• 中国科技期刊卓越行动计划项目资助期刊
  • 中国精品科技期刊
  • EI
  • Scopus
  • CAB Abstracts
  • Global Health
  • 北大核心期刊
  • DOAJ
  • EBSCO
  • 中国核心学术期刊RCCSE A+
  • 中国科技核心期刊CSTPCD
  • JST China
  • FSTA
  • 中国农林核心期刊
  • 中国开放获取期刊数据库COAJ
  • CA
  • WJCI
  • 食品科学与工程领域高质量科技期刊分级目录第一方阵T1
中国精品科技期刊2020
杜长婷,黄峰,陈旭华,等. 冷冻青椒护绿保硬工艺优化[J]. 食品工业科技,2024,45(7):235−243. doi: 10.13386/j.issn1002-0306.2023060082.
引用本文: 杜长婷,黄峰,陈旭华,等. 冷冻青椒护绿保硬工艺优化[J]. 食品工业科技,2024,45(7):235−243. doi: 10.13386/j.issn1002-0306.2023060082.
DU Changting, HUANG Feng, CHEN Xuhua, et al. Optimization of Green and Hardness Protection Technology of Frozen Green Pepper[J]. Science and Technology of Food Industry, 2024, 45(7): 235−243. (in Chinese with English abstract). doi: 10.13386/j.issn1002-0306.2023060082.
Citation: DU Changting, HUANG Feng, CHEN Xuhua, et al. Optimization of Green and Hardness Protection Technology of Frozen Green Pepper[J]. Science and Technology of Food Industry, 2024, 45(7): 235−243. (in Chinese with English abstract). doi: 10.13386/j.issn1002-0306.2023060082.

