• 中国科技期刊卓越行动计划项目资助期刊
  • 中国精品科技期刊
  • 首都科技期刊卓越行动计划
  • EI
  • Scopus
  • CAB Abstracts
  • Global Health
  • 北大核心期刊
  • DOAJ
  • EBSCO
  • 中国核心学术期刊RCCSE A+
  • 中国科技核心期刊CSTPCD
  • JST China
  • FSTA
  • 中国农林核心期刊
  • 中国开放获取期刊数据库COAJ
  • CA
  • WJCI
  • 食品科学与工程领域高质量科技期刊分级目录第一方阵T1
中国精品科技期刊2020
孙鹏伟,刘娅妮,李然,等. 不同添加量的双孢蘑菇粉对酸奶流变学和质构特性的影响J. 食品工业科技,2024,45(9):54−61. doi: 10.13386/j.issn1002-0306.2023050009.
引用本文: 孙鹏伟,刘娅妮,李然,等. 不同添加量的双孢蘑菇粉对酸奶流变学和质构特性的影响J. 食品工业科技,2024,45(9):54−61. doi: 10.13386/j.issn1002-0306.2023050009.
SUN Pengwei, LIU Yani, LI Ran, et al. Effects of Different Addition of Agaricus bisporus Powders on Rheological and Textural Properties of YogurtJ. Science and Technology of Food Industry, 2024, 45(9): 54−61. (in Chinese with English abstract). doi: 10.13386/j.issn1002-0306.2023050009.
Citation: SUN Pengwei, LIU Yani, LI Ran, et al. Effects of Different Addition of Agaricus bisporus Powders on Rheological and Textural Properties of YogurtJ. Science and Technology of Food Industry, 2024, 45(9): 54−61. (in Chinese with English abstract). doi: 10.13386/j.issn1002-0306.2023050009.

不同添加量的双孢蘑菇粉对酸奶流变学和质构特性的影响

Effects of Different Addition of Agaricus bisporus Powders on Rheological and Textural Properties of Yogurt

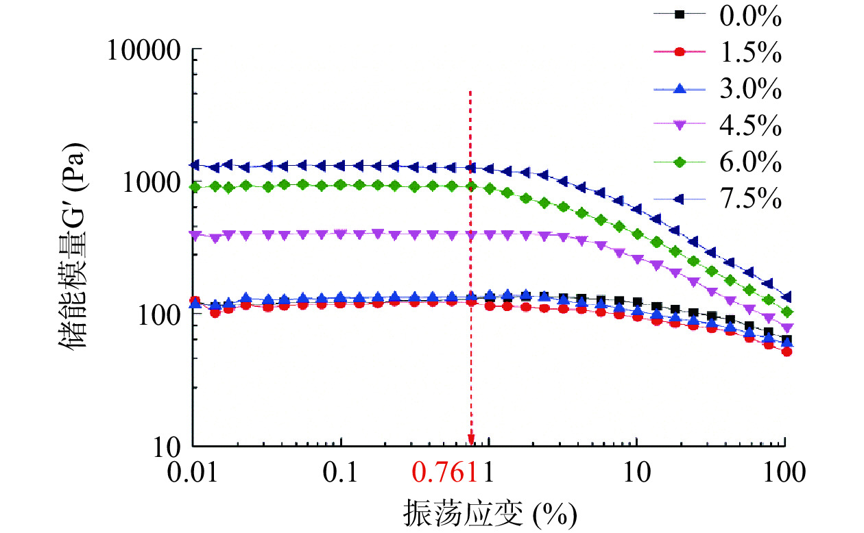
  • 摘要: 为研究双孢蘑菇粉对酸奶理化性质的影响,以酸奶为原料,探究将不同质量分数(0.0%、1.5%、3.0%、4.5%、6.0%和7.5%)的双孢蘑菇粉(Agaricus bisporus powder,ABP)添加到酸奶中,并对在不同ABP添加量下的酸奶流变学和质构特性进行研究。结果表明:当ABP添加量为1.5%时,酸奶的动态黏弹性、表观黏度、稠度、硬度和内聚性对比对照组均有所降低;而当ABP添加量高于1.5%时,酸奶的动态黏弹性、表观黏度、稠度、硬度和内聚性会随ABP添加量的增加而增大;扫描电镜结果表明,ABP添加量为0.0%和1.5%的酸奶表现为具有较多空隙的酪蛋白纤维状网络结构,并且随着ABP添加量的增加,纤维网络中的空隙逐渐被ABP颗粒所填充,形成致密连续的空间结构,使酸奶的硬度、粘稠度和稳定性得到增强。综合分析可知,当ABP的添加量为1.5%~3.0%时,可使酸奶具有较好的流变性和质构特性。本研究结果为双孢蘑菇风味乳制品的研究和开发提供了理论和数据支持。

     

    Abstract: In order to investigate the effect of ABP (Agaricus bisporus powder) on the physicochemical properties of yogurt, ABP with different mass fractions (0.0%, 1.5%, 3.0%, 4.5%, 6.0% and 7.5%) was added to yogurt while using yogurt as the raw material, and the rheological and textural properties of yogurt were investigated at different ABP additions. The findings demonstrated that with the addition of ABP at 1.5%, the dynamic viscoelasticity, apparent viscosity, consistency, hardness, and cohesiveness of yogurt were decreased compared with the control group, while the dynamic viscoelasticity, apparent viscosity, consistency, hardness and cohesiveness of yogurt increased with a higher addition of ABP at over 1.5%. Moreover, the scanning electron microscopy results suggested that yogurt with ABP addition at 0.0% and 1.5% showed casein fibrillar network structure with more voids, and with the increase of ABP addition, the voids in the fibrous network were gradually filled by ABP particles, thus forming a dense and continuous spatial structure, which ultimately enhanced the hardness, consistency, and stability of the yogurt. According to the comprehensive analysis, the addition of ABP at 1.5%~3.0% will result in better rheological and textural properties of yogurt. In conclusion, these findings could provide theoretical and data support for the research and development of Agaricus bisporus-flavored dairy products.

     

/

返回文章
返回