• 中国科技期刊卓越行动计划项目资助期刊
  • 中国精品科技期刊
  • 首都科技期刊卓越行动计划
  • EI
  • Scopus
  • CAB Abstracts
  • Global Health
  • 北大核心期刊
  • DOAJ
  • EBSCO
  • 中国核心学术期刊RCCSE A+
  • 中国科技核心期刊CSTPCD
  • JST China
  • FSTA
  • 中国农林核心期刊
  • 中国开放获取期刊数据库COAJ
  • CA
  • WJCI
  • 食品科学与工程领域高质量科技期刊分级目录第一方阵T1
中国精品科技期刊2020
李倩,廖嘉宁,魏媛,等. 基于网络药理学研究枸杞提取液对肠道致病菌的影响J. 食品工业科技,2024,45(2):12−20. doi: 10.13386/j.issn1002-0306.2023060070.
引用本文: 李倩,廖嘉宁,魏媛,等. 基于网络药理学研究枸杞提取液对肠道致病菌的影响J. 食品工业科技,2024,45(2):12−20. doi: 10.13386/j.issn1002-0306.2023060070.
LI Qian, LIAO Jianing, WEI Yuan, et al. Study on the Effect of Goji Berry Extract on Intestinal Pathogenic Bacteria Based on Network PharmacologyJ. Science and Technology of Food Industry, 2024, 45(2): 12−20. (in Chinese with English abstract). doi: 10.13386/j.issn1002-0306.2023060070.
Citation: LI Qian, LIAO Jianing, WEI Yuan, et al. Study on the Effect of Goji Berry Extract on Intestinal Pathogenic Bacteria Based on Network PharmacologyJ. Science and Technology of Food Industry, 2024, 45(2): 12−20. (in Chinese with English abstract). doi: 10.13386/j.issn1002-0306.2023060070.

基于网络药理学研究枸杞提取液对肠道致病菌的影响

Study on the Effect of Goji Berry Extract on Intestinal Pathogenic Bacteria Based on Network Pharmacology

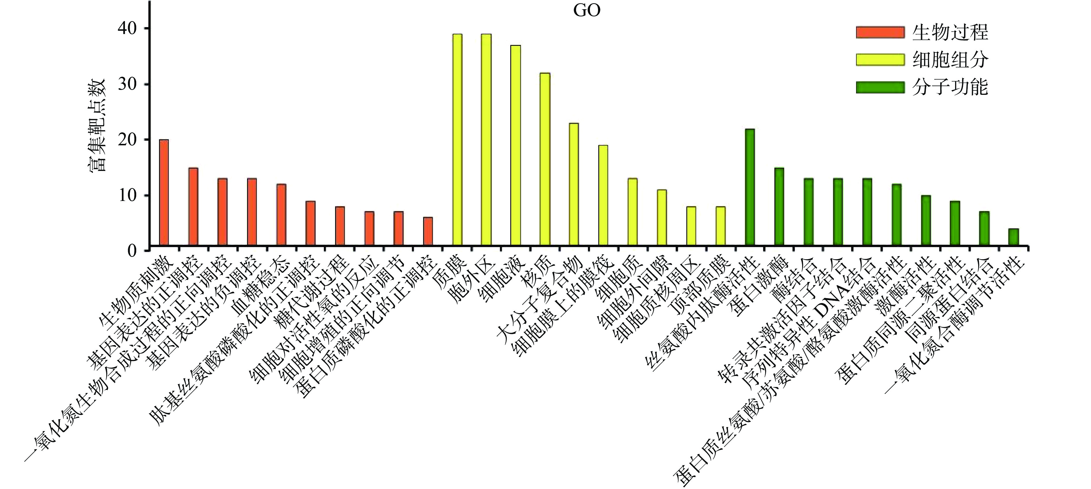
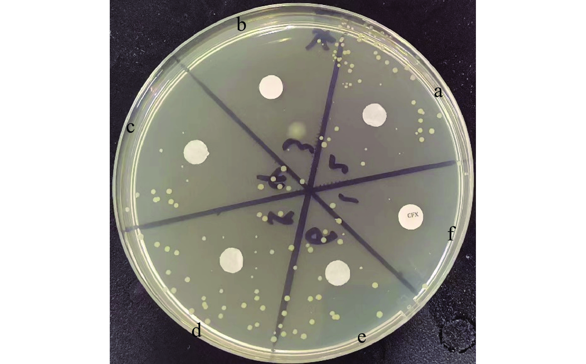
  • 摘要: 目的:采用网络药理学分析方法研究枸杞的抑菌作用机制,并进行体外抑菌实验验证。方法:用中药系统药理学在线分析数据库TCMSP筛选出枸杞活性成分及其作用靶点。 以“抑菌”为关键词在GeneCards、DisGeNET数据库检索相关靶点。通过Venny平台获取枸杞和抑菌的交集靶点。使用STRING数据库结合Cytoscape软件构建PPI网络并筛选关键靶点。运用Metascape数据库进行GO功能富集和KEGG通路富集分析。枸杞经过80%乙醇提取,浓缩至浸膏,分别用石油醚、二氯甲烷、乙酸乙酯和正丁醇萃取,得到枸杞的不同极性部位,用滤纸片法测定枸杞不同极性部位的抑菌作用。结果:共筛选到活性成分26个,药物潜在靶点368个,抑菌靶点2212个,药物与抑菌作用交集靶点73个。蛋白互作网络分析显示TNF、AKT1、EGFR、HSP90AA1、PTGS2、PPARG等69个蛋白可能是枸杞抑菌作用的关键靶点。GO富集分析显示枸杞抑菌主要通过对外源性刺激的反应、基因表达正调控、一氧化氮生物合成过程的正向调控等。KEGG分析表明枸杞的抑菌可能与癌症信号通路、C型凝集素受体信号通路、脂质与动脉粥样硬化等信号通路有关。体外抑菌实验结果显示,枸杞提取物的不同极性部位对金黄色葡萄球菌和大肠杆菌均有抑制作用,乙酸乙酯部位对大肠杆菌的抑制作用最强,正丁醇部位对金黄色葡萄球菌的抑制作用最强。乙酸乙酯部位对大肠杆菌的最低抑菌浓度为0.125 mg/mL,正丁醇部位对金黄色葡萄球菌的最低抑菌浓度为0.25 mg/mL。结论:枸杞提取液对金黄色葡萄球菌和大肠大肠杆菌有抑制作用。枸杞可以通过多成分、多靶点、多通路的作用机制发挥抑菌作用。

