• 中国科技期刊卓越行动计划项目资助期刊
  • 中国精品科技期刊
  • 首都科技期刊卓越行动计划
  • EI
  • Scopus
  • CAB Abstracts
  • Global Health
  • 北大核心期刊
  • DOAJ
  • EBSCO
  • 中国核心学术期刊RCCSE A+
  • 中国科技核心期刊CSTPCD
  • JST China
  • FSTA
  • 中国农林核心期刊
  • 中国开放获取期刊数据库COAJ
  • CA
  • WJCI
  • 食品科学与工程领域高质量科技期刊分级目录第一方阵T1
中国精品科技期刊2020
张璇,赵文,高哲,等. 果胶与多酚相互作用机制及其对食品加工特性影响的研究进展J. 食品工业科技,2024,45(1):378−386. doi: 10.13386/j.issn1002-0306.2023030201.
引用本文: 张璇,赵文,高哲,等. 果胶与多酚相互作用机制及其对食品加工特性影响的研究进展J. 食品工业科技,2024,45(1):378−386. doi: 10.13386/j.issn1002-0306.2023030201.
ZHANG Xuan, ZHAO Wen, GAO Zhe, et al. Research Progress on the Interaction Mechanism of Pectin and Polyphenol and Their Effect on Food Processing CharacteristicsJ. Science and Technology of Food Industry, 2024, 45(1): 378−386. (in Chinese with English abstract). doi: 10.13386/j.issn1002-0306.2023030201.
Citation: ZHANG Xuan, ZHAO Wen, GAO Zhe, et al. Research Progress on the Interaction Mechanism of Pectin and Polyphenol and Their Effect on Food Processing CharacteristicsJ. Science and Technology of Food Industry, 2024, 45(1): 378−386. (in Chinese with English abstract). doi: 10.13386/j.issn1002-0306.2023030201.

果胶与多酚相互作用机制及其对食品加工特性影响的研究进展

Research Progress on the Interaction Mechanism of Pectin and Polyphenol and Their Effect on Food Processing Characteristics

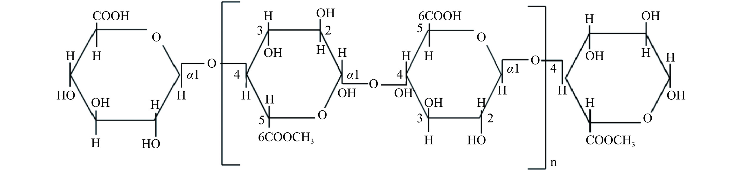
  • 摘要: 果胶和多酚共存于植物性食品体系中。除天然存在的果胶-多酚复合物外,在受到加热、高压、干燥等外力作用的食品加工过程中,两者会快速且自发地进行相互作用。果胶与多酚之间的相互作用会影响食品的理化性质和功能特性。本文总结了果胶与多酚相互作用的机制、内部和外部多重影响因素、主要的研究方法并结合 Langmuir和Freundlich常见的等温吸附模型对果胶与多酚之间的吸附行为进行描述和定量表征。此外还探讨了两者相互作用对食品加工特性及多酚生物可利用性的影响,分析了该领域的研究方向和发展趋势。

     

    Abstract: The pectin and polyphenols that co-exist in plant-based food systems form complexes in natural conditions and interact quickly and spontaneously during food processing due to external forces, such as heating, high pressure, and drying. The interaction can affect the physicochemical properties and functional properties of foods. This review summarizes the mechanisms, multiple internal and external influencing factors, and main research methods involved in pectin and polyphenol interaction, while their adsorption behavior is described and quantitatively characterized using the isothermal adsorption model commonly used by Langmuir and Freundlich. In addition, the impact of pectin and polyphenol interaction on food processing characteristics and polyphenol bioavailability is also discussed, and the future research prospects and development trends in this field are analyzed.

     

/

返回文章
返回