• 中国科技期刊卓越行动计划项目资助期刊
  • 中国精品科技期刊
  • 首都科技期刊卓越行动计划
  • EI
  • Scopus
  • CAB Abstracts
  • Global Health
  • 北大核心期刊
  • DOAJ
  • EBSCO
  • 中国核心学术期刊RCCSE A+
  • 中国科技核心期刊CSTPCD
  • JST China
  • FSTA
  • 中国农林核心期刊
  • 中国开放获取期刊数据库COAJ
  • CA
  • WJCI
  • 食品科学与工程领域高质量科技期刊分级目录第一方阵T1
中国精品科技期刊2020
郭建军,曾静,王通,等. 嗜热酸性Ⅲ型普鲁兰水解酶协同压热制备莲子抗性淀粉的工艺优化及其功能特性研究J. 食品工业科技,2024,45(11):195−204. doi: 10.13386/j.issn1002-0306.2023080183.
引用本文: 郭建军,曾静,王通,等. 嗜热酸性Ⅲ型普鲁兰水解酶协同压热制备莲子抗性淀粉的工艺优化及其功能特性研究J. 食品工业科技,2024,45(11):195−204. doi: 10.13386/j.issn1002-0306.2023080183.
GUO Jianjun, ZENG Jing, WANG Tong, et al. Optimization of the Preparation of Lotus Seed Resistant Starch through Thermoacidophilic Type Ⅲ Pullulan Hydrolase Synergistic High-pressure Heat Treatments and Its Functional CharacteristicsJ. Science and Technology of Food Industry, 2024, 45(11): 195−204. (in Chinese with English abstract). doi: 10.13386/j.issn1002-0306.2023080183.
Citation: GUO Jianjun, ZENG Jing, WANG Tong, et al. Optimization of the Preparation of Lotus Seed Resistant Starch through Thermoacidophilic Type Ⅲ Pullulan Hydrolase Synergistic High-pressure Heat Treatments and Its Functional CharacteristicsJ. Science and Technology of Food Industry, 2024, 45(11): 195−204. (in Chinese with English abstract). doi: 10.13386/j.issn1002-0306.2023080183.

嗜热酸性Ⅲ型普鲁兰水解酶协同压热制备莲子抗性淀粉的工艺优化及其功能特性研究

Optimization of the Preparation of Lotus Seed Resistant Starch through Thermoacidophilic Type Ⅲ Pullulan Hydrolase Synergistic High-pressure Heat Treatments and Its Functional Characteristics

