• 中国科技期刊卓越行动计划项目资助期刊
  • 中国精品科技期刊
  • 首都科技期刊卓越行动计划
  • EI
  • Scopus
  • CAB Abstracts
  • Global Health
  • 北大核心期刊
  • DOAJ
  • EBSCO
  • 中国核心学术期刊RCCSE A+
  • 中国科技核心期刊CSTPCD
  • JST China
  • FSTA
  • 中国农林核心期刊
  • 中国开放获取期刊数据库COAJ
  • CA
  • WJCI
  • 食品科学与工程领域高质量科技期刊分级目录第一方阵T1
中国精品科技期刊2020
邓筱语,江虹锐,刘华南,等. 湿法球磨对咖啡果皮不溶性膳食纤维组成、结构及功能性质的影响J. 食品工业科技,2023,44(20):77−84. doi: 10.13386/j.issn1002-0306.2022120126.
引用本文: 邓筱语,江虹锐,刘华南,等. 湿法球磨对咖啡果皮不溶性膳食纤维组成、结构及功能性质的影响J. 食品工业科技,2023,44(20):77−84. doi: 10.13386/j.issn1002-0306.2022120126.
DENG Xiaoyu, JIANG Hongrui, LIU Huanan, et al. Effects of Wet Ball Milling on Composition, Structure and Functional Properties of Coffee Peel Insoluble Dietary FiberJ. Science and Technology of Food Industry, 2023, 44(20): 77−84. (in Chinese with English abstract). doi: 10.13386/j.issn1002-0306.2022120126.
Citation: DENG Xiaoyu, JIANG Hongrui, LIU Huanan, et al. Effects of Wet Ball Milling on Composition, Structure and Functional Properties of Coffee Peel Insoluble Dietary FiberJ. Science and Technology of Food Industry, 2023, 44(20): 77−84. (in Chinese with English abstract). doi: 10.13386/j.issn1002-0306.2022120126.

湿法球磨对咖啡果皮不溶性膳食纤维组成、结构及功能性质的影响

Effects of Wet Ball Milling on Composition, Structure and Functional Properties of Coffee Peel Insoluble Dietary Fiber

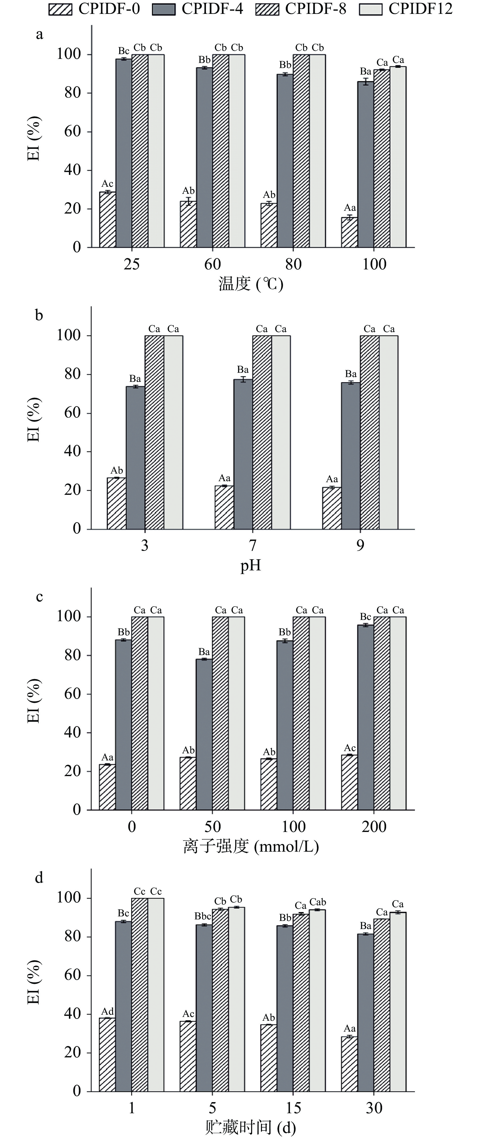
  • 摘要: 为提高咖啡加工副产物的高值化利用,对咖啡果皮不溶性膳食纤维(coffee peel insoluble dietary fiber,CPIDF)进行湿法球磨改性,探讨球磨时间对CPIDF组成、结构及功能性质的影响。结果表明,经湿法球磨处理后的CPIDF可溶性膳食纤维(soluble dietary fiber,SDF)含量显著增加(P<0.05),粒径减小,ζ-电位绝对值增大,颗粒表面呈现无规则空洞和裂缝,但官能团特征没有发生变化。随着球磨时间的延长,CPIDF的悬浮稳定性、持水力、持油力、膨胀力和乳化能力均得到改善。与未处理组(CPIDF-0)相比,球磨处理12 h的CPIDF(CPIDF-12)持水力从7.00 g/g提高至17.12 g/g,持油力从2.60 g/g提高至9.64 g/g,膨胀力从3.91 mL/g提高至6.90 mL/g,其乳化指数(emulsification index,EI)从38.85%(CPIDF-0)显著增至100%(CPIDF-12)(P<0.05),且球磨8 h以上的CPIDF制备的乳液在不同温度、pH、离子强度和贮藏时间下均表现出较好的稳定性。本研究结果表明,湿法球磨处理通过修饰CPIDF的组成和结构,改善了其功能性质,经湿法球磨处理后的CPIDF具有作为食品级固体乳化剂的潜力。

     

    Abstract: To improve the high-value utilization of the coffee processing by-product, the coffee peel insoluble dietary fiber (CPIDF) was modified by wet ball milling, the effects of ball milling time on the composition, structure and functional properties of the CPIDF was investigated. The results showed that the soluble dietary fiber (SDF) content of CPIDF increased significantly (P<0.05), the particle size decreased and the absolute value of ζ-potential increased after treatment with wet ball milling. The microstructure of wet ball milling treated CPIDF particles showed more irregular surface pores and cracks, but without any changes of functional groups. With increasing the ball milling time, the suspension stability, water holding force, oil holding force, swelling force and emulsification capacity of CPIDF were improved. Compared with the untreated group (CPIDF-0), the water holding capacity of CPIDF treated with 12 h ball milling (CPIDF-12) increased from 7.00 g/g to 17.12 g/g, the oil holding capacity increased from 2.60 g/g to 9.64 g/g and swelling capacity increased from 3.91 mL/g to 6.90 mL/g. The emulsification index (EI) increased significantly from 38.85% (CPIDF-0) to 100% (CPIDF-12) (P<0.05). The emulsions prepared from CPIDF with more than 8 h ball milling treatment showed good stability at different temperatures, pH, ionic strength and storage time. Conclusively, the wet ball milling treatment improved the functional food properties of CPIDF which had the potential to be used as a food-grade solid emulsifier.

     

/

返回文章
返回