• 中国科技期刊卓越行动计划项目资助期刊
  • 中国精品科技期刊
  • 首都科技期刊卓越行动计划
  • EI
  • Scopus
  • CAB Abstracts
  • Global Health
  • 北大核心期刊
  • DOAJ
  • EBSCO
  • 中国核心学术期刊RCCSE A+
  • 中国科技核心期刊CSTPCD
  • JST China
  • FSTA
  • 中国农林核心期刊
  • 中国开放获取期刊数据库COAJ
  • CA
  • WJCI
  • 食品科学与工程领域高质量科技期刊分级目录第一方阵T1
中国精品科技期刊2020
张馨月,赵思毅,吴明阳,等. 紫马铃薯花色苷提取工艺优化及稳定性、抗氧化活性分析J. 食品工业科技,2024,45(5):187−196. doi: 10.13386/j.issn1002-0306.2023050067.
引用本文: 张馨月,赵思毅,吴明阳,等. 紫马铃薯花色苷提取工艺优化及稳定性、抗氧化活性分析J. 食品工业科技,2024,45(5):187−196. doi: 10.13386/j.issn1002-0306.2023050067.
ZHANG Xinyue, ZHAO Siyi, WU Mingyang, et al. Optimization of Extraction Process of Anthocyanins from Purple-fleshed Potatoes and Its Stability and Antioxidant ActivityJ. Science and Technology of Food Industry, 2024, 45(5): 187−196. (in Chinese with English abstract). doi: 10.13386/j.issn1002-0306.2023050067.
Citation: ZHANG Xinyue, ZHAO Siyi, WU Mingyang, et al. Optimization of Extraction Process of Anthocyanins from Purple-fleshed Potatoes and Its Stability and Antioxidant ActivityJ. Science and Technology of Food Industry, 2024, 45(5): 187−196. (in Chinese with English abstract). doi: 10.13386/j.issn1002-0306.2023050067.

紫马铃薯花色苷提取工艺优化及稳定性、抗氧化活性分析

Optimization of Extraction Process of Anthocyanins from Purple-fleshed Potatoes and Its Stability and Antioxidant Activity

