• 中国科技期刊卓越行动计划项目资助期刊
  • 中国精品科技期刊
  • 首都科技期刊卓越行动计划
  • EI
  • Scopus
  • CAB Abstracts
  • Global Health
  • 北大核心期刊
  • DOAJ
  • EBSCO
  • 中国核心学术期刊RCCSE A+
  • 中国科技核心期刊CSTPCD
  • JST China
  • FSTA
  • 中国农林核心期刊
  • 中国开放获取期刊数据库COAJ
  • CA
  • WJCI
  • 食品科学与工程领域高质量科技期刊分级目录第一方阵T1
中国精品科技期刊2020
张佳迪,程锦潇,李华林,等. 关键生产工艺对鲜榨生菜汁品质的影响J. 食品工业科技,2024,45(1):46−53. doi: 10.13386/j.issn1002-0306.2023020008.
引用本文: 张佳迪,程锦潇,李华林,等. 关键生产工艺对鲜榨生菜汁品质的影响J. 食品工业科技,2024,45(1):46−53. doi: 10.13386/j.issn1002-0306.2023020008.
ZHANG Jiadi, CHENG Jinxiao, LI Hualin, et al. Influence of Key Processing Technology on the Quality of Freshly-squeezed Lettuce JuiceJ. Science and Technology of Food Industry, 2024, 45(1): 46−53. (in Chinese with English abstract). doi: 10.13386/j.issn1002-0306.2023020008.
Citation: ZHANG Jiadi, CHENG Jinxiao, LI Hualin, et al. Influence of Key Processing Technology on the Quality of Freshly-squeezed Lettuce JuiceJ. Science and Technology of Food Industry, 2024, 45(1): 46−53. (in Chinese with English abstract). doi: 10.13386/j.issn1002-0306.2023020008.

关键生产工艺对鲜榨生菜汁品质的影响

Influence of Key Processing Technology on the Quality of Freshly-squeezed Lettuce Juice

