• 中国科技期刊卓越行动计划项目资助期刊
  • 中国精品科技期刊
  • 首都科技期刊卓越行动计划
  • EI
  • Scopus
  • CAB Abstracts
  • Global Health
  • 北大核心期刊
  • DOAJ
  • EBSCO
  • 中国核心学术期刊RCCSE A+
  • 中国科技核心期刊CSTPCD
  • JST China
  • FSTA
  • 中国农林核心期刊
  • 中国开放获取期刊数据库COAJ
  • CA
  • WJCI
  • 食品科学与工程领域高质量科技期刊分级目录第一方阵T1
中国精品科技期刊2020
王佳男,王慧敏,章宝栗,等. 人参与蒲公英根配伍对大鼠“上火”症状的调节作用J. 食品工业科技,2024,45(10):300−307. doi: 10.13386/j.issn1002-0306.2023050182.
引用本文: 王佳男,王慧敏,章宝栗,等. 人参与蒲公英根配伍对大鼠“上火”症状的调节作用J. 食品工业科技,2024,45(10):300−307. doi: 10.13386/j.issn1002-0306.2023050182.
WANG Jianan, WANG Huimin, ZHANG Baoli, et al. Regulating Effect of Ginseng in Combination with Dandelion Root on Shanghuo Symptoms in RatsJ. Science and Technology of Food Industry, 2024, 45(10): 300−307. (in Chinese with English abstract). doi: 10.13386/j.issn1002-0306.2023050182.
Citation: WANG Jianan, WANG Huimin, ZHANG Baoli, et al. Regulating Effect of Ginseng in Combination with Dandelion Root on Shanghuo Symptoms in RatsJ. Science and Technology of Food Industry, 2024, 45(10): 300−307. (in Chinese with English abstract). doi: 10.13386/j.issn1002-0306.2023050182.

人参与蒲公英根配伍对大鼠“上火”症状的调节作用

Regulating Effect of Ginseng in Combination with Dandelion Root on Shanghuo Symptoms in Rats