     

    Abstract: Objective: To study the antibacterial mechanism of Goji berry by network pharmacological analysis method, and to verify the antibacterial experiment in vitro. Methods: The active components and targets of Goji berries were screened out by TCMSP, an online analysis database of traditional Chinese medicine system, and the relevant targets were searched by GeneCards and DisGeNET databases with "bacteriostatic" as the keyword. The intersection target of Goji berry and bacteriostatic was obtained through the Venny platform. The STRING database was used to construct PPI network diagrams and screen key targets in combination with Cytoscape software. GO function enrichment and KEGG pathway enrichment analysis were performed through the Metascape database. Goji berries were extracted from 80% ethanol and concentrated to extract, and the extracts of Goji berries were extracted by petroleum ether, dichloromethane, ethyl acetate and n-butanol to obtain different polar parts, and the bacteriostatic effect of different polar parts of Goji berries was determined by filter paper sheet method. Results: A total of 26 active ingredients, 368 potential drug targets, 2212 bacteriostatic targets, and 73 intersection targets of drug and bacteriostatic effect were screened. Protein interaction network analysis showed that 69 proteins, including TNF, AKT1, EGFR, HSP90AA1, PTGS2, and PPARG, might be the key targets of the bacteriostatic effect of Goji berry. GO enrichment analysis indicated that Goji berry bacteriostatic were obtained, mainly by affecting response to xenobiotic stimulus, positive regulation of gene expression, and positive regulation of nitric oxide biosynthesis process, etc. KEGG enrichment analysis showed that the antibacterial mechanism of Goji berry might be related to the pathway in cancer, C-type lectin receptor signaling pathway, lipid and atherosclerosis, etc. The results of antibacterial experiment in vitro showed that the different polar part of Goji berry extract had inhibitory effects on Staphylococcus aureus and Escherichia coli, and ethyl acetate site had the strongest inhibitory effect on Escherichia coli, and n-butanol site had the strongest inhibitory effect on Staphylococcus aureus. The minimum inhibitory concentration of ethyl acetate against Escherichia coli was 0.125 mg/mL, and the minimum inhibitory concentration of n-butanol against Staphylococcus aureus was 0.25 mg/mL. Conclusion: The extract of Goji berry could inhibit Staphylococcus aureus and Escherichia coli. Goji berry would play a role in antibacterial effect by multi-component, multi-target and multi-pathway mechanism of action.

     

/

返回文章
返回