• 中国科技期刊卓越行动计划项目资助期刊
  • 中国精品科技期刊
  • EI
  • Scopus
  • CAB Abstracts
  • Global Health
  • 北大核心期刊
  • DOAJ
  • EBSCO
  • 中国核心学术期刊RCCSE A+
  • 中国科技核心期刊CSTPCD
  • JST China
  • FSTA
  • 中国农林核心期刊
  • 中国开放获取期刊数据库COAJ
  • CA
  • WJCI
  • 食品科学与工程领域高质量科技期刊分级目录第一方阵T1
中国精品科技期刊2020
张泽宏,厥质一,费鹏. 酚酸-果胶的酶法制备及其抗氧化与抑菌活性[J]. 食品工业科技,2024,45(16):146−151. doi: 10.13386/j.issn1002-0306.2024030071.
引用本文: 张泽宏,厥质一,费鹏. 酚酸-果胶的酶法制备及其抗氧化与抑菌活性[J]. 食品工业科技,2024,45(16):146−151. doi: 10.13386/j.issn1002-0306.2024030071.
ZHANG Zehong, JUE Zhiyi, FEI Peng. Enzymatic Preparation of Phenolic Acid-Pectin and Its Antioxidant and Antibacterial Activities[J]. Science and Technology of Food Industry, 2024, 45(16): 146−151. (in Chinese with English abstract). doi: 10.13386/j.issn1002-0306.2024030071.
Citation: ZHANG Zehong, JUE Zhiyi, FEI Peng. Enzymatic Preparation of Phenolic Acid-Pectin and Its Antioxidant and Antibacterial Activities[J]. Science and Technology of Food Industry, 2024, 45(16): 146−151. (in Chinese with English abstract). doi: 10.13386/j.issn1002-0306.2024030071.

酚酸-果胶的酶法制备及其抗氧化与抑菌活性

Enzymatic Preparation of Phenolic Acid-Pectin and Its Antioxidant and Antibacterial Activities

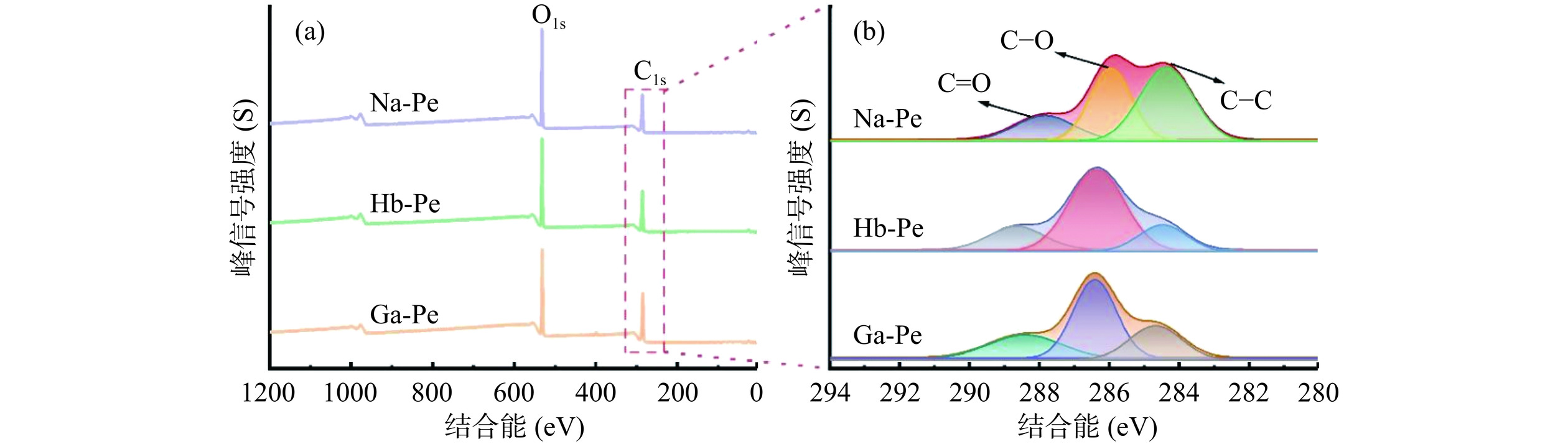
  • 摘要: 本研究旨在探索酶促接枝改性对果胶结构和功能性质的影响,为开发具有生物活性的新型食品包装材料提供科学依据。以脂肪酶为催化剂,分别将对羟基苯甲酸和没食子酸接枝到果胶分子上。采用1H NMR、FTIR和XPS等分析技术对改性果胶的结构进行表征,并评估其抗氧化和抗菌活性。结果表明,对羟基苯甲酸修饰果胶(Hb-Pe)和没食子酸修饰果胶(Ga-Pe)的接枝率分别达到21.8%和22.9%。同时,与未改性果胶相比,Ga-Pe表现出显著(P<0.05)提高的DPPH自由基清除能力(69.6%)和β-胡萝卜素漂白抑制能力(65.5%),而对羟基苯甲酸改性果胶Hb-Pe的抗氧化活性提升有限,两项指标仅分别为5.54%和28.6%。此外,两种改性果胶对大肠杆菌和金黄色葡萄球菌的抑菌圈直径分别为15.7、13.3 mm (Hb-Pe)和16.6、12.6 mm(Ga-Pe),均显著(P<0.05)高于未改性果胶的抑菌效果。本研究证实了酶促接枝改性能够有效提升果胶的生物活性,为延长食品保质期提供了新的思路。

     

    Abstract: This study explored the impact of enzymatic grafting modification on the structure and functional properties of pectin, aiming to provide a scientific foundation for the development of novel food packaging materials with bioactive properties. Using lipase as a catalyst, p-hydroxybenzoic acid and gallic acid were grafted onto pectin molecules. The structure of the modified pectin was characterized using 1H NMR, FTIR, and XPS analytical techniques, and its antioxidant and antibacterial activities were evaluated. The results showed that the grafting rates of p-hydroxybenzoic acid-modified pectin (Hb-Pe) and gallic acid-modified pectin (Ga-Pe) reached 21.8% and 22.9%, respectively. Notably, compared to unmodified pectin, Ga-Pe exhibited significantly (P<0.05) enhanced DPPH free radical scavenging capacity (69.6%) and β-carotene bleaching inhibition capacity (65.5%), while the improvement in antioxidant activity of Hb-Pe was limited, with the two indicators being only 5.54% and 28.6%, respectively. Furthermore, the inhibition zone diameters of the two modified pectins against Escherichia coli and Staphylococcus aureus were 15.7, 13.3 mm (Hb-Pe) and 16.6, 12.6 mm (Ga-Pe), respectively, which were significantly (P<0.05) higher than those of unmodified pectin. This study confirms that enzymatic grafting modification can effectively enhance the bioactivity of pectin, providing a new approach for extending the shelf life of food products.

     

/

返回文章
返回