• 中国科技期刊卓越行动计划项目资助期刊
  • 中国精品科技期刊
  • EI
  • Scopus
  • CAB Abstracts
  • Global Health
  • 北大核心期刊
  • DOAJ
  • EBSCO
  • 中国核心学术期刊RCCSE A+
  • 中国科技核心期刊CSTPCD
  • JST China
  • FSTA
  • 中国农林核心期刊
  • 中国开放获取期刊数据库COAJ
  • CA
  • WJCI
  • 食品科学与工程领域高质量科技期刊分级目录第一方阵T1
中国精品科技期刊2020
权煜,刘学强,赵丹丹,等. 超声辅助提取油莎豆油的工艺优化及品质分析[J]. 食品工业科技,2024,45(10):207−216. doi: 10.13386/j.issn1002-0306.2023070077.
引用本文: 权煜,刘学强,赵丹丹,等. 超声辅助提取油莎豆油的工艺优化及品质分析[J]. 食品工业科技,2024,45(10):207−216. doi: 10.13386/j.issn1002-0306.2023070077.
QUAN Yu, LIU Xueqiang, ZHAO Dandan, et al. Process Optimization and Quality Research of Oil Extraction from Tiger Nut (Cyperus esculentus L.) Using Ultrasonic-assisted Extraction[J]. Science and Technology of Food Industry, 2024, 45(10): 207−216. (in Chinese with English abstract). doi: 10.13386/j.issn1002-0306.2023070077.
Citation: QUAN Yu, LIU Xueqiang, ZHAO Dandan, et al. Process Optimization and Quality Research of Oil Extraction from Tiger Nut (Cyperus esculentus L.) Using Ultrasonic-assisted Extraction[J]. Science and Technology of Food Industry, 2024, 45(10): 207−216. (in Chinese with English abstract). doi: 10.13386/j.issn1002-0306.2023070077.

超声辅助提取油莎豆油的工艺优化及品质分析

Process Optimization and Quality Research of Oil Extraction from Tiger Nut (Cyperus esculentus L.) Using Ultrasonic-assisted Extraction

