• 中国科技期刊卓越行动计划项目资助期刊
  • 中国精品科技期刊
  • EI
  • Scopus
  • CAB Abstracts
  • Global Health
  • 北大核心期刊
  • DOAJ
  • EBSCO
  • 中国核心学术期刊RCCSE A+
  • 中国科技核心期刊CSTPCD
  • JST China
  • FSTA
  • 中国农林核心期刊
  • 中国开放获取期刊数据库COAJ
  • CA
  • WJCI
  • 食品科学与工程领域高质量科技期刊分级目录第一方阵T1
中国精品科技期刊2020
张红建,刘帅光,马泽威,等. 自然发酵对青金桔酚类物质及其抑制消化相关酶活性的影响[J]. 食品工业科技,2024,45(9):1−10. doi: 10.13386/j.issn1002-0306.2023070026.
引用本文: 张红建,刘帅光,马泽威,等. 自然发酵对青金桔酚类物质及其抑制消化相关酶活性的影响[J]. 食品工业科技,2024,45(9):1−10. doi: 10.13386/j.issn1002-0306.2023070026.
ZHANG Hongjian, LIU Shuaiguang, MA Zewei, et al. Analysis of Phenolic Substances in Citrus microcarpa with Nature Fermentation and Evaluation of Its Inhibitory Activites on Digestion-related Enzymes[J]. Science and Technology of Food Industry, 2024, 45(9): 1−10. (in Chinese with English abstract). doi: 10.13386/j.issn1002-0306.2023070026.
Citation: ZHANG Hongjian, LIU Shuaiguang, MA Zewei, et al. Analysis of Phenolic Substances in Citrus microcarpa with Nature Fermentation and Evaluation of Its Inhibitory Activites on Digestion-related Enzymes[J]. Science and Technology of Food Industry, 2024, 45(9): 1−10. (in Chinese with English abstract). doi: 10.13386/j.issn1002-0306.2023070026.

自然发酵对青金桔酚类物质及其抑制消化相关酶活性的影响

Analysis of Phenolic Substances in Citrus microcarpa with Nature Fermentation and Evaluation of Its Inhibitory Activites on Digestion-related Enzymes

