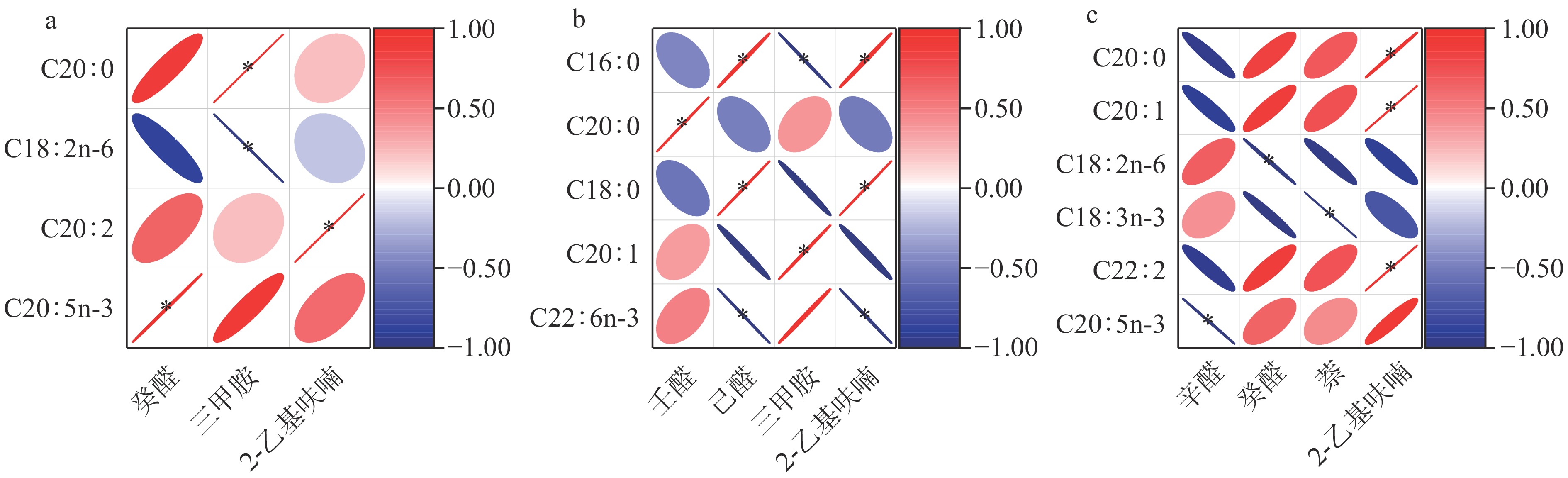
Abstract:
This study investigated the potential relationships between the composition changes of fatty acid and volatile flavor substances in soft canned saury in olive oil which treated with three various sterilization techniques including: Ultra-high pressure sterilization (UHPSO), traditional sterilization (RSO) and microwave-assisted sterilization (MTSO). These results showed that fatty acids in olive oil infiltrated into the fish, especially the unsaturated fatty acids migrate into the meat, improved its nutritional quality. The MTSO group owned the best storage quality, while the UHPSO group performed the worst. Aldehydes, alcohols, and hydrocarbons were the main sources of volatile compounds in soft canned saury in oil in the three treatment groups, with aldehydes accounting for a large proportion and being the main contributors to the aroma (e.g. hexanal, nonanal, tridecanal, etc.). Changes in aldehyde compounds were strongly correlated with oleic acid and linoleic acid content. Olive oil treatment could effectively reduce the content of fishy odor compounds in saury (e.g. 1-octen-3-ol, trimethylamine, etc.). With increasing of storage time, the variety and richness of volatile compounds in soft canned saury in oil in UHPSO group and MTSO group displayed a trend of first rising and then decreasing, while aldehydes substances in RSO group kept increasing. In summary, oil immersion treatment could improve the nutritional quality of saury flesh, and the MTSO group had more flavor substance during storage, provide a theoretical basis for the processing and treatment of saury food products.