• 中国科技期刊卓越行动计划项目资助期刊
  • 中国精品科技期刊
  • 首都科技期刊卓越行动计划
  • EI
  • Scopus
  • CAB Abstracts
  • Global Health
  • 北大核心期刊
  • DOAJ
  • EBSCO
  • 中国核心学术期刊RCCSE A+
  • 中国科技核心期刊CSTPCD
  • JST China
  • FSTA
  • 中国农林核心期刊
  • 中国开放获取期刊数据库COAJ
  • CA
  • WJCI
  • 食品科学与工程领域高质量科技期刊分级目录第一方阵T1
中国精品科技期刊2020
曾静,郭建军,王通,等. 共表达分子伴侣蛋白提高III型普鲁兰水解酶在短小芽孢杆菌中的分泌表达及发酵优化J. 食品工业科技,2024,45(10):149−157. doi: 10.13386/j.issn1002-0306.2023080133.
引用本文: 曾静,郭建军,王通,等. 共表达分子伴侣蛋白提高III型普鲁兰水解酶在短小芽孢杆菌中的分泌表达及发酵优化J. 食品工业科技,2024,45(10):149−157. doi: 10.13386/j.issn1002-0306.2023080133.
ZENG Jing, GUO Jianjun, WANG Tong, et al. Enhanced Extracellular Type III Pullulan Hydrolase Production by Co-expressing Molecular Chaperone in Brevibacillus choshinensis and Fermentation OptimizationJ. Science and Technology of Food Industry, 2024, 45(10): 149−157. (in Chinese with English abstract). doi: 10.13386/j.issn1002-0306.2023080133.
Citation: ZENG Jing, GUO Jianjun, WANG Tong, et al. Enhanced Extracellular Type III Pullulan Hydrolase Production by Co-expressing Molecular Chaperone in Brevibacillus choshinensis and Fermentation OptimizationJ. Science and Technology of Food Industry, 2024, 45(10): 149−157. (in Chinese with English abstract). doi: 10.13386/j.issn1002-0306.2023080133.

共表达分子伴侣蛋白提高III型普鲁兰水解酶在短小芽孢杆菌中的分泌表达及发酵优化

Enhanced Extracellular Type III Pullulan Hydrolase Production by Co-expressing Molecular Chaperone in Brevibacillus choshinensis and Fermentation Optimization

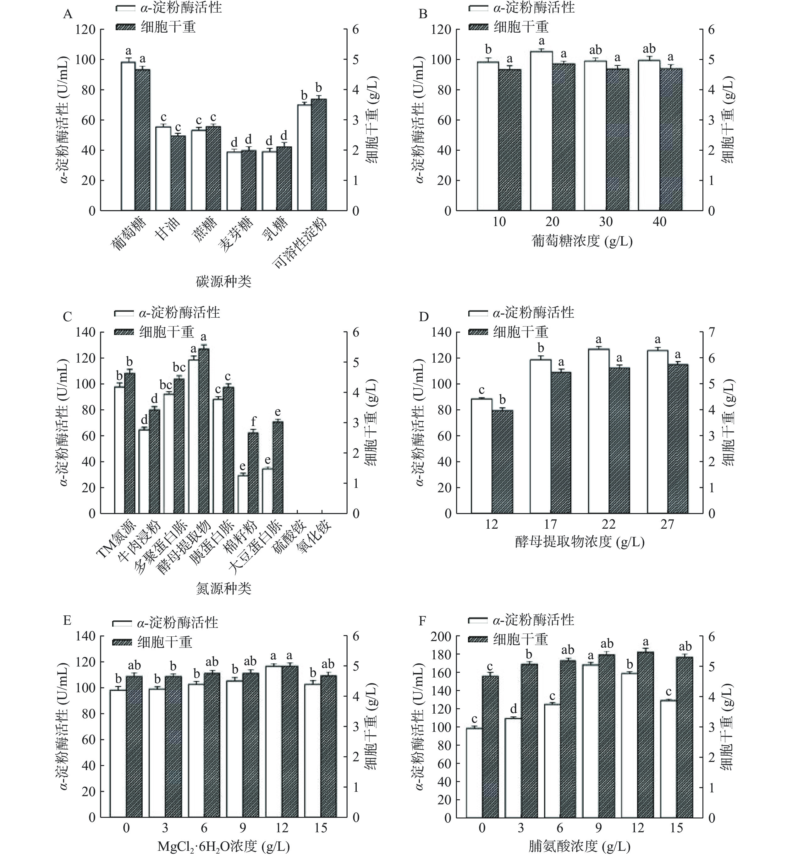
  • 摘要: 本研究旨在通过共表达分子伴侣蛋白以及优化发酵条件来提高III型普鲁兰水解酶(TK-PUL)在短小芽孢杆菌中的分泌表达水平。通过构建共表达TK-PUL和分子伴侣蛋白的多种重组短小芽孢杆菌,并以胞外酶活为指标对其进行筛选,确定最有利于TK-PUL分泌表达的分子伴侣蛋白及对应的重组短小芽孢杆菌。在此基础上采用单因素实验和响应面法优化重组短小芽孢杆菌的发酵条件。结果表明,共表达分子伴侣蛋白PrsABa的重组短小芽孢杆菌的胞外酶活达到98.79 U/mL,提高了0.31倍。该重组短小芽孢杆菌的最佳培养基包括19.65 g/L 葡萄糖、21.46 g/L 酵母提取物、12.01 g/L MgCl2·6H2O、9.02 g/L 脯氨酸、0.01 g/L FeSO4·7H2O、0.01 g/L MnSO4·4H2O、0.001 g/L ZnSO4·7H2O。在发酵温度为35 ℃、起始发酵pH为7.0的条件下,该重组短小芽孢杆菌于最佳培养基中培养66 h时,其胞外酶活达到192.68 U/mL,提高了1.56倍。本研究通过共表达分子伴侣蛋白和发酵优化实现了TK-PUL在短小芽孢杆菌的高效分泌表达,为TK-PUL的应用提供了基础。

     

    Abstract: This study aimed to increase the expression and secretion of type III pullulan hydrolase (TK-PUL) by Brevibacillus choshinensis through the co-expression of molecular chaperone proteins and the optimization of fermentation conditions. By constructing multiple recombinant B. choshinensis co-expressing TK-PUL and molecular chaperone proteins, and screening them using extracellular enzyme activity as an indicator, the most favorable molecular chaperone protein and corresponding recombinant B. choshinensis for TK-PUL secretion and expression were determined. On this basis, single factor experiments and response surface methodology were used to optimize the fermentation conditions of recombinant B. choshinensis. Results showed that, the extracellular enzyme activity of the recombinant B. choshinensis strain co-expressing the molecular chaperone protein PrsABa reached 98.79 U/mL, representing a 0.31-fold increase. The optimal medium for this recombinant B. choshinensis was composed of 19.65 g/L of glucose, 21.46 g/L of yeast extract, 12.01 g/L of MgCl2·6H2O, 9.02 g/L of proline, 0.01 g/L of FeSO4·7H2O, 0.01 g/L of MnSO4·4H2O, and 0.001 g/L of ZnSO4·7H2O. Culturing the optimized recombinant B. choshinensis in the above-mentioned optimized medium for 66 hours at 35 °C and an initial pH of 7.0 increased the extracellular TK-PUL activity to 192.68 U/mL, which represented a 1.56-fold increase. Efficient secretion of TK-PUL in B. choshinensis was achieved through the co-expression of molecular chaperone proteins and the optimization of fermentation conditions. This study provides a foundation for exploring the industrial-scale application of TK-PUL.

     

/

返回文章
返回