• 中国科技期刊卓越行动计划项目资助期刊
  • 中国精品科技期刊
  • 首都科技期刊卓越行动计划
  • EI
  • Scopus
  • CAB Abstracts
  • Global Health
  • 北大核心期刊
  • DOAJ
  • EBSCO
  • 中国核心学术期刊RCCSE A+
  • 中国科技核心期刊CSTPCD
  • JST China
  • FSTA
  • 中国农林核心期刊
  • 中国开放获取期刊数据库COAJ
  • CA
  • WJCI
  • 食品科学与工程领域高质量科技期刊分级目录第一方阵T1
中国精品科技期刊2020
黎旭,黄志钰,黄娟,等. 乳双歧杆菌Y6活菌型发酵乳对消化功能障碍人群肠道健康的影响J. 食品工业科技,2024,45(1):170−177. doi: 10.13386/j.issn1002-0306.2023030071.
引用本文: 黎旭,黄志钰,黄娟,等. 乳双歧杆菌Y6活菌型发酵乳对消化功能障碍人群肠道健康的影响J. 食品工业科技,2024,45(1):170−177. doi: 10.13386/j.issn1002-0306.2023030071.
LI Xu, HUANG Zhiyu, HUANG Juan, et al. Effects of Fermented Milk with Live Bifidobacterium lactis Y6 on Intestinal Health in People with Digestive DysfunctionJ. Science and Technology of Food Industry, 2024, 45(1): 170−177. (in Chinese with English abstract). doi: 10.13386/j.issn1002-0306.2023030071.
Citation: LI Xu, HUANG Zhiyu, HUANG Juan, et al. Effects of Fermented Milk with Live Bifidobacterium lactis Y6 on Intestinal Health in People with Digestive DysfunctionJ. Science and Technology of Food Industry, 2024, 45(1): 170−177. (in Chinese with English abstract). doi: 10.13386/j.issn1002-0306.2023030071.

乳双歧杆菌Y6活菌型发酵乳对消化功能障碍人群肠道健康的影响

Effects of Fermented Milk with Live Bifidobacterium lactis Y6 on Intestinal Health in People with Digestive Dysfunction

