• 中国科技期刊卓越行动计划项目资助期刊
  • 中国精品科技期刊
  • 首都科技期刊卓越行动计划
  • EI
  • Scopus
  • CAB Abstracts
  • Global Health
  • 北大核心期刊
  • DOAJ
  • EBSCO
  • 中国核心学术期刊RCCSE A+
  • 中国科技核心期刊CSTPCD
  • JST China
  • FSTA
  • 中国农林核心期刊
  • 中国开放获取期刊数据库COAJ
  • CA
  • WJCI
  • 食品科学与工程领域高质量科技期刊分级目录第一方阵T1
中国精品科技期刊2020
黄千千,陈丽君,李韵唱,等. 叶绿素对叶黄素生物可给率的影响J. 食品工业科技,2024,45(5):108−117. doi: 10.13386/j.issn1002-0306.2023070007.
引用本文: 黄千千,陈丽君,李韵唱,等. 叶绿素对叶黄素生物可给率的影响J. 食品工业科技,2024,45(5):108−117. doi: 10.13386/j.issn1002-0306.2023070007.
HUANG Qianqian, CHEN Lijun, LI Yunchang, et al. Effect of Chlorophylls on the Bioaccessibility of LuteinJ. Science and Technology of Food Industry, 2024, 45(5): 108−117. (in Chinese with English abstract). doi: 10.13386/j.issn1002-0306.2023070007.
Citation: HUANG Qianqian, CHEN Lijun, LI Yunchang, et al. Effect of Chlorophylls on the Bioaccessibility of LuteinJ. Science and Technology of Food Industry, 2024, 45(5): 108−117. (in Chinese with English abstract). doi: 10.13386/j.issn1002-0306.2023070007.