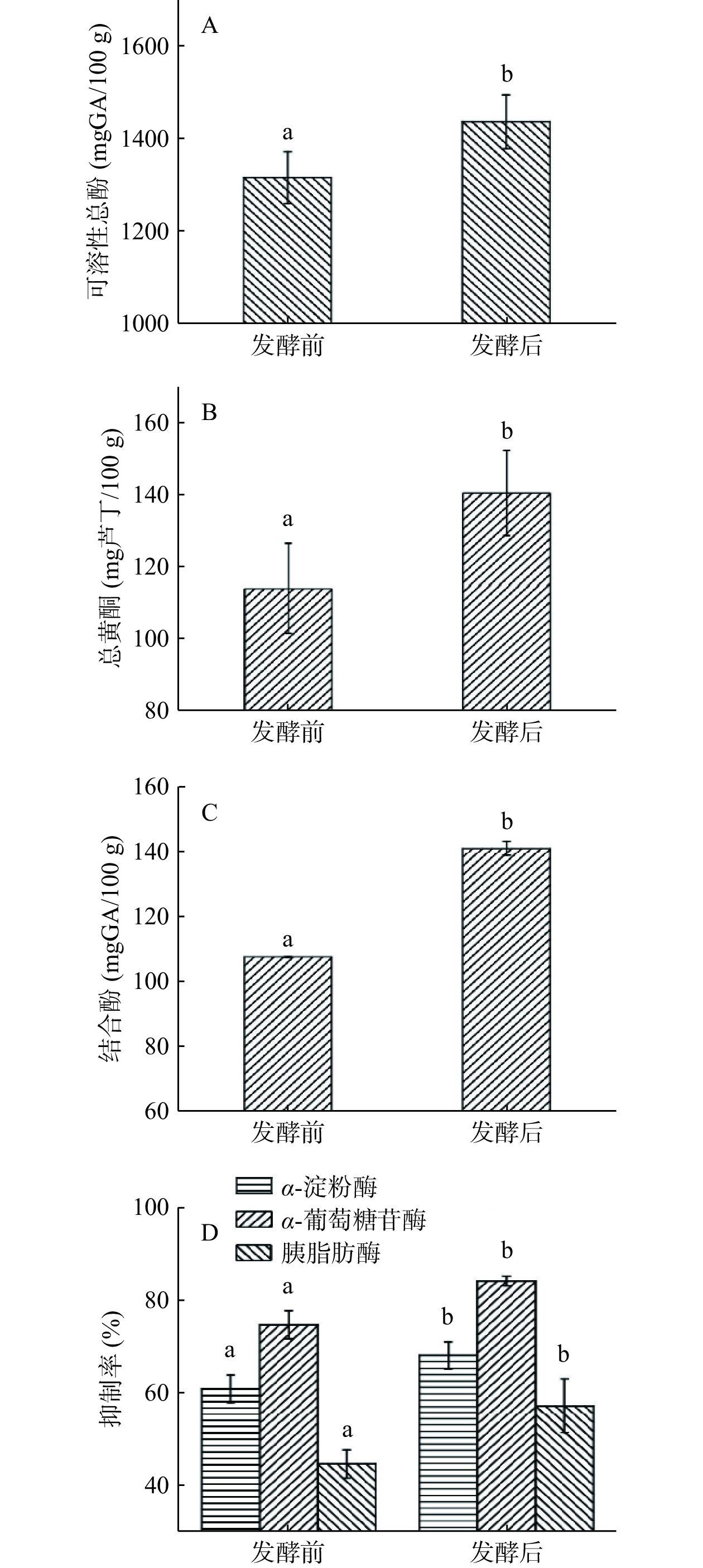
  • 摘要: 为了解自然发酵对青金桔酚类物质变化及抑制消化相关酶活性的影响,本研究测定了发酵前后青金桔可溶性总酚、总黄酮及α-淀粉酶、α-葡萄糖苷酶及胰脂肪酶抑制率等变化情况,基于超高效液相色谱-四极杆/静电场轨道阱傅里叶转换联用质谱仪鉴定了发酵前后酚类物质的种类,筛选了发酵前后酚类差异代谢物及其富集通路。最后,基于相关系数分析了酚类差异代谢物对抑制以上消化相关酶活性的相关性。结果表明:自然发酵可使青金桔中可溶性总酚、总黄酮含量分别提升9.20%、23.68%,α-淀粉酶、α-葡萄糖苷酶及胰脂肪酶抑制率提升11.90%~28.50%;青金桔中共检测到酚类物质52种,发酵未改变酚类物质种类,但可使川陈皮素、咖啡酸、牡荆素等9种酚类物质显著增加,甲氧沙林显著降低(P<0.01),显著影响以上酚类差异代谢物变化的通路有苯丙烷类化合物的生物合成通路、黄酮和黄酮醇生物合成通路、类黄酮生物合成通路及多种次生代谢产物的生物合成Ⅰ通路;川陈皮素、芹菜素、咖啡酸、山奈酚这4种酚类差异代谢物与抑制以上三种消化相关酶活性呈显著正相关(P<0.05)。因此,自然发酵可促进青金桔中可溶性总酚、总黄酮释放,提升消化相关酶抑制活性,其可作为青金桔加工的一种有效手段。

     

    Abstract: To understand the effects of natural fermentation on the changes of phenolic substances in Citrus microcarpa and the inhibition of digestive enzymes, the changes of soluble total phenol, total flavone, α-amylase, α-glucosidase, and pancreatic lipase inhibition rates before and after fermentation were measured. The types of phenolic substances before and after fermentation were identified by UPLC-Q Exactive Orbitrap-MS, and the differential metabolites and their enrichment pathways were screened. Finally, the correlation relationships between the different phenolic metabolites and the inhibitory activities of the above digestion-related enzymes were analyzed based on the correlation coefficient. The results showed that natural fermentation could increase the contents of soluble total phenol and total flavone by 9.20% and 23.68%, respectively, and increase the inhibition rates of α-amylase, α-glucosidase and pancreatic lipase from 11.90% to 28.50%. A total of 52 phenolic substances were detected in Citrus microcarpa. Fermentation did not change the types of phenolic substances, but it significantly increased nine phenolic substances such as nobiletin, caffeic acid, and vitexin, and significantly decreased methoxsarin (P<0.01). The four kinds of pathways significantly affected the change of the above phenolic metabolites, including the biosynthetic pathway of phenylpropane compounds, flavone and flavonol biosynthesis, flavonoid biosynthesis, biosynthesis Ⅰ pathway of various plant secondary metabolites. There was a significant positive correlation between the inhibitory activities of three digestive enzymes and the four different phenolic metabolites, which were nobiletin, apigenin, caffeic acid, and kaempferol (P<0.05). Therefore, natural fermentation can promote the release of soluble total phenol and total flavone in Citrus microcarpa and improve the inhibition rate of digestion-related enzymes, which can be used to effectively process Citrus microcarpa.

     

/

返回文章
返回