• 中国科技期刊卓越行动计划项目资助期刊
  • 中国精品科技期刊
  • 首都科技期刊卓越行动计划
  • EI
  • Scopus
  • CAB Abstracts
  • Global Health
  • 北大核心期刊
  • DOAJ
  • EBSCO
  • 中国核心学术期刊RCCSE A+
  • 中国科技核心期刊CSTPCD
  • JST China
  • FSTA
  • 中国农林核心期刊
  • 中国开放获取期刊数据库COAJ
  • CA
  • WJCI
  • 食品科学与工程领域高质量科技期刊分级目录第一方阵T1
中国精品科技期刊2020
栾慧琳,华晓晗,戴澍涵,等. 湿法糖基化改性大豆分离蛋白在低致敏千页豆腐中的应用J. 食品工业科技,2024,45(2):59−66. doi: 10.13386/j.issn1002-0306.2023030194.
引用本文: 栾慧琳,华晓晗,戴澍涵,等. 湿法糖基化改性大豆分离蛋白在低致敏千页豆腐中的应用J. 食品工业科技,2024,45(2):59−66. doi: 10.13386/j.issn1002-0306.2023030194.
LUAN Huilin, HUA Xiaohan, DAI Shuhan, et al. Application of Wet Glycosylation Modified Soybean Protein Isolate in Hypo-allergenic Chiba TofuJ. Science and Technology of Food Industry, 2024, 45(2): 59−66. (in Chinese with English abstract). doi: 10.13386/j.issn1002-0306.2023030194.
Citation: LUAN Huilin, HUA Xiaohan, DAI Shuhan, et al. Application of Wet Glycosylation Modified Soybean Protein Isolate in Hypo-allergenic Chiba TofuJ. Science and Technology of Food Industry, 2024, 45(2): 59−66. (in Chinese with English abstract). doi: 10.13386/j.issn1002-0306.2023030194.

湿法糖基化改性大豆分离蛋白在低致敏千页豆腐中的应用

Application of Wet Glycosylation Modified Soybean Protein Isolate in Hypo-allergenic Chiba Tofu