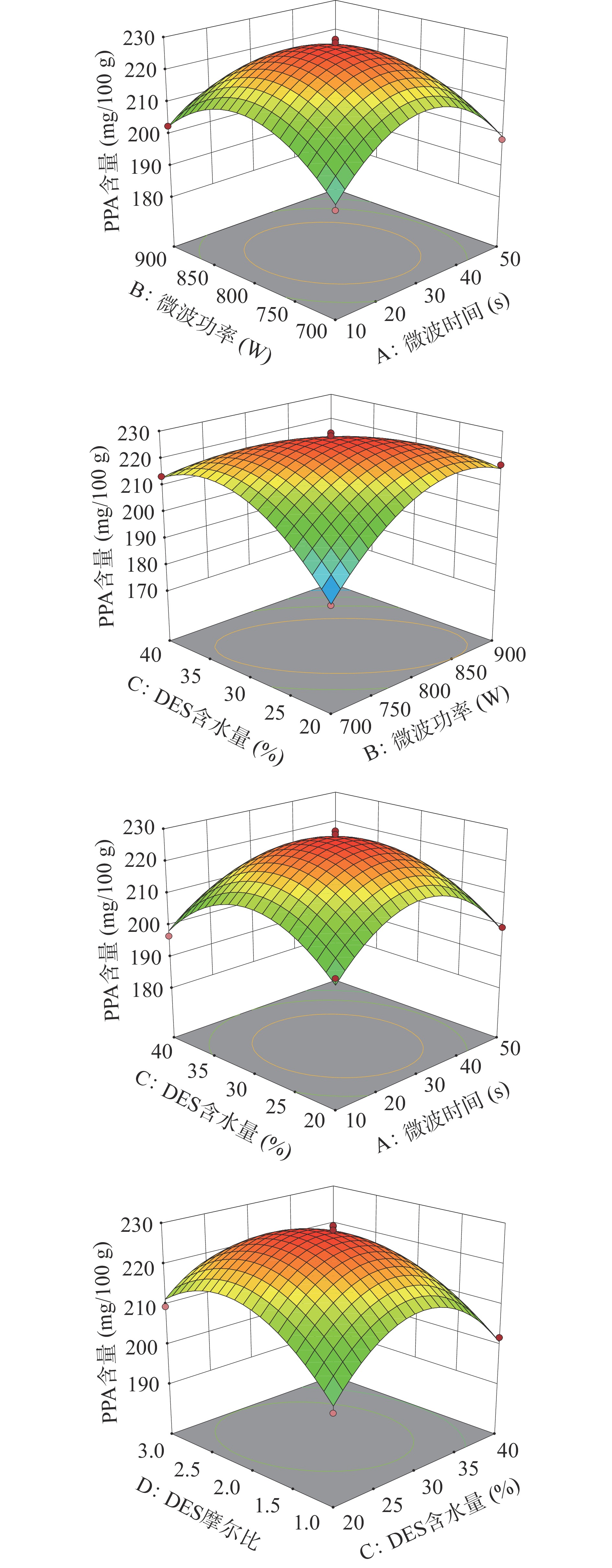
  • 摘要: 以甜菜碱为氢键受体,有机酸、糖基和醇基分别为氢键供体制备天然绿色的低共熔溶剂,基于微波辅助提取法,通过单因素实验并结合响应面分析对紫马铃薯花色苷提取工艺进行优化。主要考察了微波时间、微波功率、溶剂含水量、溶剂摩尔比对紫马铃薯花色苷含量的影响。同时比较低共熔溶剂与常规溶剂提取对紫马铃薯花色苷在不同温度、光照条件下的稳定性,以及DPPH、ABTS+、OH自由基清除率评价体外抗氧化能力。结果表明,以甜菜碱和柠檬酸制备酸性低共熔溶剂,摩尔比1:2.1,含水量为28.6%,在微波功率800 W,微波时间28 s条件下,紫马铃薯花色苷含量可达到228.658±1.241 mg/100 g,较常规提取工艺含量提高了56.92%。此外通过低共熔溶剂提取所得花色苷在不同光照、温度条件下稳定性均显著提高。其中太阳光对紫马铃薯花色苷影响最大,避光情况下低共熔溶剂提取花色苷保存率可达90%以上,常规溶剂提取花色苷保存率为82.78%,此外,花色苷含量也随着温度的增加不断降低,二者保存率均明显下降。抗氧化能力结果表明,低共熔溶剂提取所得花色苷抗氧化能力更强,其清除自由基能力IC50值均小于常规溶剂提取。DPPH自由基清除能力IC50值从45.95 μg/mL降至41.54 μg/mL;ABTS+自由基清除能力IC50值从17.81 μg/mL至11.30 μg/mL;OH自由基清除能力IC50值从162.00 μg/mL至22.44 μg/mL。因此紫色马铃薯花色苷含量、稳定性和抗氧化活性与其提取溶剂的选择密切相关,本提取工艺的研究为紫马铃薯花色苷的利用开发提供了新思路。

     

    Abstract: The natural deep eutectic solvent (DES) was prepared by using betaine as hydrogen bond acceptor and organic acid, sugar group and alcohol group as hydrogen bond donor. Based on microwave-assisted extraction method, the extraction process of purple-fleshed potatoes anthocyanins (PPA) was optimized by single factor experiment combined with response surface analysis. The effects of microwave time, microwave power, solvent water content and solvent molar ratio on the extraction content of PPA were investigated. Moreover, the stability of PPA under different temperature and light conditions, and the free radical scavenging rates of DPPH, ABTS+ and OH were compared with conventional solvents to determine the antioxidant capacity in vitro. The results showed that the acidic deep eutectic solvent with betaine and citric acid (molar ratio of 1:2.1) and a water content of 28.6%, under the conditions of microwave power of 800 W and microwave time of 28 s, the extraction content of PPA could reach 228.658±1.241 mg/100 g, which was 56.92% higher than that of the conventional extraction process. In addition, the stability of PPA obtained by DES was significantly improved under different light and temperature conditions. The sunlight had the biggest effect on the PPA. The results showed that the preservation rate of PPA could reach more than 90% in the case of light avoidance, while the preservation rate of conventional solvent extraction was only 82.78%. Moreover, the content of anthocyanins would decrease continuously with the increase of temperature, and the preservation rate of both decreased significantly. Antioxidant capacity results demonstrated that the antioxidant capacity of PPA obtained from DES was stronger, and the values of IC50 for different radical scavenging capacity were less than the conventional solvent extraction. The IC50 values of DPPH radical scavenging capacity ranged from 45.95 μg/mL to 41.54 μg/mL, ABTS+ radical scavenging capacity IC50 values from 17.81 μg/mL to 11.30 μg/mL, OH radical scavenging capacity IC50 values from 162.00 μg/mL to 22.44 μg/mL. Therefore, the content, stability and antioxidant activity of PPA are closely related to the extraction solvent, and our extraction process provides a new idea for the utilization and development of purple-fleshed potatoes anthocyanins.

     

/

返回文章
返回