• 中国科技期刊卓越行动计划项目资助期刊
  • 中国精品科技期刊
  • EI
  • Scopus
  • CAB Abstracts
  • Global Health
  • 北大核心期刊
  • DOAJ
  • EBSCO
  • 中国核心学术期刊RCCSE A+
  • 中国科技核心期刊CSTPCD
  • JST China
  • FSTA
  • 中国农林核心期刊
  • 中国开放获取期刊数据库COAJ
  • CA
  • WJCI
  • 食品科学与工程领域高质量科技期刊分级目录第一方阵T1
中国精品科技期刊2020
刘丽君,詹佳浩,帅锦浩,等. 栀子黄色素对葡聚糖硫酸钠诱导大鼠结肠炎的缓解作用及肠道菌群的影响[J]. 食品工业科技,2025,46(5):344−354. doi: 10.13386/j.issn1002-0306.2024030188.
引用本文: 刘丽君,詹佳浩,帅锦浩,等. 栀子黄色素对葡聚糖硫酸钠诱导大鼠结肠炎的缓解作用及肠道菌群的影响[J]. 食品工业科技,2025,46(5):344−354. doi: 10.13386/j.issn1002-0306.2024030188.
LIU Lijun, ZHAN Jiahao, SHUAI Jinhao, et al. Effect of Gardenia Yellow Pigment on Dextran Sodium Sulfate-induced Colitis in Rats and Its Effect on Intestinal Flora[J]. Science and Technology of Food Industry, 2025, 46(5): 344−354. (in Chinese with English abstract). doi: 10.13386/j.issn1002-0306.2024030188.
Citation: LIU Lijun, ZHAN Jiahao, SHUAI Jinhao, et al. Effect of Gardenia Yellow Pigment on Dextran Sodium Sulfate-induced Colitis in Rats and Its Effect on Intestinal Flora[J]. Science and Technology of Food Industry, 2025, 46(5): 344−354. (in Chinese with English abstract). doi: 10.13386/j.issn1002-0306.2024030188.

栀子黄色素对葡聚糖硫酸钠诱导大鼠结肠炎的缓解作用及肠道菌群的影响

Effect of Gardenia Yellow Pigment on Dextran Sodium Sulfate-induced Colitis in Rats and Its Effect on Intestinal Flora

