• 中国科技期刊卓越行动计划项目资助期刊
  • 中国精品科技期刊
  • 首都科技期刊卓越行动计划
  • EI
  • Scopus
  • CAB Abstracts
  • Global Health
  • 北大核心期刊
  • DOAJ
  • EBSCO
  • 中国核心学术期刊RCCSE A+
  • 中国科技核心期刊CSTPCD
  • JST China
  • FSTA
  • 中国农林核心期刊
  • 中国开放获取期刊数据库COAJ
  • CA
  • WJCI
  • 食品科学与工程领域高质量科技期刊分级目录第一方阵T1
中国精品科技期刊2020
邢艺缤,王馨悦,王慕尧,等. 人参不定根总皂苷的提取工艺优化及其抗氧化与抗疲劳作用J. 食品工业科技,2024,45(6):193−201. doi: 10.13386/j.issn1002-0306.2023050180.
引用本文: 邢艺缤,王馨悦,王慕尧,等. 人参不定根总皂苷的提取工艺优化及其抗氧化与抗疲劳作用J. 食品工业科技,2024,45(6):193−201. doi: 10.13386/j.issn1002-0306.2023050180.
XING Yibin, WANG Xinyue, WANG Muyao, et al. Process Optimization of Total Saponins from Adventitious Roots of Ginseng and Their Antioxidant and Anti-fatigue EffectsJ. Science and Technology of Food Industry, 2024, 45(6): 193−201. (in Chinese with English abstract). doi: 10.13386/j.issn1002-0306.2023050180.
Citation: XING Yibin, WANG Xinyue, WANG Muyao, et al. Process Optimization of Total Saponins from Adventitious Roots of Ginseng and Their Antioxidant and Anti-fatigue EffectsJ. Science and Technology of Food Industry, 2024, 45(6): 193−201. (in Chinese with English abstract). doi: 10.13386/j.issn1002-0306.2023050180.

人参不定根总皂苷的提取工艺优化及其抗氧化与抗疲劳作用

Process Optimization of Total Saponins from Adventitious Roots of Ginseng and Their Antioxidant and Anti-fatigue Effects

