• 中国科技期刊卓越行动计划项目资助期刊
  • 中国精品科技期刊
  • 首都科技期刊卓越行动计划
  • EI
  • Scopus
  • CAB Abstracts
  • Global Health
  • 北大核心期刊
  • DOAJ
  • EBSCO
  • 中国核心学术期刊RCCSE A+
  • 中国科技核心期刊CSTPCD
  • JST China
  • FSTA
  • 中国农林核心期刊
  • 中国开放获取期刊数据库COAJ
  • CA
  • WJCI
  • 食品科学与工程领域高质量科技期刊分级目录第一方阵T1
中国精品科技期刊2020
何兰兰,马四补,姜特,等. 固态发酵刺梨果渣改性膳食纤维工艺优化及结构特性分析J. 食品工业科技,2024,45(2):183−191. doi: 10.13386/j.issn1002-0306.2023040130.
引用本文: 何兰兰,马四补,姜特,等. 固态发酵刺梨果渣改性膳食纤维工艺优化及结构特性分析J. 食品工业科技,2024,45(2):183−191. doi: 10.13386/j.issn1002-0306.2023040130.
HE Lanlan, MA Sibu, JIANG Te, et al. Process and Structural Characteristics Analysis of Solid-state Fermentation of Modified Dietary Fiber from Rosa roxburghii PomaceJ. Science and Technology of Food Industry, 2024, 45(2): 183−191. (in Chinese with English abstract). doi: 10.13386/j.issn1002-0306.2023040130.
Citation: HE Lanlan, MA Sibu, JIANG Te, et al. Process and Structural Characteristics Analysis of Solid-state Fermentation of Modified Dietary Fiber from Rosa roxburghii PomaceJ. Science and Technology of Food Industry, 2024, 45(2): 183−191. (in Chinese with English abstract). doi: 10.13386/j.issn1002-0306.2023040130.

固态发酵刺梨果渣改性膳食纤维工艺优化及结构特性分析

Process and Structural Characteristics Analysis of Solid-state Fermentation of Modified Dietary Fiber from Rosa roxburghii Pomace