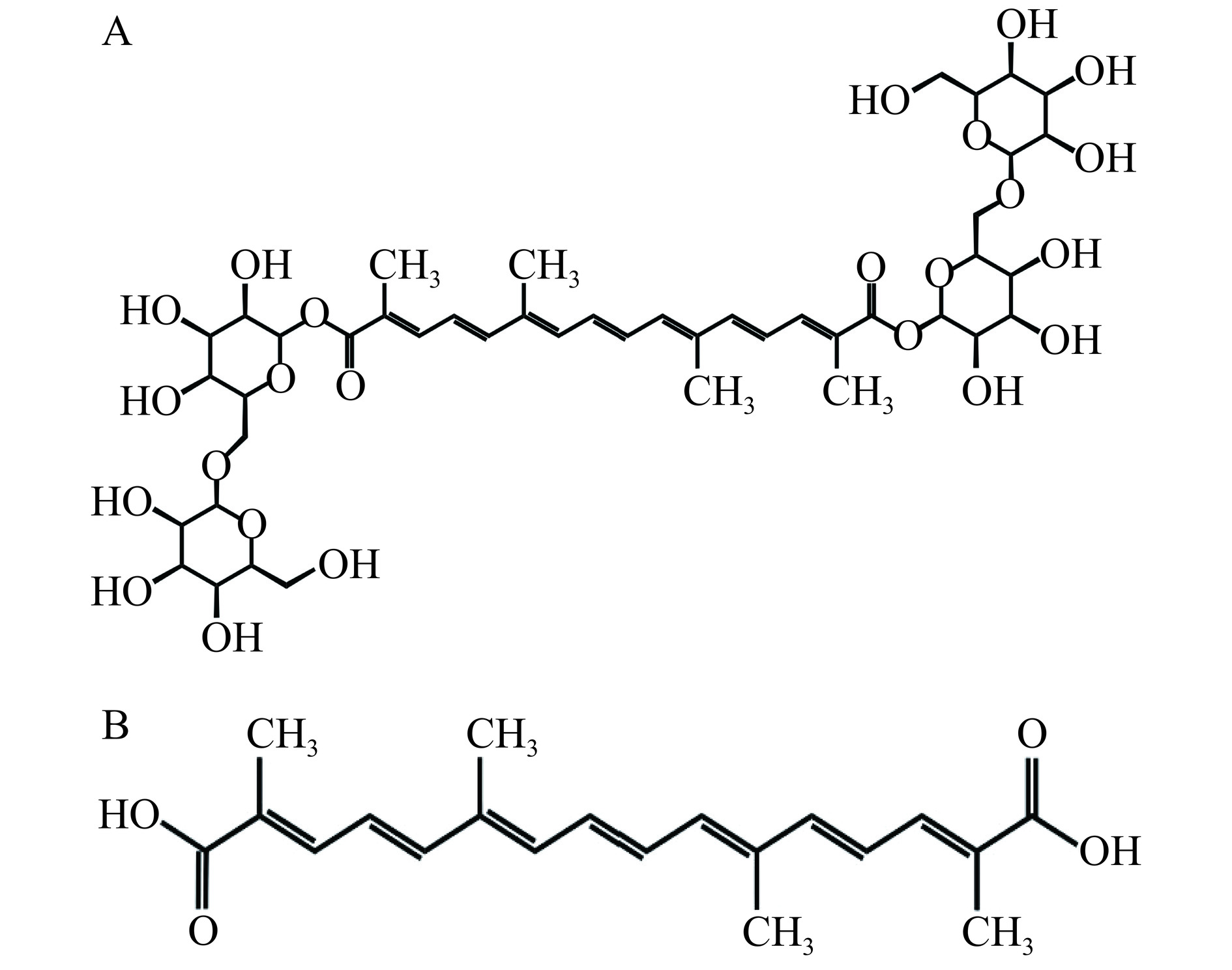
  • 摘要: 目的:探究栀子黄色素(gardenia yellow pigment,GYP)对葡聚糖硫酸钠(dextran sulfate sodium,DSS)诱导的溃疡性结肠炎(ulcerative colitis,UC)大鼠的影响。方法:实验设置对照组、模型组、阳性对照组和GYP干预组,采样当天记录大鼠的健康情况,进行疾病活动指数(disease active index,DAI)评分,比较4组大鼠体重变化、DAI评分、结肠组织形态、短链脂肪酸(short chain fatty acids,SCFAs)含量和肠道菌群构成;并通过网络药理学和分子对接对GYP缓解大鼠UC的机制进行初步分析。结果:补充GYP不仅可以有效缓解大鼠体质量减轻、便血、腹泻、结肠长度缩短以及结肠组织损伤等症状,而且可以显著增加厚壁菌门、放线菌门的相对丰度和乙酸含量(P<0.05),极显著降低拟杆菌门和螺旋菌门的相对丰度(P<0.01);通过网络药理学筛选出藏花酸为GYP缓解UC的关键成分,并得到38个交集靶点和86条KEGG通路。此外,分子对接结果显示,藏花酸对缓解UC的核心靶点具有良好的亲和力,其中ACE结合度最高。结论:GYP可改善DSS诱导的UC大鼠的肠道损伤和肠道微生物紊乱,其作用机制可能与增加SCFAs含量和维持肠道菌群的稳态有关。

     

    Abstract: Objective: To explore the effect of gardenia yellow pigment (GYP) on dextran sulfate sodium (DSS)-induced ulcerative colitis (UC) in rats. Methods: Four groups of rats were established: Normal group, model group, positive control group, and GYP intervention group. The health status of the rats was recorded on the day of sampling, and the disease activity index (DAI) score was calculated. The weight change, DAI score, colon tissue morphology, short chain fatty acids (SCFAs) content and the composition of intestinal flora were compared between the four groups. Furthermore, preliminary analysis was conducted on the mechanism of GYP in alleviating UC in rats through network pharmacology and molecular docking. Results: The results indicated that GYP not only effectively alleviated the symptoms of ulcerative colitis such as body mass loss, hematochezia, diarrhea, and the shortening of colon length and colon tissue injury in rats. Moreover, GYP significantly increased the relative abundance of Firmicutes and Actinobacteria, as well as the content of acetic acid (P<0.05), and significantly reduced the relative abundance of Bacteroidetes and Spirochetes (P<0.01). Through network pharmacology screening, crocetin was identified as a key component for alleviating UC in GYP, and 38 intersection targets and 86 KEGG pathways were identified. In addition, molecular docking results demonstrated that crocetin had good affinity for core targets for alleviating UC, among which ACE had the highest binding degree. Conclusion: GYP may alleviate intestinal damage and microbial disruption in DSS induced UC rats by increasing the content of short chain fatty acids and maintaining the homeostasis of gut microbiota.

     

/

返回文章
返回