mL,分别为VC的1.22和1.27倍,竹茹总黄酮提取物对铁离子的还原能力略高于VC。该优化工艺简便、可行,且提取的竹茹总黄酮具有良好的体外抗氧化活性,可为竹茹黄酮的深入研究开发提供科学依据。

     

    Abstract: The present study aimed to optimize the ultrasonic wave and cellulase synergistic extraction technology of total flavonoids from Bambusae Caulis in Taeniam and evaluate their antioxidant capacity in vitro. Taking yield of total flavonoids as the metric, the appropriate amount of cellulase added, pH of extraction solvents, ethanol concentration, ultrasonic power, ultrasonic temperature, material-liquid ratio and ultrasonic time were scouted by single-factor experiments, and the optimal conditions for the extraction of total flavonoids from Bambusae Caulis in Taeniam were optimized by response surface methodology (RSM). Meanwhile, the antioxidant capacity was investigated in vitro using scavenging 1,1-diphenyl-2-picrylhydrazyl (DPPH), 2,2'-azino-bis-3-ethylbenzothiaz-oline-6-sulfonic acid (ABTS) free radicals and iron ion reduction method (FRAP). As the result showed that the optimum extraction parameters were the amount of cellulase added: 5%, pH of extraction solvents: 4.7, ethanol concentration: 61%, ultrasonic power: 240 W, ultrasonic temperature: 60 ℃, material-liquid ratio: 1:30 (g/mL), ultrasonic time: 30 min. The total flavonoids yield of Bambusae Caulis in Taeniam was 0.83%±0.02% under these conditions, and the content of total flavonoids in Bambusae Caulis in Taeniam extract was 16.21%±0.42%. The results of antioxidant experiments showed that the total flavonoids could scavenge DPPH and ABTS+ radicals with IC50 values of 150.1 and 44.6 μg/mL, respectively, which were 1.22 and 1.27 times greater than VC. The ferric ion reducing ability of total flavonoids from Bambusae Caulis in Taeniam was slightly higher than that of VC. This optimized extraction process is simple and feasible, and the extracted total flavonoids shows strong antioxidant effects in vitro, which provides scientific evidence for the further study and exploit of flavonoids from Bambusae Caulis in Taeniam.

     

/

返回文章
返回