• 中国科技期刊卓越行动计划项目资助期刊
  • 中国精品科技期刊
  • 首都科技期刊卓越行动计划
  • EI
  • Scopus
  • CAB Abstracts
  • Global Health
  • 北大核心期刊
  • DOAJ
  • EBSCO
  • 中国核心学术期刊RCCSE A+
  • 中国科技核心期刊CSTPCD
  • JST China
  • FSTA
  • 中国农林核心期刊
  • 中国开放获取期刊数据库COAJ
  • CA
  • WJCI
  • 食品科学与工程领域高质量科技期刊分级目录第一方阵T1
中国精品科技期刊2020
贾健辉,窦博鑫,张楚佳,等. 脂肪酸链长对大米淀粉-脂肪酸复合物性质的影响J. 食品工业科技,2024,45(15):137−143. doi: 10.13386/j.issn1002-0306.2023120210.
引用本文: 贾健辉,窦博鑫,张楚佳,等. 脂肪酸链长对大米淀粉-脂肪酸复合物性质的影响J. 食品工业科技,2024,45(15):137−143. doi: 10.13386/j.issn1002-0306.2023120210.
JIA Jianhui, DOU Boxin, ZHANG Chujia, et al. Effect of Fatty Acid Chain Length on Properties of Rice Starch-Fatty Acid ComplexesJ. Science and Technology of Food Industry, 2024, 45(15): 137−143. (in Chinese with English abstract). doi: 10.13386/j.issn1002-0306.2023120210.
Citation: JIA Jianhui, DOU Boxin, ZHANG Chujia, et al. Effect of Fatty Acid Chain Length on Properties of Rice Starch-Fatty Acid ComplexesJ. Science and Technology of Food Industry, 2024, 45(15): 137−143. (in Chinese with English abstract). doi: 10.13386/j.issn1002-0306.2023120210.

脂肪酸链长对大米淀粉-脂肪酸复合物性质的影响

Effect of Fatty Acid Chain Length on Properties of Rice Starch-Fatty Acid Complexes

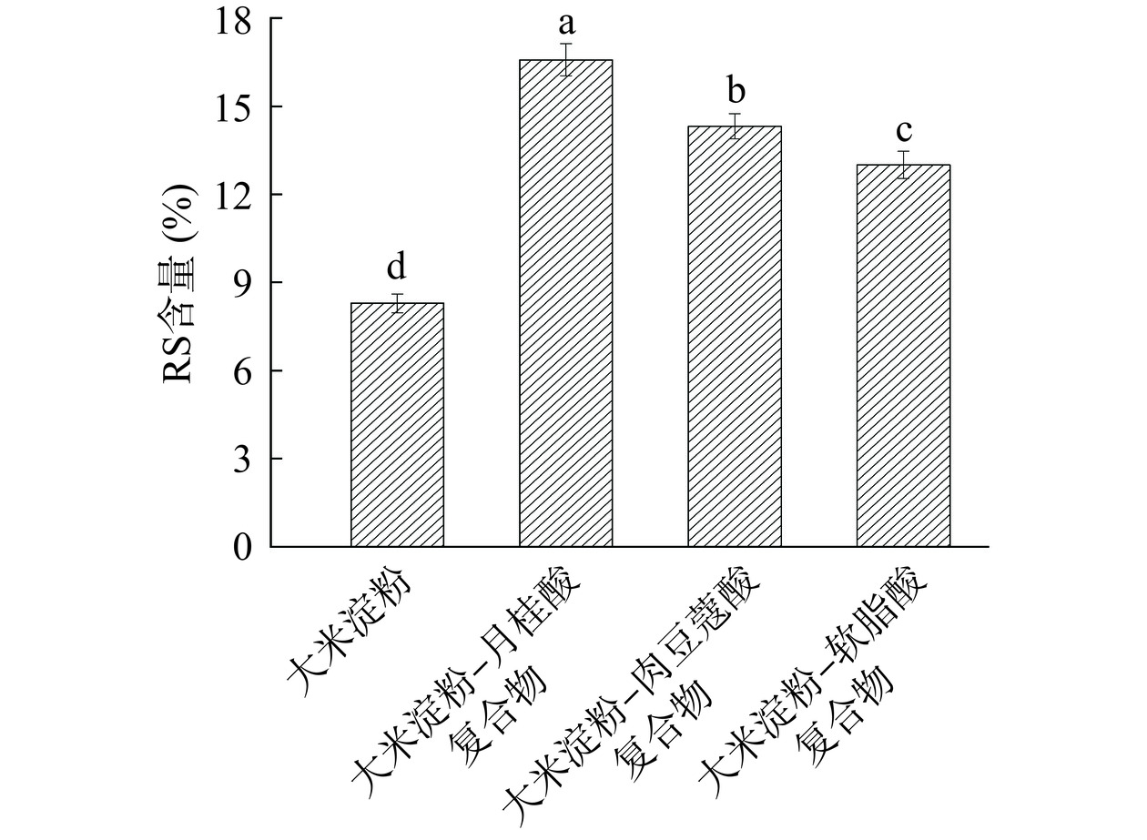
  • 摘要: 将大米淀粉与不同链长的月桂酸(C12)、肉豆蔻酸(C14)和软脂酸(C16)复合制备大米淀粉-脂肪酸复合物。通过测定复合物的复合指数、糊化特性、流变特性和体外消化特性等,探讨脂肪酸链长对大米淀粉-脂肪酸复合物性质的影响。结果表明,与大米淀粉相比,大米淀粉-脂肪酸复合物的溶解度、膨胀度、黏度值、衰减值、回生值、黏弹性和消化特性均有所降低。不同链长的脂肪酸对复合物的性质影响显著(P<0.05),其中短链脂肪酸与大米淀粉表现出较强的结合能力,其复合物的复合指数可达26.77%,且复合物中的脂肪酸含量较低。随着脂肪酸链长的增加,复合物的溶解度、膨胀度、黏弹性和抗性淀粉含量降低,而黏度值、衰减值和回生值增加。不同链长脂肪酸与大米淀粉复合,以短链脂肪酸复合效果更优。研究结果可为具有较低消化能力的淀粉-脂肪酸复合物和抗消化淀粉食品的制备提供参考。

     

    Abstract: Rice starch-fatty acid complexes were prepared by compounding rice starch with different chain lengths of lauric acid (C12), myristic acid (C14), and palmitic acid (C16). By measuring the composite index, gelatinization properties, rheological properties, and in vitro digestion properties of the complex, the influence of fatty acid chain length on the properties of rice starch-fatty acid complex was explored. The results showed that compared with rice starch, the solubility, swelling, viscosity value, attenuation value, retrogradation value, viscoelasticity, and digestion properties of rice starch-fatty acid complex were all reduced. Fatty acids with different chain lengths had a significant impact on the properties of the complex (P<0.05), among which short chain fatty acids exhibited strong binding ability with rice starch. The composite index of the complex could reach 26.77%, and the fatty acid content in the complex was relatively low. As the length of fatty acid chains increased, the solubility, swelling, viscoelasticity, and resistant starch content of the complex decreased, while the viscosity value, attenuation value, and retrogradation value increased. When different long-chain fatty acids were combined with rice starch, the combination effect of short chain fatty acids was better. The research results can provide reference for the preparation of starch-fatty acid complexes with lower digestibility and anti digestible starch foods.

     

/

返回文章
返回