• 中国科技期刊卓越行动计划项目资助期刊
  • 中国精品科技期刊
  • 首都科技期刊卓越行动计划
  • EI
  • Scopus
  • CAB Abstracts
  • Global Health
  • 北大核心期刊
  • DOAJ
  • EBSCO
  • 中国核心学术期刊RCCSE A+
  • 中国科技核心期刊CSTPCD
  • JST China
  • FSTA
  • 中国农林核心期刊
  • 中国开放获取期刊数据库COAJ
  • CA
  • WJCI
  • 食品科学与工程领域高质量科技期刊分级目录第一方阵T1
中国精品科技期刊2020
王胜宇,黄优生,陈丽华,等. 黑曲霉固态发酵对粉葛副产物中结合态酚类物质释放及抗氧化活性的影响J. 食品工业科技,2025,46(5):136−144. doi: 10.13386/j.issn1002-0306.2024030344.
引用本文: 王胜宇,黄优生,陈丽华,等. 黑曲霉固态发酵对粉葛副产物中结合态酚类物质释放及抗氧化活性的影响J. 食品工业科技,2025,46(5):136−144. doi: 10.13386/j.issn1002-0306.2024030344.
WANG Shengyu, HUANG Yousheng, CHEN Lihua, et al. Effects of Solid Fermentation of Aspergillus niger on Release of Bound Phenols and Antioxidant Activity of By-products of Pueraria thomsoniiJ. Science and Technology of Food Industry, 2025, 46(5): 136−144. (in Chinese with English abstract). doi: 10.13386/j.issn1002-0306.2024030344.
Citation: WANG Shengyu, HUANG Yousheng, CHEN Lihua, et al. Effects of Solid Fermentation of Aspergillus niger on Release of Bound Phenols and Antioxidant Activity of By-products of Pueraria thomsoniiJ. Science and Technology of Food Industry, 2025, 46(5): 136−144. (in Chinese with English abstract). doi: 10.13386/j.issn1002-0306.2024030344.

黑曲霉固态发酵对粉葛副产物中结合态酚类物质释放及抗氧化活性的影响

Effects of Solid Fermentation of Aspergillus niger on Release of Bound Phenols and Antioxidant Activity of By-products of Pueraria thomsonii

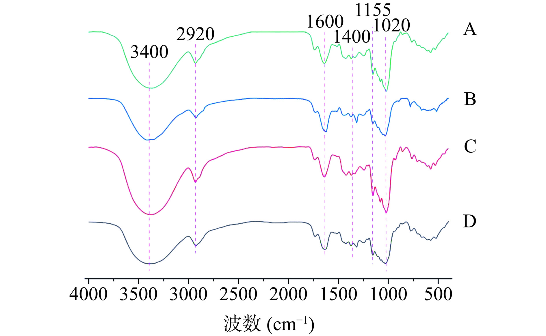
  • 摘要: 为提高粉葛加工副产物的利用价值,阐明结合态酚类的释放规律,采用黑曲霉对粉葛皮及粉葛渣进行固态发酵,对发酵过程中结合态酚类物质含量、纤维素酶、β-葡萄糖苷酶活力变化进行测定,利用高效液相色谱考察发酵后释放的结合态酚类物质的种类与含量,并对发酵过程中两种粉葛副产物发酵产物提取液抗氧化活性进行测定。结果表明,黑曲霉发酵可以有效释放粉葛副产物中的结合态酚类物质,且随发酵时间增加,结合态酚类释放含量显著提高(P<0.05)。发酵7 d时,测得粉葛皮中结合态酚含量为1.63±0.11 mg/g,粉葛渣中结合态酚含量为0.93±0.05 mg/g。粉葛皮纤维素酶活力在发酵第6 d达到最大,为662.74±17.06 U/g;β-葡萄糖苷酶活力在发酵第7 d时最高,为332.64±26.52 U/g;粉葛渣纤维素酶活力在发酵第7 d达到最大,为885.79±66.06 U/g;β-葡萄糖苷酶活力在发酵第3 d时最高,为354.63±9.45 U/g。发酵过程中酚类物质释放量与纤维素酶、β-葡萄糖苷酶活力呈正相关。液相结果表明发酵产物提取液中含3’-羟基葛根素、对羟基苯甲酸、葛根素、大豆苷元等物质。发酵产物提取液对DPPH·和ABTS+·清除能力随发酵时间增加而增强。表明黑曲霉固态发酵粉葛副产物,能够促进结合态酚类物质释放,提高发酵产物提取液抗氧化活性。

     

    Abstract: In order to improve the utilization value of the by-products from the Pueraria thomsonii and clarifie the release law of bound phenols, Aspergillus niger was used for solid state fermentation of kudzu peel and kudzu dregs. The contents of bound phenols, activities of cellulase and β-glucosidase were measured during fermentation. The types and contents of bound phenols released after fermentation were investigated by high performance liquid chromatography (HPLC). The antioxidant activities of two by-products extracting solution of Pueraria thomsonii were measured during fermentation. The results showed that the fermentation of Aspergillus niger could effectively release the bound phenols in the by-products of Pueraria thomsonii, and the content of the released bound phenolic substances increased significantly with the increase of fermentation time (P<0.05). After fermentation for 7 days, the bound phenols content in the kudzu peel and kudzu dregs was 1.63±0.11 mg/g and 0.93±0.05 mg/g respectively. The maximum cellulase activity of kudzu peel was 662.74±17.06 U/g on the 6th day of fermentation and the highest β-glucosidase activity was 332.64±26.52 U/g on the 7th day of fermentation. The maximum cellulase activity of kudzu dregs was 885.79±66.06 U/g on the 7th day of fermentation and the highest β-glucosidase activity was 354.63±9.45 U/g on the 3rd day of fermentation. There was a positive correlation between the release of phenols and the activities of cellulase and β-glucosidase during fermentation. The liquid phase results showed that 3'-hydroxypuerarin, p-hydroxybenzoic acid, puerarin and daidzein were contained in the fermentation product extract solution. The scavenging ability of fermentation product extract solution for DPPH· and ABTS+· increased with the increase of fermentation time. The results showed that the by-products of Pueraria thomsonii solid fermented by Aspergillus niger could promote the release of bound phenols and improve the antioxidant activity of fermentation solution.

     

/

返回文章
返回