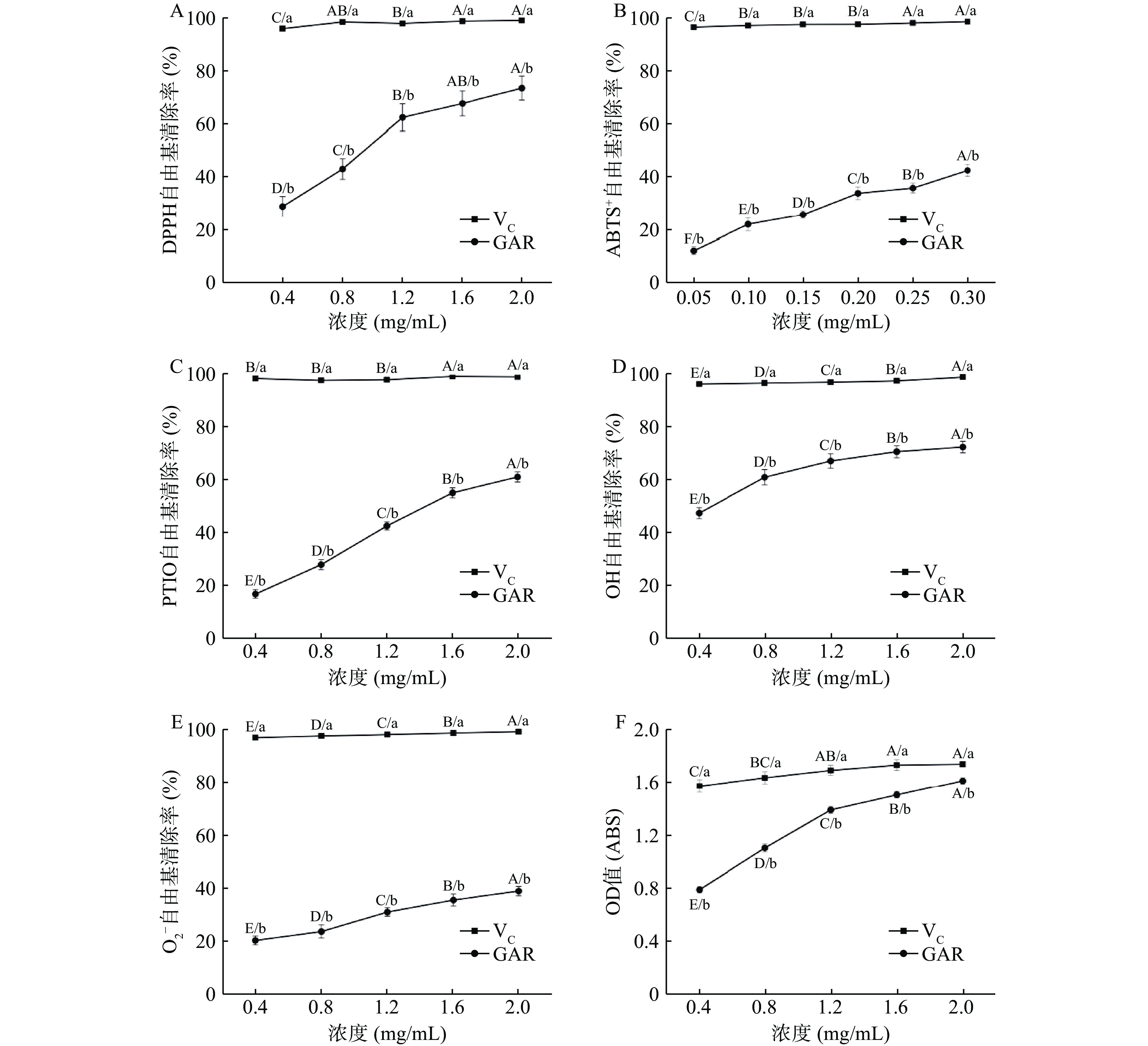
  • 摘要: 目的:探究人参不定根总皂苷(ginseng adventitious roots total saponins,GARS)的最佳提取工艺及抗氧化和抗疲劳作用。方法:利用乙醇回流法提取GARS,通过正交试验考察乙醇浓度、料液比、提取温度、提取时间对GARS含量的影响;以1,1-二苯基-2-三硝基苯肼(DPPH)、2,2-联氮-二(3-乙基-苯并噻唑-6-磺酸)二铵盐(ABTS+)、3-氧代-2-苯基-4,4,5,5-四甲基咪唑啉-1-氧(PTIO)、羟自由基(·OH)、超氧阴离子自由基(O2·)清除能力及还原力作为测定抗氧化活性指标;通过测定小鼠力竭游泳和爬杆时间,测定肌/肝糖原、乳酸(LD)、尿素氮(BUN)含量及乳酸脱氢酶(LDH)活性来判定GARS抗疲劳能力。结果:通过正交试验得到最佳提取工艺条件为乙醇浓度70%、料液比1:30 g/mL、提取温度70 ℃、提取时间40 min,得到GARS含量为107.85 mg/g;GARS对DPPH、ABTS+、PTIO、OH、O2自由基都有一定程度清除作用,且具有还原性,其清除能力和还原性与浓度呈正比;GARS能够显著延长小鼠力竭游泳和爬杆时间(P<0.05),显著增加肌/肝糖原含量(P<0.05),降低LD、BUN含量,提高LDH活性,并与其浓度呈正比。结论:GARS提取的最优条件为乙醇浓度70%、料液比1:30 g/mL、提取温度70 ℃、提取时间40 min,可为GARS产业化生产提供依据,且GARS具有一定的抗氧化和抗疲劳作用,可为明确人参不定根营养成分和活性物质提供理论支持,为开发人参不定根药食同源的相关产品提供技术参考。

     

    Abstract: Objective: To investigate the optimal extraction process and antioxidant and anti-fatigue activities of ginseng adventitious roots total saponins (GARS). Methods: GARS was extracted using ethanol reflux method, and the effects of different factors such as ethanol concentration, solvent-to-solid ratio, extraction temperature, and extraction time on the content of GARS were studied by orthogonal test. The antioxidant and anti-fatigue activities of GARS were determined by measuring the scavenging abilities of DPPH, ABTS+, PTIO, ·OH, and O2·, as well as the reducing power. The effects of GARS on the swimming and climbing times of mice, the contents of muscle/gallbladder glycogen, lactate (LD), and urea nitrogen (BUN) were determined to evaluate its anti-fatigue ability. Results: The optimal extraction conditions were ethanol concentration of 70%, solvent-to-solid ratio of 1:30 g/mL, extraction temperature of 70 ℃, and extraction time of 40 min, with a GARS content of 107.85 mg/g. GARS showed significant antioxidant and anti-fatigue activities, with its antioxidant and reducing power being positively correlated with its concentration. GARS significantly prolonged the swimming and climbing times of mice (P<0.05), increased the contents of muscle/gallbladder glycogen (P<0.05), decreased the levels of LD and BUN, and increased the activity of lactate dehydrogenase (LDH), indicating its anti-fatigue ability. Conclusion: The optimal extraction process of GARS was ethanol reflux method with ethanol concentration of 70%, solvent-to-solid ratio of 1:30 g/mL, extraction temperature of 70 ℃, and extraction time of 40 min. GARS showed significant antioxidant and anti-fatigue activities, which can support the development of ginseng adventitious roots as a food or health supplement ingredient.

     

/

返回文章
返回