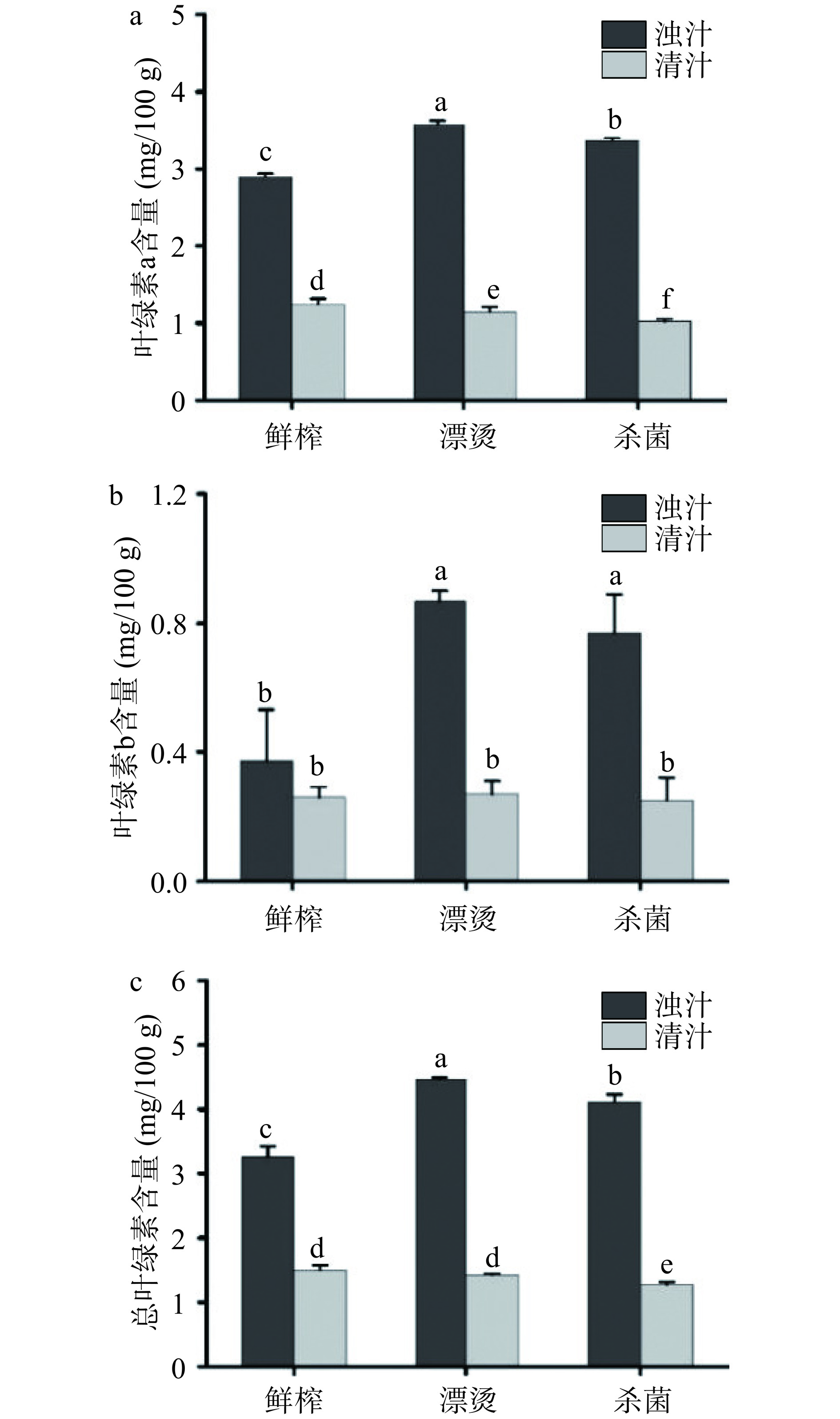
  • 摘要: 本研究以水培绿萝莎生菜为原料,研究漂烫(95 ℃/2 min)、分离(6000×g/10 min)、杀菌(600 MPa,25 ℃/2 min)三个关键生产工艺对鲜榨生菜汁微生物、色泽参数、理化指标、酶活性及抗氧化能力的影响。结果表明,经杀菌工艺后鲜榨生菜汁总好氧菌小于2 lgCFU/mL,霉菌和酵母菌小于1.3 lgCFU/mL,均在国标(GB 7101-2015)限量范围内。分离工艺显著影响生菜汁色泽和叶绿素含量,鲜榨清汁的L*a*b*C*值均显著升高(P<0.05),清汁更加明亮、绿色变浅、黄色加深、饱和度升高,总叶绿素含量下降了56.44%。漂烫后鲜榨生菜汁a*值显著降低(P<0.05),绿色更加明亮,漂烫浊汁的多酚氧化酶、过氧化物酶和过氧化氢酶失活率分别为83.76%、84.87%和90.80%。漂烫和杀菌均影响鲜榨生菜汁的活性成分和抗氧化能力,可溶性糖含量保留率分别为91.24%和88.3%,可溶性蛋白的保留率为64.22%和60.60%,总酚含量分别损失了53.31%和56.28%,抗氧化能力降低了82.61%和73.91%。本研究可为鲜榨蔬菜汁加工提供技术参考。

     

    Abstract: In order to realize the effects of blanching (95 ℃/2 min), separation (6000×g/10 min) and sterilization (600 MPa, 25 ℃/2 min) on the processing quality of freshly-squeezed lettuce juice, hydroponic green rosa lettuce were chosen as the test material. Changes of microorganisms, color, physical and chemical parameters, enzyme activities and antioxidant capacity were evaluated. The results suggested that the total aerobic bacteria of freshly-squeezed lettuce juice was less than 2 lgCFU/mL and the mold and yeast were less than 1.3 lgCFU/mL after sterilization process, all of which were within the national standard limit (GB 7101-2015). Separation process significantly affected the color and chlorophyll content of lettuce juice. The L*, a*, b* and C* values of fresh clear lettuce juice were significantly increased (P<0.05), and the clear juice was brighter, lighter in green, deeper in yellow and higher in saturation, and the total chlorophyl content decreased by 56.44%. Blanching process significantly decreased the a* value (P<0.05), and the green color became brighter. The inactivation rates of polyphenoloxidase, peroxidase and catalase were 83.76%, 84.87% and 90.80% after blanching, respectively. Blanching and sterilization both affected the active components and antioxidant capacity of freshly-squeezed lettuce juice, the soluble sugar content retention rate was 91.24% and 88.3%, the soluble protein retention rate was 64.22% and 60.60%, the total phenolic content was decreased by 53.31% and 56.28%, the antioxidant capacity decreased by 82.61% and 73.91%, respectively. This study could provide technical reference for processing of freshly-squeezed vegetable juice.

     

/

返回文章
返回