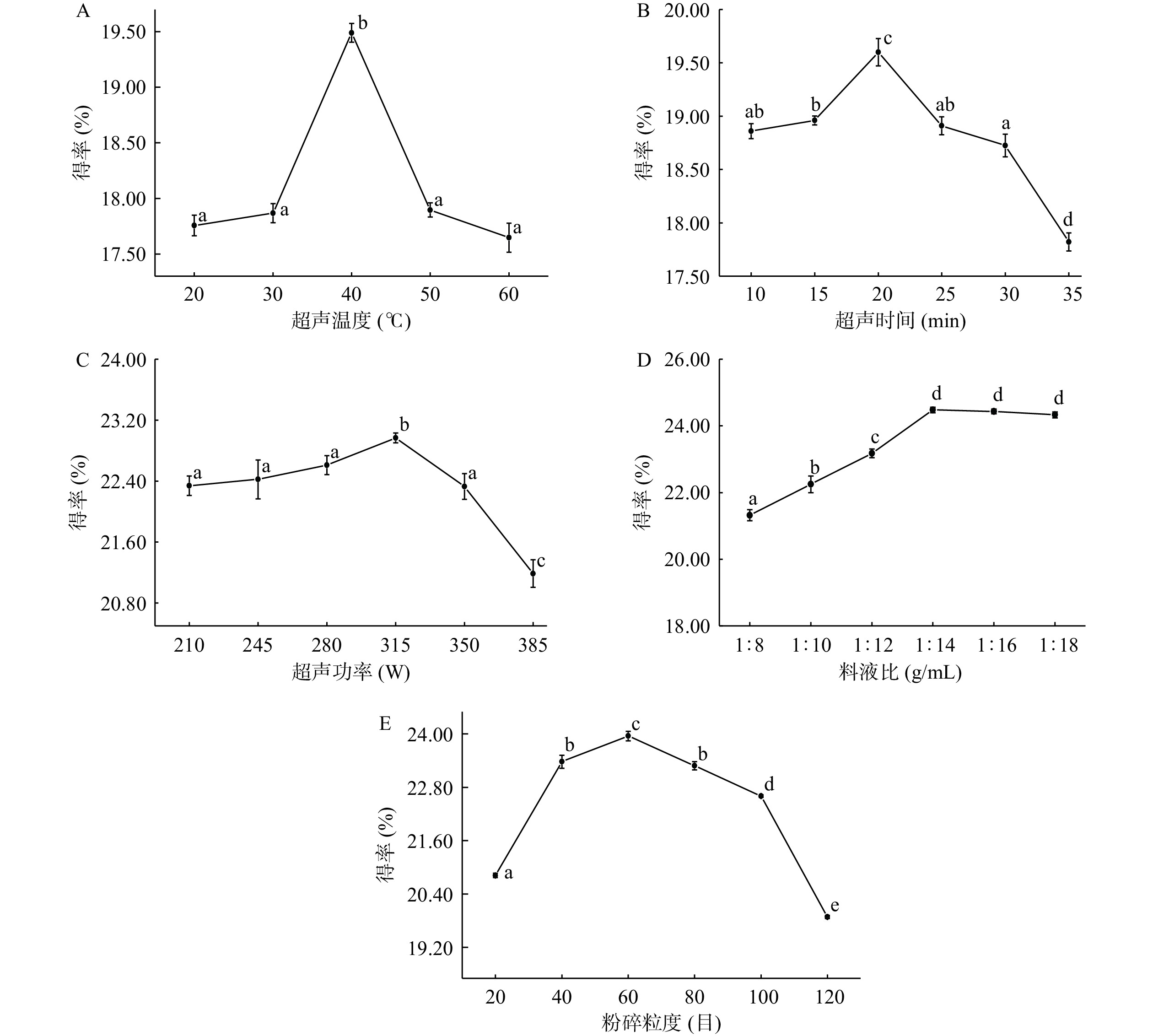
  • 摘要: 为提高油莎豆油的得率且保证成品品质,本研究采用超声辅助正己烷法对油莎豆油的提取工艺进行响应面试验优化,确定最优提取条件后对油莎豆油品质进行分析。在油的品质研究中,采用25 ℃(常温)、47 ℃(超声辅助提取最佳温度)、60 ℃(高温)三个温度对比超声作用对油样中总酚含量、总黄酮含量、1, 1-二苯基-2-三硝基苯肼(1,1-diphenyl-2-picrylhydrazyl,DPPH)自由基清除率、脂肪酸组成及含量的影响。结果表明:脱皮油莎豆研磨后在料液比1:15 (g/mL)、超声时间20 min、超声温度47 ℃、粉碎粒度70目时,油莎豆油的得率为25.01%±0.03%,油样为黄橙色微浊状态,具有豆类特有的香气。油莎豆油对DPPH自由基有一定的清除作用,超声可更好地溶出油莎豆中的营养物质,但对油莎豆中黄酮类物质的破坏效应相对较大,酚酸类物质在高温时含量显著(P<0.05)下降。在25~60 ℃间超声作用和温度的变化对脂肪酸的种类和含量的影响不大,油酸(C18:1)含量最高,约为73.81%~74.00%。本试验结果可以为油莎豆油脂的开发利用提供一定基础和理论依据。

     

    Abstract: In order to improve the yield and quality of tiger nut oil, the strategy of ultrasonic-assisted n-hexane was studied by response surface methodology. In this study, the total phenolic content, total flavonoid content, free radical scavenging rate, fatty acid composition, and 1,1-diphenyl-2-trinitrophenylhydrazine (DPPH) clearance rate in oil samples were investigated at three temperatures including 25 ℃ (room temperature), 47 ℃ (optimal temperature for ultrasound assisted extraction), and 60 ℃ (high temperature). The results showed that a high tiger nut oil extraction yield of 25.01%±0.03% was obtained at a solid-liquid ratio of 1:15 (g/mL), ultrasonic time of 20 min, ultrasonic temperature of 47 ℃, and particle size of 70 mesh. The obtained oil sample was yellow-orange and slightly turbid with a unique aroma of beans. Besides, tiger nut oil had a certain scavenging effect on DPPH free radicals. Ultrasound could better dissolve the nutrients in tiger nut, but it had a large destruction effect on tiger nut flavonoids, while the content of phenolic acids significantly (P<0.05) decreased at high temperatures. Ultrasonic treatment and temperature showed slight effect on the types and contents of fatty acids between 25 ℃ and 60 ℃, and the highest content of oleic acid (C18:1) was about 73.81%~74.00%. These results provide a theoretical basis for the development and utilization of oil from tiger nut.

     

/

返回文章
返回