• 中国科技期刊卓越行动计划项目资助期刊
  • 中国精品科技期刊
  • 首都科技期刊卓越行动计划
  • EI
  • Scopus
  • CAB Abstracts
  • Global Health
  • 北大核心期刊
  • DOAJ
  • EBSCO
  • 中国核心学术期刊RCCSE A+
  • 中国科技核心期刊CSTPCD
  • JST China
  • FSTA
  • 中国农林核心期刊
  • 中国开放获取期刊数据库COAJ
  • CA
  • WJCI
  • 食品科学与工程领域高质量科技期刊分级目录第一方阵T1
中国精品科技期刊2020
黄添舆,罗冬兰,王小岗,等. 褪黑素对青椒低温贮藏品质及能量代谢影响J. 食品工业科技,2024,45(2):324−332. doi: 10.13386/j.issn1002-0306.2023040056.
引用本文: 黄添舆,罗冬兰,王小岗,等. 褪黑素对青椒低温贮藏品质及能量代谢影响J. 食品工业科技,2024,45(2):324−332. doi: 10.13386/j.issn1002-0306.2023040056.
HUANG Tianyu, LUO Donglan, WANG Xiaogang, et al. Effects of Melatonin on Storage Quality and Energy Metabolism of Green Pepper (Capsicum frutescens L.) During Low Temperature StorageJ. Science and Technology of Food Industry, 2024, 45(2): 324−332. (in Chinese with English abstract). doi: 10.13386/j.issn1002-0306.2023040056.
Citation: HUANG Tianyu, LUO Donglan, WANG Xiaogang, et al. Effects of Melatonin on Storage Quality and Energy Metabolism of Green Pepper (Capsicum frutescens L.) During Low Temperature StorageJ. Science and Technology of Food Industry, 2024, 45(2): 324−332. (in Chinese with English abstract). doi: 10.13386/j.issn1002-0306.2023040056.

褪黑素对青椒低温贮藏品质及能量代谢影响

Effects of Melatonin on Storage Quality and Energy Metabolism of Green Pepper (Capsicum frutescens L.) During Low Temperature Storage