冷冻青椒护绿保硬工艺优化

Optimization of Green and Hardness Protection Technology of Frozen Green Pepper

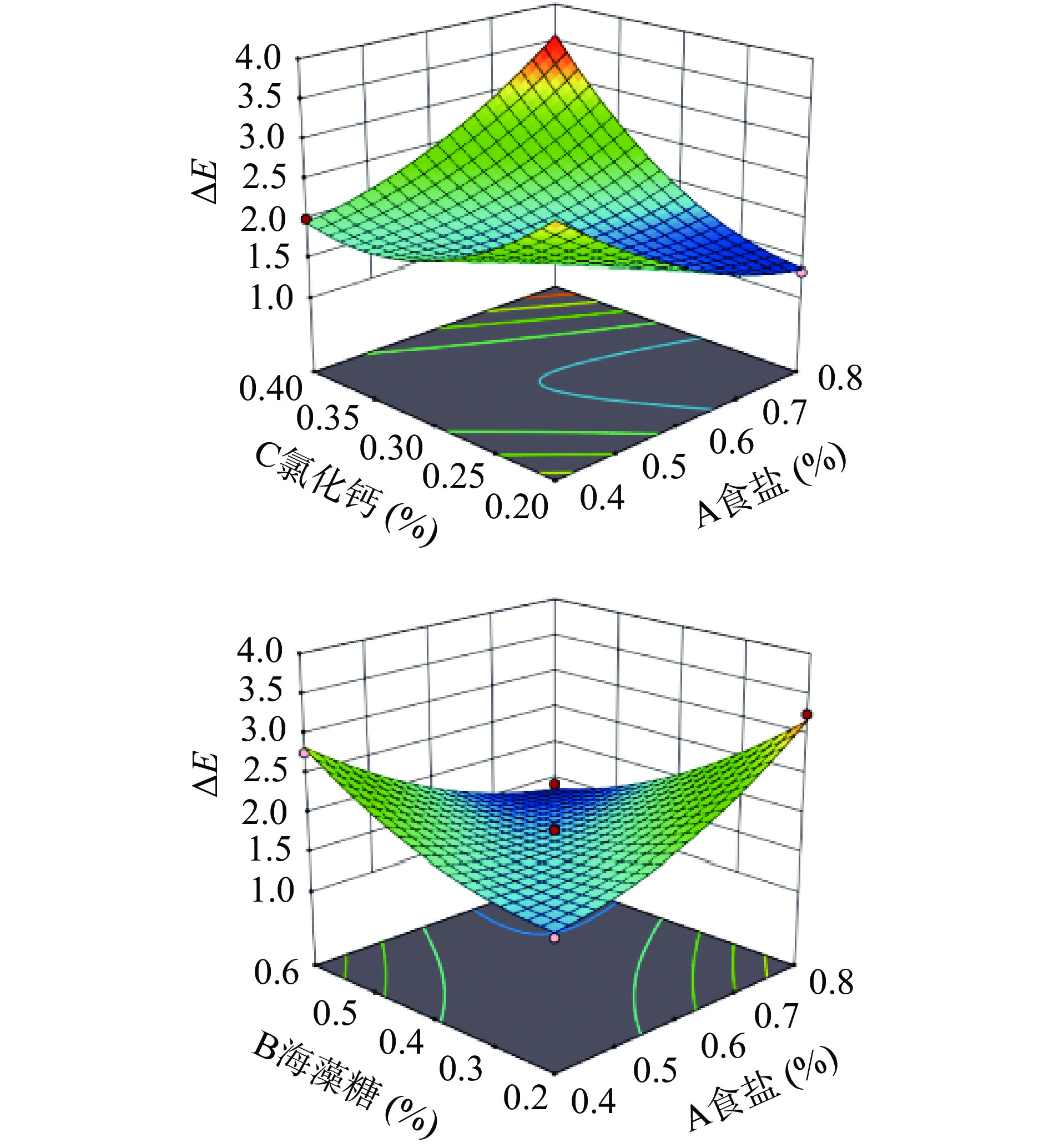
  • 摘要: 为改善青椒类菜肴在冷冻/解冻过程中易发生的褐变和组织软化等问题,本研究利用食盐、海藻糖、氯化钙对解冻青椒进行处理,测定解冻青椒硬度、汁液流失率、叶绿素含量、感官评价以及微观结构来验证工艺护绿保硬效果。通过单因素实验筛选了食盐、海藻糖、氯化钙的最佳使用范围,并利用响应面试验优化最佳工艺。结果表明,青椒护绿保硬最佳工艺为:青椒100 ℃漂烫5 s,漂烫液的食盐质量分数为0.50%;冷水浸泡15 min,浸泡液中海藻糖质量分数0.51%,氯化钙质量分数0.25%。在此工艺条件下,与对照组相比,处理组青椒色差值降低3.98,硬度提高了20.37%,汁液流失率降低了40.29%,叶绿素含量和感官评分分别提高了102.70%和88%。通过扫描电镜图可以发现,经过处理的青椒细胞壁较完整,保持了较好的细胞结构。此工艺能有效维持青椒解冻后色泽和口感,可为冷冻青椒预制菜护绿保硬技术研究提供数据支撑。

     

    Abstract: To diminish the browning and tissue softening issues of green pepper dishes in the freezing/thawing processes, salt, trehalose and calcium chloride were used to treat thawed green peppers, and the hardness, drip loss rate, chlorophyll content, sensory evaluation and microstructure of thawed green peppers were measured to verify the effect of process green protection and hard preservation. A single factor experiment was used to screen the optimum range of each factor and response surface methodology was chosen to obtain the optimum process parameter combination. Results showed that the optimum process for protecting green and hardness properties of green pepper was as follows: Blanching green pepper at 100 ℃ for 5 s, the mass fraction of salt in the blanching solution was 0.50%, immersed in cold water for 15 min, the mass fraction of trehalose was 0.51%, and the mass fraction of calcium chloride was 0.25%. Under this process condition, compared with the control group, the color difference of green pepper in the treatment group was reduced by 3.98, the hardness was increased by 20.37%, the juice loss rate was decreased by 40.29%, the chlorophyll content and sensory score were increased by 102.70% and 88%, respectively. Through the scanning electron microscopy, it was found that the treated green pepper cell wall was more complete and maintained a better cell structure. This process can effectively maintain the color and taste of green pepper after thawing, which can provide data support for the research of green and hardness preservation technology of frozen green pepper prefabricated vegetables.

     

/

返回文章
返回