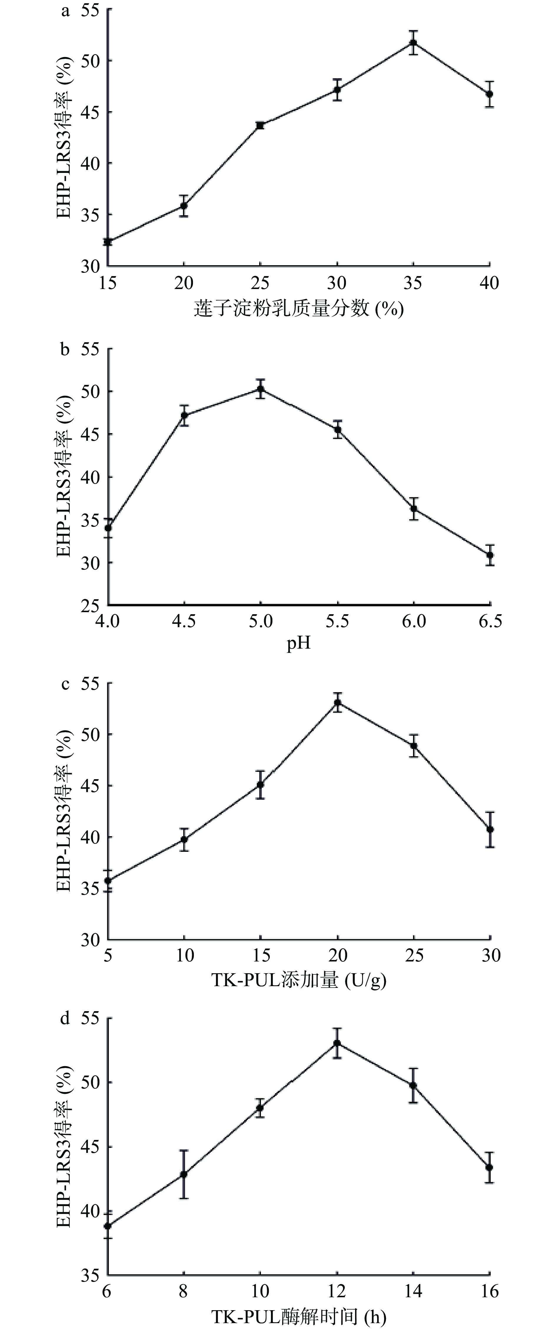
  • 摘要: 本研究以莲子淀粉为原料,采用嗜热酸性Ⅲ型普鲁兰水解酶(TK-PUL)与压热联合制备RS3型抗性淀粉(EHP-LRS3)。通过单因素实验和响应面试验对TK-PUL与压热联合制备EHP-LRS3的工艺参数进行了优化,采用扫描电子显微镜和X-射线衍射对EHP-LRS3的形貌、晶体结构进行了观察与分析,并考察了EHP-LRS3对长双歧杆菌的促增殖能力。结果表明,在TK-PUL酶解温度为80 ℃时制备EHP-LRS3的最佳工艺为:向质量分数为35.32%的莲子淀粉乳(pH5.00)中添加25.00 U/g(莲子淀粉)的TK-PUL,将混合物于80 ℃处理12.70 h,再将其依次于121 ℃压热处理10 min、4 ℃回生处理24 h。在最佳工艺条件下,EHP-LRS3的得率为58.46%。扫描电镜分析显示EHP-LRS3呈不规则的沟壑状结构。X-射线衍射分析表明EHP-LRS3的晶体结构呈现出不同于莲子淀粉A型晶体结构的B型晶体结构。EHP-LRS3对长双歧杆菌的促增殖能力优于压热法制备的RS3型抗性淀粉(HP-LRS3)。本研究采用TK-PUL与压热联合制备得到高得率的RS3型抗性淀粉(EHP-LRS3),并验证了EHP-LRS3对长双歧杆菌的促增殖能力,为莲子淀粉的高值化利用提供了理论依据。

     

    Abstract: In this study, lotus seed starch was used as the raw material for preparing RS3 resistant starch (EHP-LRS3) through thermoacidophilic type Ⅲ pullulan hydrolase synergistic high-pressure heat treatments. The parameters for this preparation process were optimized using a single-factor experimental design and response surface methodology. The morphological and crystal structures of EHP-LRS3 were observed and analyzed using scanning electron microscopy (SEM) and X-ray diffraction (XRD), respectively, and its pro-proliferative effect on Bifidobacterium longum was investigated. According to the results, the optimal conditions for preparing EHP-LRS3 with TK-PUL enzymatic hydrolysis temperature of 80 ℃ were as follows: Treatment of 35.32% lotus seed starch slurry (pH5.00) with 25.00 U/g (lotus seed starch) TK-PUL at 80 ℃ for 12.70 h, followed by high-pressure heat treatment of the mixture at 121 ℃ for 10 min and retrogradation at 4 ℃ for 24 h. An EHP-LRS3 yield of 58.46% was achieved under these optimal conditions. The SEM analysis revealed that the prepared EHP-LRS3 possessed an irregular ravine-like structure. The XRD analysis showed that the resistant starch had a B-type crystal structure, which differed from the A-type crystal structure of lotus seed starch. The pro-proliferative effect of EHP-LRS3 on B. longum was superior to that of RS3 resistant starch prepared using high-pressure heating alone (HP-LRS3). In summary, a high EHP-LRS3 yield was obtained using both TK-PUL and high-pressure heat treatments. The superior pro-proliferative effect of EHP-LRS3 on B. longum was verified. The results provide a theoretical basis for the high-value utilization of lotus seed starch.

     

/

返回文章
返回