• 中国科技期刊卓越行动计划项目资助期刊
  • 中国精品科技期刊
  • EI
  • Scopus
  • CAB Abstracts
  • Global Health
  • 北大核心期刊
  • DOAJ
  • EBSCO
  • 中国核心学术期刊RCCSE A+
  • 中国科技核心期刊CSTPCD
  • JST China
  • FSTA
  • 中国农林核心期刊
  • 中国开放获取期刊数据库COAJ
  • CA
  • WJCI
  • 食品科学与工程领域高质量科技期刊分级目录第一方阵T1
中国精品科技期刊2020
石贺,于连升,齐心彤,等. 乳酸菌葡聚糖蔗糖酶的研究进展[J]. 食品工业科技,2024,45(4):354−361. doi: 10.13386/j.issn1002-0306.2023040042.
引用本文: 石贺,于连升,齐心彤,等. 乳酸菌葡聚糖蔗糖酶的研究进展[J]. 食品工业科技,2024,45(4):354−361. doi: 10.13386/j.issn1002-0306.2023040042.
SHI He, YU Liansheng, QI Xintong, et al. Research Progress of Glucansucrase from Lactic Acid Bacteria[J]. Science and Technology of Food Industry, 2024, 45(4): 354−361. (in Chinese with English abstract). doi: 10.13386/j.issn1002-0306.2023040042.
Citation: SHI He, YU Liansheng, QI Xintong, et al. Research Progress of Glucansucrase from Lactic Acid Bacteria[J]. Science and Technology of Food Industry, 2024, 45(4): 354−361. (in Chinese with English abstract). doi: 10.13386/j.issn1002-0306.2023040042.

乳酸菌葡聚糖蔗糖酶的研究进展

Research Progress of Glucansucrase from Lactic Acid Bacteria

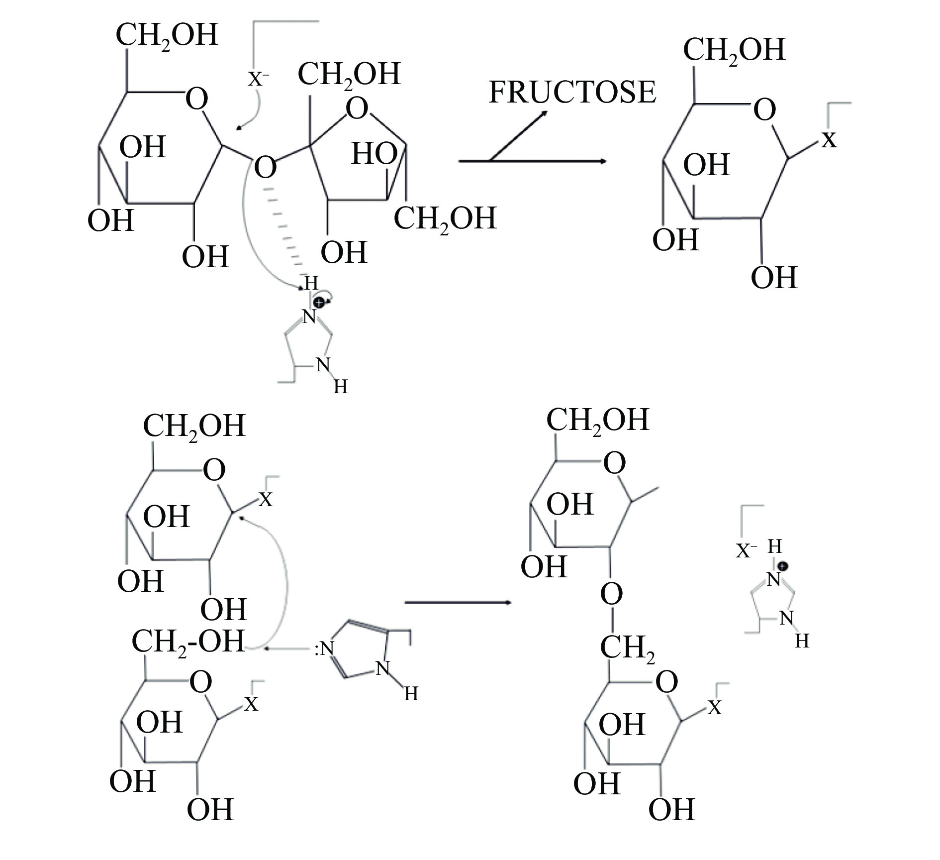
  • 摘要: 葡聚糖蔗糖酶(Glucansucrase)(EC.2.4.5.1)是一类α-转糖苷酶(Glucosyltransferase),主要由明串珠菌属(Leuconostoc)、链球菌属(Streptococcus)及乳杆菌属(Lactobacillus)等乳酸菌产生。葡聚糖蔗糖酶的结构和催化机制具有多样性,是生物合成胞外多糖的一种重要工具酶。本文主要综述了乳酸菌葡聚糖蔗糖酶的来源、分类、结构、反应机制,以及介绍培养基组成、培养条件对酶产量的影响,重点阐述葡聚糖蔗糖酶的优化方法、分离纯化过程及酶学性质,并对其发展趋势进行展望,以期为葡聚糖蔗糖酶在相关领域开展研究提供参考。

     

    Abstract: Glucansucrase (EC.2.4.5.1) is a class of α-glucosyltransferases, mainly produced by lactic acid bacteria such as Leuconostoc, Streptococcus and Lactobacillus. The structure and catalytic mechanism of glucansucrase are diverse, and it is an important tool enzyme for the biosynthesis of exopolysaccharide. This article mainly reviews the source, classification, structure and reaction mechanism of glucansucrase and the effects of medium composition, culture conditions on the production of glucansucrase, with a focus on the optimization methods, separation and purification processes, and enzymatic properties of glucansucrase, and prospects for its development trend. This article aims to provide reference for the research of glucansucrase in related fields.

     

/

返回文章
返回