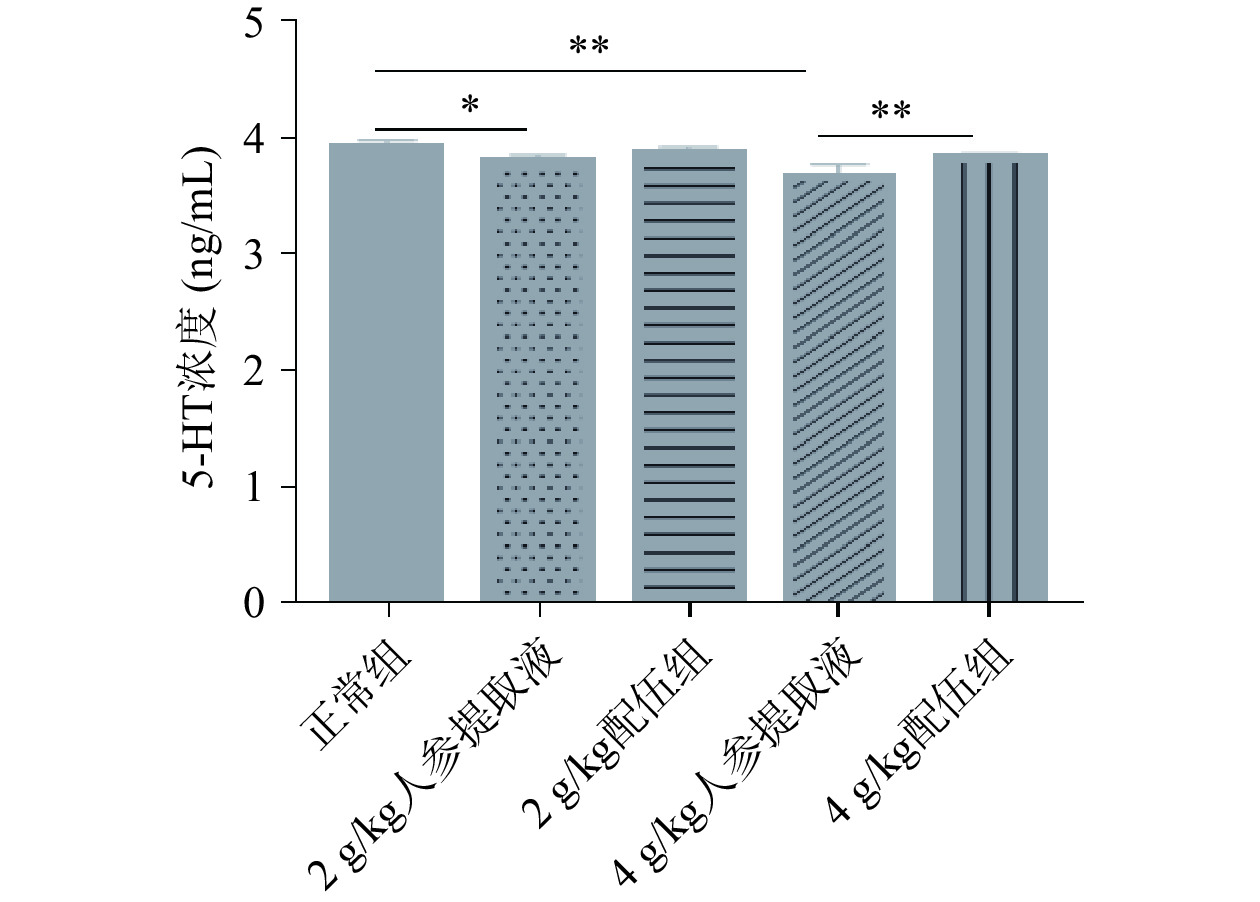
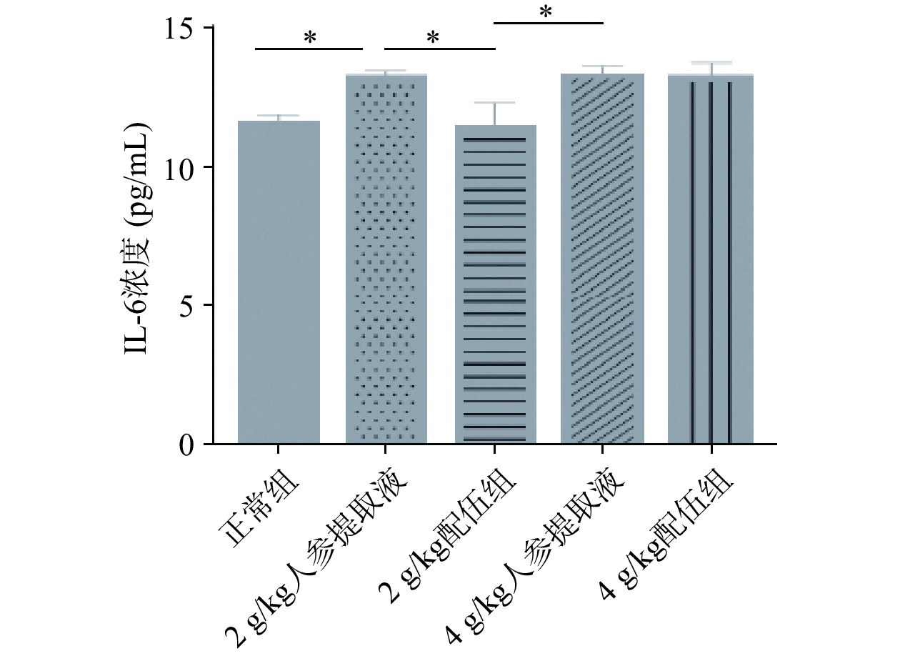
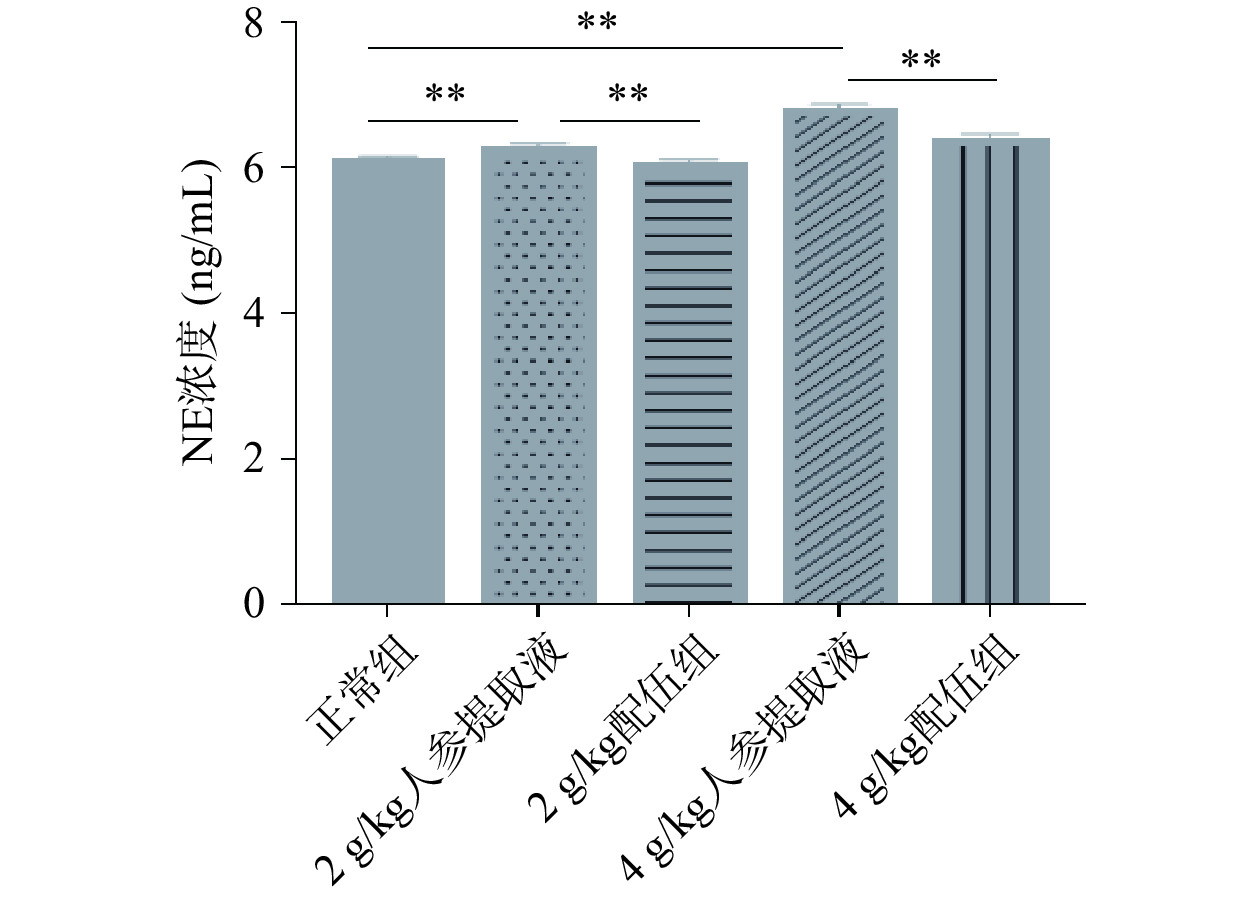
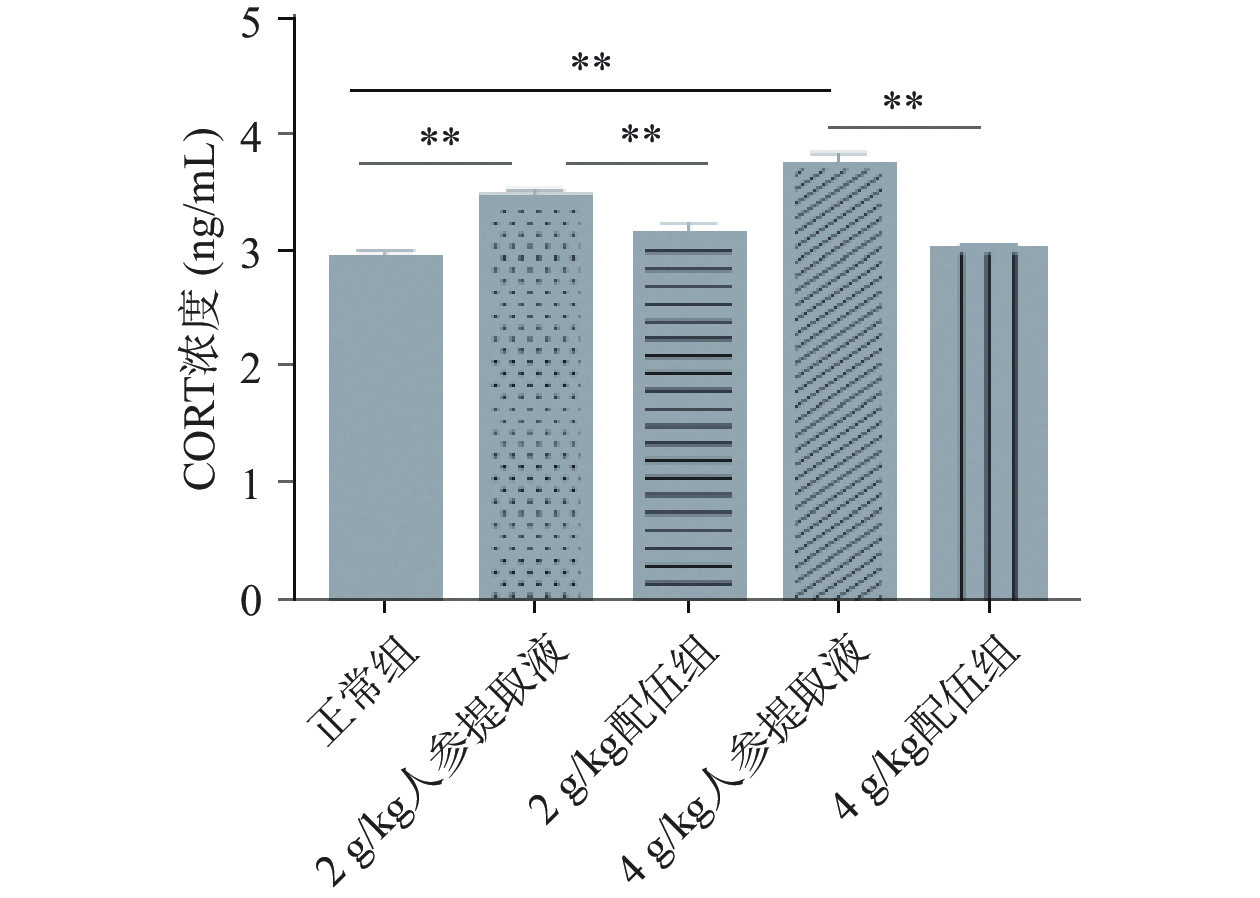
  • 摘要: 为改善食用人参出现的“上火”症状,提高人参的普适性,通过动物实验,分别设置正常组、2、4 g/kg人参组以及2、4 g/kg人参与蒲公英根配伍组进行灌胃19 d,测量体温、血压及血清中与“上火”相关联的5-羟色胺(5-HT)、促甲状腺激素(TSH)、皮质酮(CORT)等指标。结果表明,2、4 g/kg人参与蒲公英根配伍组体温及血压均低于人参组,其中4 g/kg配伍组效果更显著(P<0.05);与正常组比较,人参组5-HT含量下降,TSH、17-羟皮质类固醇(17-OHCS)、CORT、肿瘤坏死因子-α(TNF-α)含量升高,差异均有统计学意义(P<0.05);与人参组相比,2、4 g/kg人参与蒲公英根配伍组5-HT含量升高,TSH、17-OHCS、CORT、TNF-α含量下降,差异均有统计学意义(P<0.05)。由此表明,利用人参与蒲公英根配伍可提高人参和蒲公英根价值,调节食用人参引起的“上火”症状。

     

    Abstract: In order to improve the symptoms of "Shanghuo" and the universality of ginseng, the animals randomly divided into control group, the 2 and 4 g/kg ginseng group and ginseng dandelion root compatibility group were given intragastric administration for 19 days, respectively. Body temperature, blood pressure and 5-hydroxytryptamine (5-HT), thyroid-stimulating hormone (TSH), corticosterone (CORT) and other indicators associated with "Shanghuo" were measured. The results showed that the body temperature and blood pressure of the 2 and 4 g/kg groups were lower than those of the ginseng group, and the effect of the 4 g/kg group was more significant (P<0.05). Compared with the control group, the content of 5-HT in ginseng group decreased, and the contents of TSH, 17-hydroxy corticosteroid (17-OHCS), CORT, tumor necrosis factor-α (TNF-α) were significantly increased (P<0.05). Compared with ginseng group, the contents of 5-HT in the combination group of 2 and 4 g/kg ginseng and dandelion root compatibility group were increased, and the contents of TSH, 17-OHCS, CORT, TNF-α were significantly decreased (P<0.05). The results indicated that compatibility of ginseng and dandelion root could improve the value of ginseng and dandelion root, and regulate the symptoms of "Shanghuo" caused by ginseng consumption.

     

/

返回文章
返回