• 中国科技期刊卓越行动计划项目资助期刊
  • 中国精品科技期刊
  • 首都科技期刊卓越行动计划
  • EI
  • Scopus
  • CAB Abstracts
  • Global Health
  • 北大核心期刊
  • DOAJ
  • EBSCO
  • 中国核心学术期刊RCCSE A+
  • 中国科技核心期刊CSTPCD
  • JST China
  • FSTA
  • 中国农林核心期刊
  • 中国开放获取期刊数据库COAJ
  • CA
  • WJCI
  • 食品科学与工程领域高质量科技期刊分级目录第一方阵T1
中国精品科技期刊2020
陈志云,李杰,冯雨,等. 茶多酚生物活性及作用机制研究进展J. 食品工业科技,2024,45(13):333−341. doi: 10.13386/j.issn1002-0306.2023070168.
引用本文: 陈志云,李杰,冯雨,等. 茶多酚生物活性及作用机制研究进展J. 食品工业科技,2024,45(13):333−341. doi: 10.13386/j.issn1002-0306.2023070168.
CHEN Zhiyun, LI Jie, FENG Yu, et al. Research Progress on Bioactivity and Mechanism of Tea PolyphenolsJ. Science and Technology of Food Industry, 2024, 45(13): 333−341. (in Chinese with English abstract). doi: 10.13386/j.issn1002-0306.2023070168.
Citation: CHEN Zhiyun, LI Jie, FENG Yu, et al. Research Progress on Bioactivity and Mechanism of Tea PolyphenolsJ. Science and Technology of Food Industry, 2024, 45(13): 333−341. (in Chinese with English abstract). doi: 10.13386/j.issn1002-0306.2023070168.

茶多酚生物活性及作用机制研究进展

Research Progress on Bioactivity and Mechanism of Tea Polyphenols

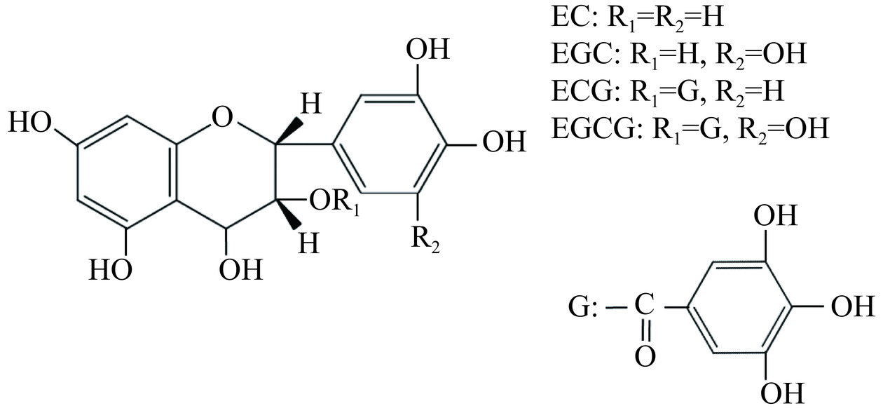
  • 摘要: 茶多酚是茶树体内一类具有酚羟基结构的多元酚类混合物的总称,是茶叶主要功能成分,在绿茶中含量相对较高。茶多酚生物活性研究广受关注,在功能食品、药物研发、保鲜防腐等领域具备广阔应用前景。茶多酚具有抗氧化、抗癌、降血脂、调节血糖、抑菌、抗辐射等多种生物活性,其作用机制主要涉及调控蛋白激酶B(Protein kinase B,AKT)、核因子κB(Nuclear factor-kappa B,NF-κB)、表皮生长因子受体(Epithelial growth factor receptor,EGFR)、腺苷酸活化蛋白激酶(Adenylate activated protein kinase,AMPK)等信号通路及相关蛋白。通过分析近年来相关研究文献,对茶多酚物质特性、生物活性及作用机制、应用领域等进行综述,以期为含茶多酚功能食品、天然药物等产品开发提供借鉴。

     

    Abstract: Tea polyphenols are a class of polyphenolic mixtures with phenolic hydroxyl structure in tea plants, which are the main functional component of tea, and the content is relatively high in green tea. Tea polyphenol bioactivity research gains popularity, in the functional food, drug development, preservation and preservation of preservatives and other areas with broad application prospects. Tea polyphenols have a variety of biological activities such as antioxidant, anticancer, hypolipidemic, blood sugar regulation, antibacterial, anti-radiation and so on. Their mechanism of action mainly includes regulating protein kinase B (AKT), nuclear factor-kappa B (NF-κB), epithelial growth factor receptor (EGFR), adenylate activated protein kinase (AMPK) and other signalling pathways and related proteins. By analyzing the relevant research literature in recent years, we review the material properties, biological activities, mechanisms and applications of tea polyphenols, with a view to providing reference for the development of tea polyphenol-containing functional foods and natural medicines.

     

/

返回文章
返回