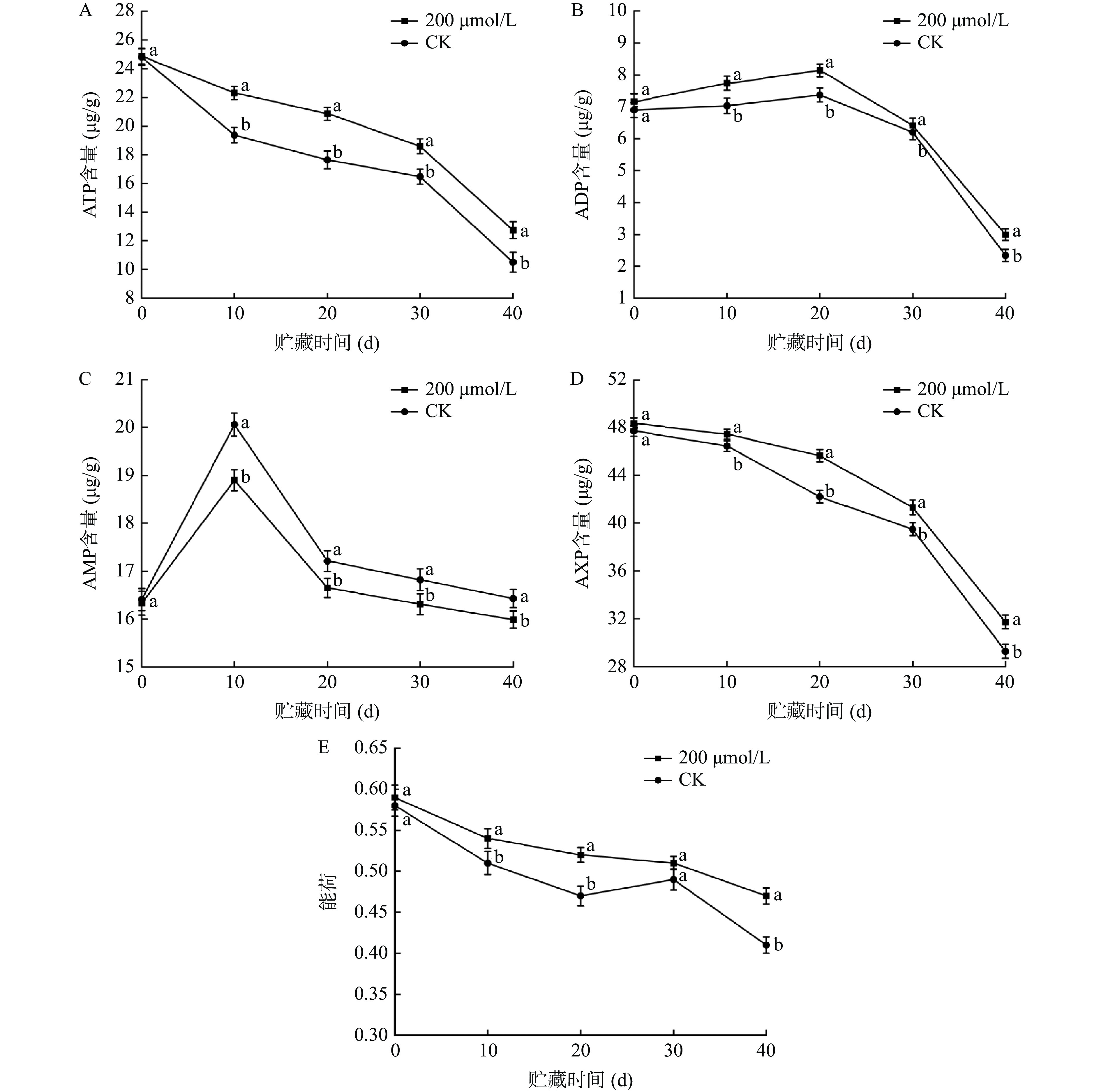
  • 摘要: 为研究褪黑激素对采后青椒果实贮藏品质和能量代谢的影响,本研究以青椒为材料,研究了100、200和300 μmol/L浓度褪黑素对9 ℃下贮藏的青椒果实品质及能量代谢的影响。结果表明,褪黑素处理能有效地降低青椒果实腐烂率,减缓青椒果实硬度的下降,其中,200 μmol/L褪黑素的处理效果最好;此外,褪黑素能推迟青椒果实辣椒碱含量、叶绿素含量的下降,维持较低的丙二醛(MDA)含量,抑制青椒三磷酸腺苷(ATP)、二磷酸腺苷(ADP)和腺嘌呤核苷酸(AXP)的降解,促进一磷酸腺苷(AMP)含量的积累,维持了较高的能荷水平。褪黑素也能维持青椒中的较高的琥珀酸脱氢酶(SDH)活性、细胞色素C氧化酶(CCO)活性、氢离子ATP酶(H+-ATPase)酶活性和钙离子ATP酶(Ca2+-ATPase)酶活性。相关性分析表明,青椒的ATP、ADP、AXP、能荷、H+-ATPase、Ca2+-ATPase活性与腐烂率呈显著负相关(P<0.05),与辣椒碱和叶绿素含量呈显著正相关(P<0.05),并且青椒的ATP、ADP、AMP、AXP、能荷和H+-ATPase、Ca2+-ATPase活性互相之间均呈现显著正相关(P<0.05),表明褪黑素处理能够说明采后青椒贮藏期品质与能量水平紧密相关。研究结果可为褪黑素在控制采后青椒贮藏品质方面的应用提供技术参考。

     

    Abstract: In order to study the effect of melatonin on the storage quality and energy metabolism of postharvest green pepper (Capsicum frutescens L.). The green pepper was used as the experiment material in this experiment with different concentrations (100, 200 and 300 μmol/L) at low temperature (9 ℃). To investigate the effects of melatonin treatment on the storage quality and energy metabolism of green pepper fruits. The results showed that melatonin treatment could effectively reduce decay rate and slow down the decline of fruit hardness of green pepper. In particular, the treatment effect of 200 μmol/L melatonin was the best. In addition, melatonin could delay the decline of capsaicin and chlorophyll content, maintained a lower MDA content, inhibited the degradation of ATP, ADP and AXP, promoted the accumulation of AMP content, and maintained a higher energy charge level in green pepper. Melatonin could also maintain high SDH, CCO, H+-ATPase and Ca2+-ATPase activity in green pepper. Correlation analysis showed that the activities of ATP, ADP, AXP, energy charge, H+-ATPase and Ca2+-ATPase in green pepper were significantly negatively correlated with the decay rate (P<0.05), and were significantly positively correlated with the contents of capsaicin and chlorophyll (P<0.05). Moreover, the activities of ATP, ADP, AMP, AXP, energy charge, H+-ATPase and Ca2+-ATPase in green pepper were significantly positively correlated with each other (P<0.05), indicating that melatonin treatment could explain that the quality of postharvest green pepper was closely related to energy level during storage. The results of this study can provide technical reference for the application of melatonin in controlling the storage quality of postharvest green pepper.

     

/

返回文章
返回