叶绿素对叶黄素生物可给率的影响

Effect of Chlorophylls on the Bioaccessibility of Lutein

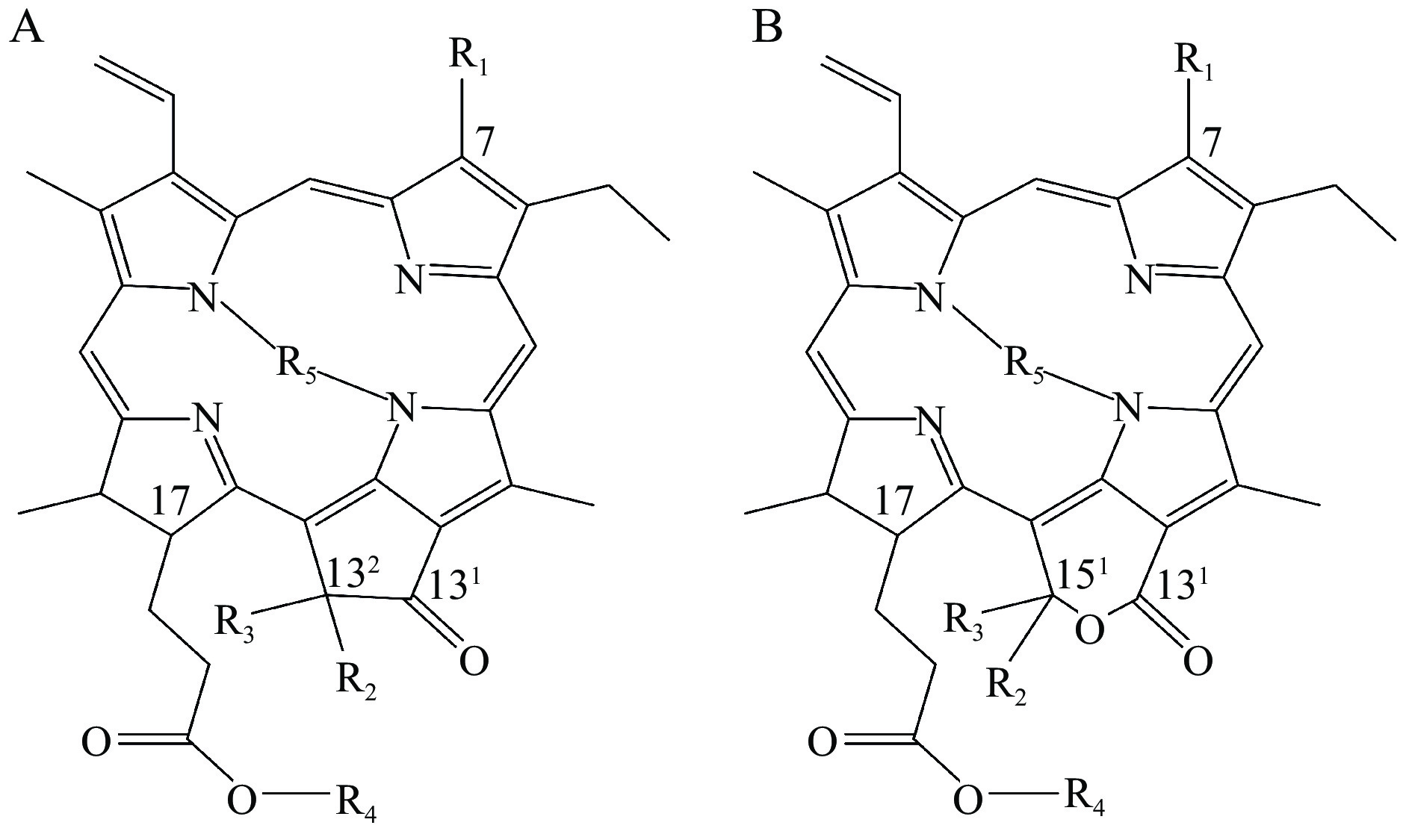
  • 摘要: 叶黄素具有多种生理活性,它在人体内不能合成,只能从外界获取,但叶黄素因其脂溶性的特点导致生物可给率低,如何高效补充叶黄素成为研究热点。叶绿素常与叶黄素共同出现在人类饮食中,且二者均为脂溶性物质,会产生一定的相互作用。因此研究膳食叶绿素及其结构变化对叶黄素生物可给率的影响具有重要意义。通过制备膳食中常见的8种不同结构的叶绿素(叶绿素a和b、脱镁叶绿素a和b、脱植基叶绿素a和b、脱镁叶绿酸a和b),采用体外静态消化模型和胶束化实验研究它们对叶黄素生物可给率的影响,并测定叶黄素和叶绿素形成的混合胶束粒径和电位的变化。结果表明,在共消化时不同结构的叶绿素能够显著提高叶黄素的回收率和生物可给率(P<0.05),其中脱镁叶绿素b的作用最为显著,所对应的叶黄素回收率和生物可给率分别为90.48%和80.44%。在消化过程中,未检测到明显的叶黄素降解产物,而叶绿素的结构则发生了明显的变化。通过消化物和胶束的平均粒径、荧光图像以及Zeta电位值可以确定胶束液体系比消化液体系更稳定,并且叶绿素可以通过与叶黄素形成复合物来保护叶黄素。本研究对如何提高叶黄素的生物可给率及消化利用性能具有一定的指导意义。

     

    Abstract: Lutein has a variety of physiological activities, which can not be synthesized by human body and can only be obtained through diet. Dietary lutein shows low bioaccessibility due to its lipo-soluble nature and thus the efficient supplementation of lutein has become a research hotspot. Chlorophylls, another type of lipo-soluble phytochemicals, are always ingested along with lutein in human diet where interaction between chlorophylls and lutein may occur. Therefore, it is of great significance to study the effect of dietary chlorophylls compounds and their structural changes on the bioaccessibility of lutein. Based on this, in this paper, eight different structures of chlorophylls (chlorophyll a, chlorophyll b, pheophytin a, pheophytin b, chlorophyllide a, chlorophyllide b, pheophorbide a and pheophorbide b) were prepared, and their effects on lutein bioaccessibility and related indexes were studied by in vitro static digestion model and micellization investigations. Changes of particle size and zeta-potential of mixed micelles formed by lutein and chlorophylls were also determined. The results showed that all the chlorophylls structures significantly improved the recovery rate and bioaccessibility (P<0.05) from in vitro digestion of lutein. Among them, pheophytin b exerted the most significant influence, with the corresponding recovery rate and bioaccessibility index of lutein being 90.48% and 80.44%, respectively. During digestion, no significant lutein degradation products were detected, while the structures of chlorophylls underwent significant changes. It could be found that the micellar fraction was more stable than the digesta fraction by the comparison of average particle size, fluorescence images and zeta potential value. Chlorophylls could protect lutein from degradation during in vitro digestion by forming some complex. This study provided important information on how to improve the bioaccessibility and digestion and utilization performance of dietary lutein.

     

/

返回文章
返回