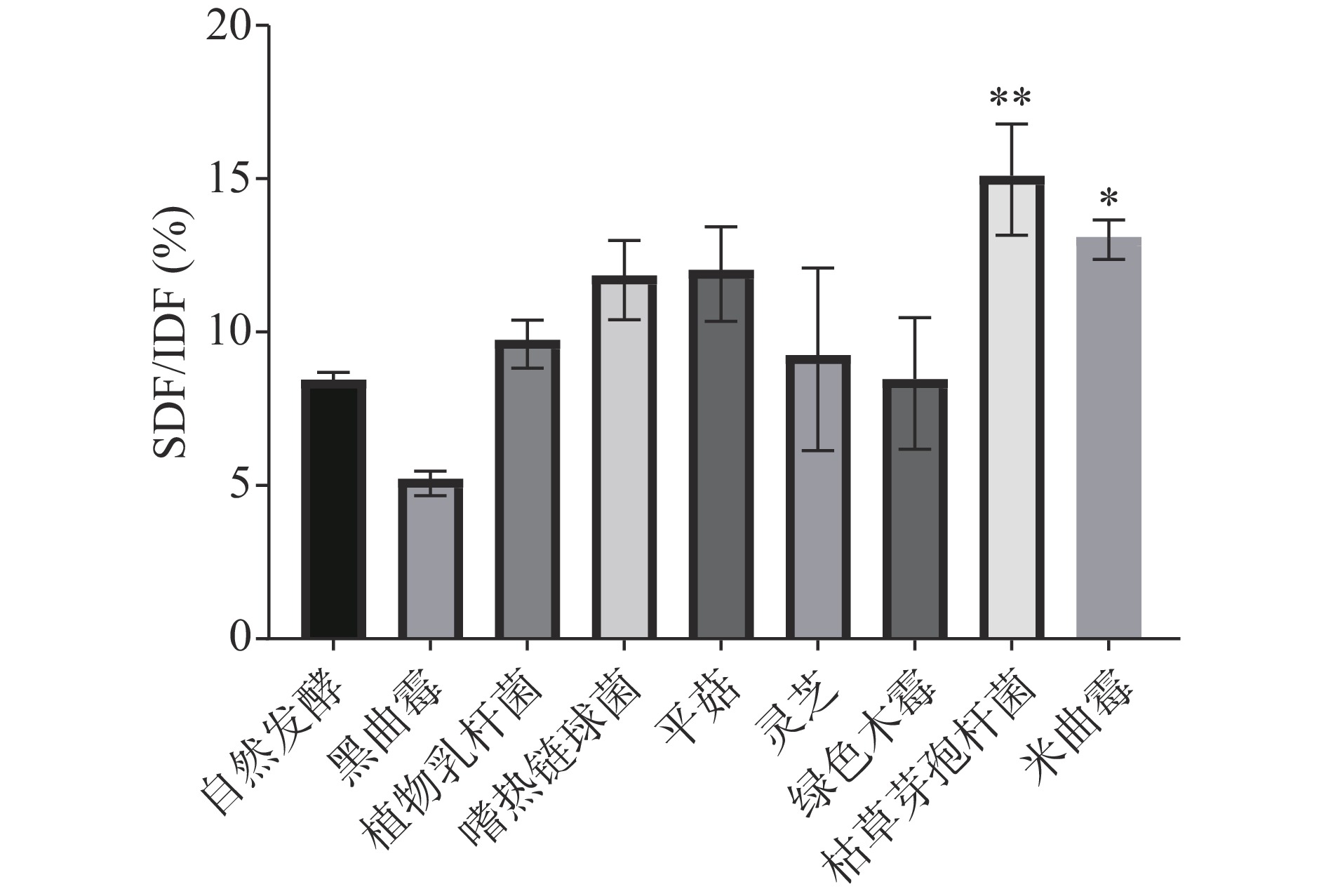
  • 摘要: 为提高刺梨果渣利用率,减少资源浪费和环境污染。本研究以刺梨果渣为原料,采用固态发酵改性刺梨果渣膳食纤维(dietary fiber,DF),以可溶性膳食纤维(soluble dietary fiber,SDF)与不溶性膳食纤维(insoluble dietary fiber,IDF)比值(SDF/IDF)为响应值,接种量、发酵温度和发酵时间为考察因素,利用响应面试验优化刺梨果渣最佳发酵工艺,并分析发酵前和发酵后膳食纤维结构特性与理化性质。结果表明,刺梨果渣最佳发酵工艺为:发酵时间为4 d,温度为40 ℃,接菌量为7.5%, SDF/IDF为14.21%±0.42%;理化性质分析表明,发酵后较发酵前持水力、持油力及膨胀力增大;超微结构分析发现,发酵后DF呈现片层状,表面粗糙,结构疏松;红外图谱分析表明,发酵后DF吸收峰强度增大,整体峰型及位置未发生改变,X-射线衍射图谱表明发酵后衍射峰强度减弱,结晶结构未发生变化。刺梨果渣经枯草芽孢杆菌发酵可改变DF结构,并改善其理化特性。

     

    Abstract: In order to improve the utilization rate of Rosa roxburghii pomace, reduce resource waste and environmental pollution, this study used Rosa roxburghii pomace as raw material and modified dietary fiber (DF) through solid-state fermentation. The ratio of soluble dietary fiber (SDF) to insoluble dietary fiber (IDF) (SDF/IDF) was used as the response value, inoculation amount, fermentation temperature, and fermentation time were used as factors to optimize the optimal fermentation process of Rosa roxburghii pomace using response surface methodology. The structural characteristics and physicochemical properties of dietary fiber before and after fermentation were analyzed. The results showed that the optimal fermentation process for Rosa roxburghii pomace was as follows: Fermentation time of 4 days, temperature of 40 ℃, inoculation amount of 7.5%, SDF/IDF of 14.21%±0.42%. The analysis of physical showed that the water holding capacity, oil holding capacity, and swelling capacity were increased after fermentation compared to before fermentation. The ultrastructural analysis revealed that DF after fermentation exhibited layered morphology, rough surface, and loose structure. The infrared spectrum analysis showed that the intensity of DF absorption peak increased after fermentation, and the overall peak shape and position remain unchanged. The X-ray diffraction spectrum showed that the intensity of diffraction peak weakens after fermentation, and the crystal structure did not changed. The fermentation of Rosa roxburghii pomace by Bacillus subtilis could alter the structure of DF and improve its physicochemical properties.

     

/

返回文章
返回