• 中国科技期刊卓越行动计划项目资助期刊
  • 中国精品科技期刊
  • 首都科技期刊卓越行动计划
  • EI
  • Scopus
  • CAB Abstracts
  • Global Health
  • 北大核心期刊
  • DOAJ
  • EBSCO
  • 中国核心学术期刊RCCSE A+
  • 中国科技核心期刊CSTPCD
  • JST China
  • FSTA
  • 中国农林核心期刊
  • 中国开放获取期刊数据库COAJ
  • CA
  • WJCI
  • 食品科学与工程领域高质量科技期刊分级目录第一方阵T1
中国精品科技期刊2020
刘思远,申东晨,刘峥,等. 产低温脂肪酶菌株鉴定、发酵条件优化及酶学性质分析J. 食品工业科技,2023,44(20):116−125. doi: 10.13386/j.issn1002-0306.2022120159.
引用本文: 刘思远,申东晨,刘峥,等. 产低温脂肪酶菌株鉴定、发酵条件优化及酶学性质分析J. 食品工业科技,2023,44(20):116−125. doi: 10.13386/j.issn1002-0306.2022120159.
LIU Siyuan, SHEN Dongchen, LIU Zheng, et al. Identification of A Cold-active Lipase Producing Strain, Optimization of Fermentation Conditions and Analysis of Enzymatic PropertiesJ. Science and Technology of Food Industry, 2023, 44(20): 116−125. (in Chinese with English abstract). doi: 10.13386/j.issn1002-0306.2022120159.
Citation: LIU Siyuan, SHEN Dongchen, LIU Zheng, et al. Identification of A Cold-active Lipase Producing Strain, Optimization of Fermentation Conditions and Analysis of Enzymatic PropertiesJ. Science and Technology of Food Industry, 2023, 44(20): 116−125. (in Chinese with English abstract). doi: 10.13386/j.issn1002-0306.2022120159.

产低温脂肪酶菌株鉴定、发酵条件优化及酶学性质分析

Identification of A Cold-active Lipase Producing Strain, Optimization of Fermentation Conditions and Analysis of Enzymatic Properties

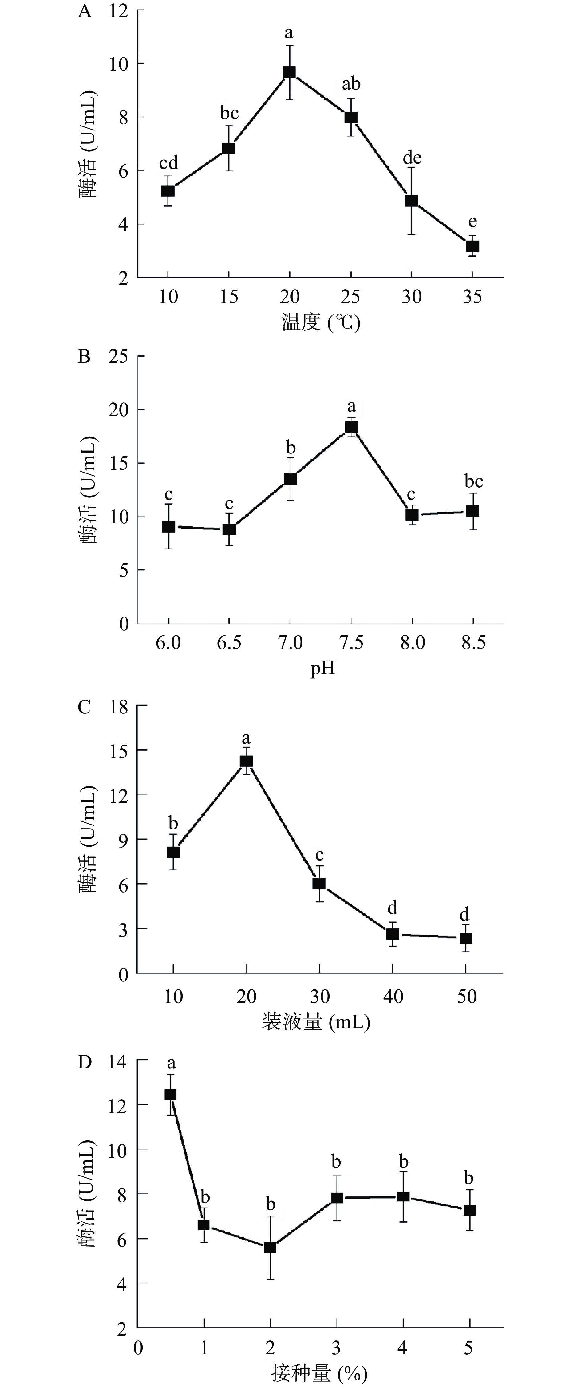
  • 摘要: 为筛选高产低温脂肪酶的菌株,并对产酶条件进行优化,同时为脂肪酶的工业化开发提供生产资料。从黑龙江省漠河县土壤样品中筛选出一株产低温脂肪酶菌株,通过形态学鉴定、生理生化实验及分子生物学鉴定,确定该菌株为普城沙雷氏菌(Serratia plymuthica)。通过单因素实验,探究温度、pH、装液量、接种量、碳源、氮源、金属离子、诱导剂等不同因素对菌株产酶的影响,通过Plackett-Burman实验,爬坡试验及响应曲面设计,优化橄榄油、蛋白胨、装液量等因素的添加量。结果表明:该菌株最优产酶条件为20 ℃、pH7.5、装液量42 mL、接种量0.5%、20 g/L麦芽糖、14 g/L蛋白胨、0.5 g/L的MgSO4·7H2O及46 mL/L橄榄油。此优化条件下,脂肪酶活为98.05 U/mL,是优化前的5.85倍。酶学性质结果表明,该脂肪酶最适温度为30 ℃,属于低温脂肪酶,最适反应pH为7,Mg2+明显可以促进酶活。有机溶剂中甲醇和乙醇明显抑制了酶活性,而正己烷明显可以促进酶活性。该结论可为微生物资源开发利用,工业生产低温脂肪酶提供一定的理论依据及方法指导。

     

    Abstract: To screen strains with high production of cold-active lipase and optimize enzyme production conditions, as well as to provide production information for the industrial development of lipase, a cold-active lipase producing strain was screened from soil samples in Mohe County, Heilongjiang Province, and identified as Serratia plymuthica by morphological identification, physiological and biochemical experiments and molecular biology. The effects of different factors such as temperature, pH, loading volume, inoculum, carbon source, nitrogen source, metal ion and inducer on the enzyme production of the strain were investigated by single-factor experiments, as well as the optimization of the addition of olive oil, peptone and loading volume by Plackett-Burman experiment, hill climbing test and response surface design. The results showed that the optimal enzyme production conditions were 20 ℃, pH7.5, loading volume 42 mL, inoculum 0.5%, 20 g/L maltose, 14 g/L peptone, 0.5 g/L MgSO4·7H2O and 46 mL/L olive oil. The lipase activity under this optimized condition was 98.05 U/mL, which was 5.85 times higher than that before optimization. The results of enzymatic properties showed that the optimum temperature of this lipase was 30 ℃, which was a low temperature lipase, and the optimum reaction pH was 7. Mg2+ could obviously promote the enzyme activity. The organic solvents methanol and ethanol obviously inhibited the enzyme activity, while n-hexane could obviously promote the enzyme activity. The conclusion can provide some theoretical basis and methodological guidance for the development and utilization of microbial resources and industrial production of low-temperature lipase.

     

/

返回文章
返回