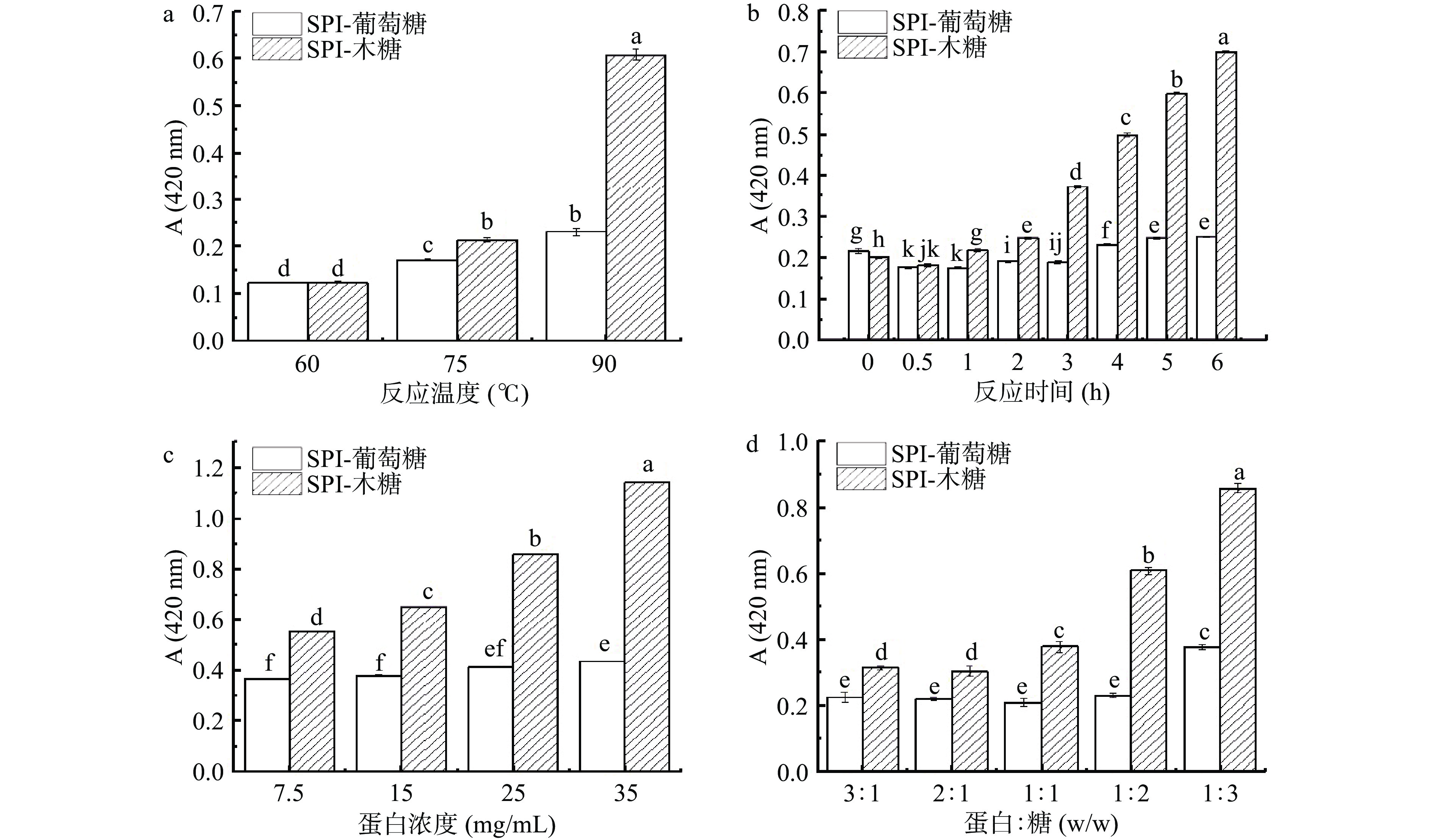
  • 摘要: 为寻求高效的糖基化改性条件和良好的应用途径,本文以葡萄糖、木糖两种单糖为糖基供体,探究反应时间、反应温度、蛋白与糖比例、蛋白浓度对大豆分离蛋白湿法糖基化反应的影响,分析大豆分离蛋白-葡萄糖复合物(SPI-葡萄糖)、大豆分离蛋白-木糖复合物(SPI-木糖)致敏性的变化,并将SPI-葡萄糖、SPI-木糖应用于低致敏千页豆腐生产。结果表明,木糖相较于葡萄糖更易与大豆分离蛋白发生糖基化反应,但也更容易有类黑素产生。在蛋白浓度为25 mg/mL时,糖基化反应程度最高,并且糖基化反应程度与反应温度、反应时间、糖添加量呈正相关。SDS-PAGE和傅里叶变换红外光谱分析结果表明糖基化改性使大豆分离蛋白和糖分子发生了共价结合,SPI的自由氨基减少。糖基化反应程度越高,SPI致敏性越低,SPI-木糖接枝物致敏性降低程度最高可达50%,以其为原料经谷氨酰胺转氨酶(TG酶)交联所制作的千页豆腐有良好的弹性和咀嚼性。

     

    Abstract: Two monosaccharides, glucose and xylose, were used as glycosyl donors to investigate the effects of reaction time, reaction temperature, protein-to-sugar ratio and protein concentration on the wet glycosylation reaction of soybean protein isolate. The allergenicity of SPI-glucose derivative (SPI-glucose) and SPI-xylose derivative (SPI-xylose) was analyzed. SPI-glucose and SPI-xylose were used to produce the hypo-allergenic Chiba tofu. The results showed that xylose was more likely to glycosylate with SPI than glucose, but it was also more likely to produce melanoidin. The highest degree of glycosylation reaction was observed at the protein concentration of 25 mg/mL. The degree of glycosylation reaction was positively correlated with the reaction temperature, reaction time, and the amount of sugar added. The results of SDS-PAGE and fourier transform infrared spectroscopy showed that glycosylation caused covalent binding of SPI and sugar molecules, and the free amino group content of SPI was reduced. The degree of glycosylation reaction was negatively correlated with the allergenicity of SPI, and the allergenicity of SPI-xylose could be reduced by up to 50%. Chiba tofu made from SPI-xylose using glutamine aminotransferase (TGase) had good elasticity and chewiness.

     

/

返回文章
返回