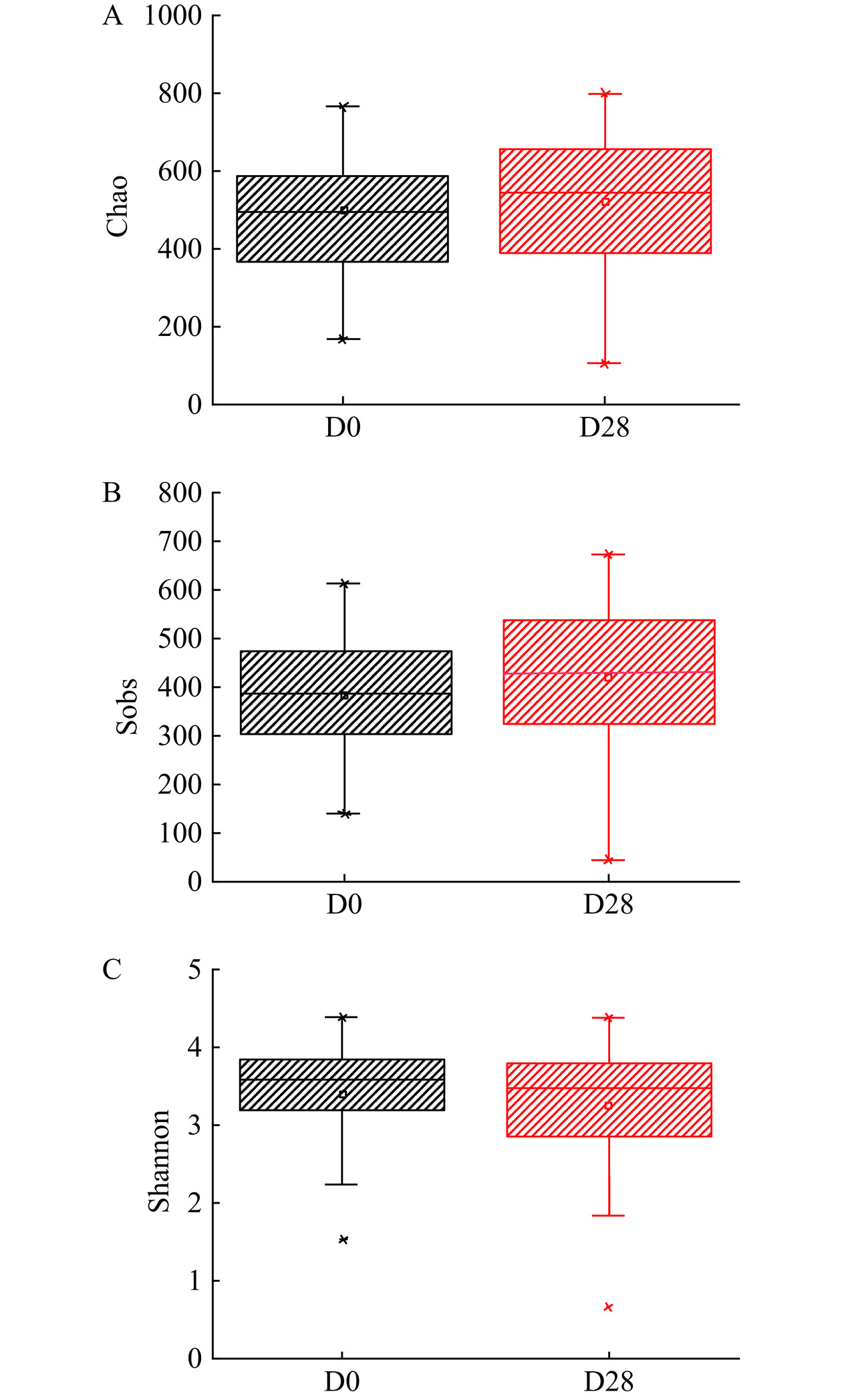
  • 摘要: 为了探究饮用乳双歧杆菌Y6活菌型发酵乳对消化功能障碍人群肠道健康的影响,本文进行了一项膳食干预试验。选择具有消化功能问题的受试者,每天饮用200 mL Y6活菌型发酵乳,持续4周。分别在干预前后进行临床评分,同时利用Illumina PE300测序平台,对受试者粪便微生物的16S rDNA PCR产物片段进行高通量测序,使用气相色谱测定了粪便中短链脂肪酸(SCFAs)的含量。结果表明,饮用Y6活菌型发酵乳对消化功能障碍导致的临床症状有极显著的改善作用(P<0.01);高通量测序结果显示,Y6活菌型发酵乳的干预对人体肠道微生物群的组成影响显著,但对物种多样性和丰富度没有明显改变,其中有益菌AkkermansiaCollinsellaErysipelotrichacee_UCG_003属的相对丰度增加,有害菌Lachnoclostridium属的相对丰富度减少;肠道内SCFAs(乙酸、丙酸和丁酸)含量显著增加(P<0.05)。乳双歧杆菌Y6活菌型发酵乳的干预可以显著改善消化功能障碍人群的肠道健康,为Y6菌株的应用提供理论依据。

     

    Abstract: To investigate the effects of administering fermented milk with live Bifidobacterium lactis Y6 on intestinal health in people with digestive dysfunction, a dietary intervention experiment was conducted. Volunteers with digestive problems were selected to consume 200 mL Y6 fermented milk daily for 4 weeks. Clinical scores were performed before and after the intervention, the Illumina PE300 sequencing platform was used to perform high-throughput sequencing of 16S rDNA PCR product fragments of fecal microorganisms in volunteers, the content of short-chain fatty acids (SCFAs) in feces was determined using gas chromatography. The results showed that drinking Y6 fermented milk had a significant improvement on clinical symptoms caused by digestive dysfunction (P<0.01). High-throughput sequencing results showed that drinking Y6 fermented milk had significant effect on the composition of gut microbiota rather than the diversity and richness. The relative abundance of beneficial bacteria Akkermansia, Collinse and Erysipelotrichaceae_UCG_003 genera increased while the harmful bacteria Lachnoclostridium genera reduced. The contents of intestinal SCFAs (acetic acid, propionic acid and butyric acid) increased significantly (P<0.05). The intervention of fermented milk with live Bifidobacterium lactis Y6 can significantly improve the intestinal health of people with digestive dysfunction, providing a theoretical basis for the application of Y6 strains.

     

/

返回文章
返回