• 中国科技期刊卓越行动计划项目资助期刊
  • 中国精品科技期刊
  • 首都科技期刊卓越行动计划
  • EI
  • Scopus
  • CAB Abstracts
  • Global Health
  • 北大核心期刊
  • DOAJ
  • EBSCO
  • 中国核心学术期刊RCCSE A+
  • 中国科技核心期刊CSTPCD
  • JST China
  • FSTA
  • 中国农林核心期刊
  • 中国开放获取期刊数据库COAJ
  • CA
  • WJCI
  • 食品科学与工程领域高质量科技期刊分级目录第一方阵T1
中国精品科技期刊2020
岑燕霞,梁玉才,曾江赢,等. 食源复方黄精组合物水提液对小鼠抗疲劳作用的研究J. 食品工业科技,2025,46(2):343−348. doi: 10.13386/j.issn1002-0306.2024010280.
引用本文: 岑燕霞,梁玉才,曾江赢,等. 食源复方黄精组合物水提液对小鼠抗疲劳作用的研究J. 食品工业科技,2025,46(2):343−348. doi: 10.13386/j.issn1002-0306.2024010280.
CEN Yanxia, LIANG Yucai, ZENG Jiangying, et al. Anti-fatigue Effect of Water Extract of Food as Medicine Compound Polygonati Rhizoma Composition on MiceJ. Science and Technology of Food Industry, 2025, 46(2): 343−348. (in Chinese with English abstract). doi: 10.13386/j.issn1002-0306.2024010280.
Citation: CEN Yanxia, LIANG Yucai, ZENG Jiangying, et al. Anti-fatigue Effect of Water Extract of Food as Medicine Compound Polygonati Rhizoma Composition on MiceJ. Science and Technology of Food Industry, 2025, 46(2): 343−348. (in Chinese with English abstract). doi: 10.13386/j.issn1002-0306.2024010280.

食源复方黄精组合物水提液对小鼠抗疲劳作用的研究

Anti-fatigue Effect of Water Extract of Food as Medicine Compound Polygonati Rhizoma Composition on Mice

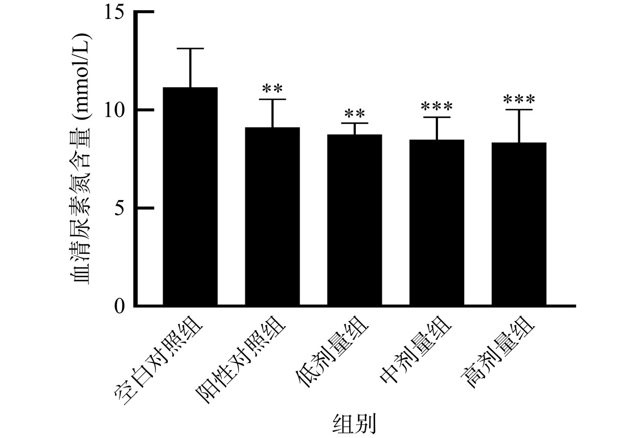
  • 摘要: 目的:研究黄精、昆布、覆盆子等9种药食同源复方组合物水提液对小鼠抗疲劳作用的影响。方法:将健康的昆明种小鼠随机分为空白对照组(等量蒸馏水)、阳性对照组(人参蜂王浆口服液0.62 g/mL)和复方黄精组合物的水提液低、中、高(0.21、0.62、1.85 g/mL)剂量组,每组10只,雌雄各半,连续灌胃30 d,灌胃期间,记录各组小鼠体重;试验末期测定小鼠的力竭游泳时间、脏器指数,检测血清尿素氮含量、肝糖原含量、肌糖原含量。结果:与空白对照组比较,复方黄精组合物的水提液对小鼠体重的影响无统计学差异(P>0.05),且小鼠脏器方面未发现异常(P>0.05),复方黄精组合物的水提液能显著提升小鼠的耐力,延长其力竭游泳的时间(P<0.05),降低尿素氮含量(P<0.01),提高小鼠肝糖原和肌糖原含量(P<0.01)。结论:复方黄精组合物的水提液具有改善运动性疲劳的作用。

     

    Abstract: Objective: To investigate the anti-fatigue properties in mice of water extracts from nine different types of medicinal and edible component compositions, including Polygonati Rhizoma, Laminariae Thallus, and Rubi Fructus. Methods: A group of 10 healthy KM mice, half female and half male, were randomly assigned to each of the following groups: blank control (equal volume of distilled water), positive control (ginseng royal jelly oral liquid, 0.62 g/mL), and low, medium, and high (0.21, 0.62, 1.85 g/mL) dosage groups of water extract of compound Polygonati Rhizoma composition. The mice were gavaged continuously for 30 days and the weight data were collected during gavage. At the end of the experiment, the mice's strenuous swimming time, organ index, and serum urea nitrogen, liver, and muscle glycogen contents were examined. Results: The water extract of the compound Polygonati Rhizoma composition did not statistically differ from the blank control group in terms of the mice's weight (P>0.05), and no abnormalities were observed in the mice's organs (P>0.05). The water extract of compound Polygonati Rhizoma composition had the potential to greatly increase mouse endurance, extend their strenuous swimming time (P<0.05), lower the amount of urea nitrogen (P<0.01), and boost liver and muscle glycogen contents (P<0.01). Conclusion: Exercise tiredness is mitigated by the water extract of the compound Polygonati Rhizoma composition.

     

/

返回文章
返回