Abstract:
To explore the effects of origin and fertilizer on the comprehensive quality of
Citrus reticulata '
Chachiensis' fruits, and provide scientific reference for the quality improvement and comprehensive development and utilization of
Citrus reticulata '
Chachiensis' in Xinhui District. The fruits of
Citrus reticulata '
Chachiensis' from Meijiang (core origin, MJ), Nantan (non-core origin, NT), and Nantan Xiancao (non-core origin with traditional Chinese medicine fertilizer, XC) were collected at the same period, and the physical and chemical traits, nutritional components, and antioxidant properties of the fruits were determined. The quality of different parts of the three kinds of
Citrus reticulata '
Chachiensis' fruits was comprehensively analyzed by correlation analysis and cluster analysis. The findings indicated that there were significant differences among the three
Citrus reticulata '
Chachiensis' fruits, including peel, pomace, seeds, and juice (
P<0.05). XC fruits exhibited the highest average single fruit weight and transverse diameter, as well as the largest fruit shape. The solid-acid ratio ranges of the three
Citrus reticulata '
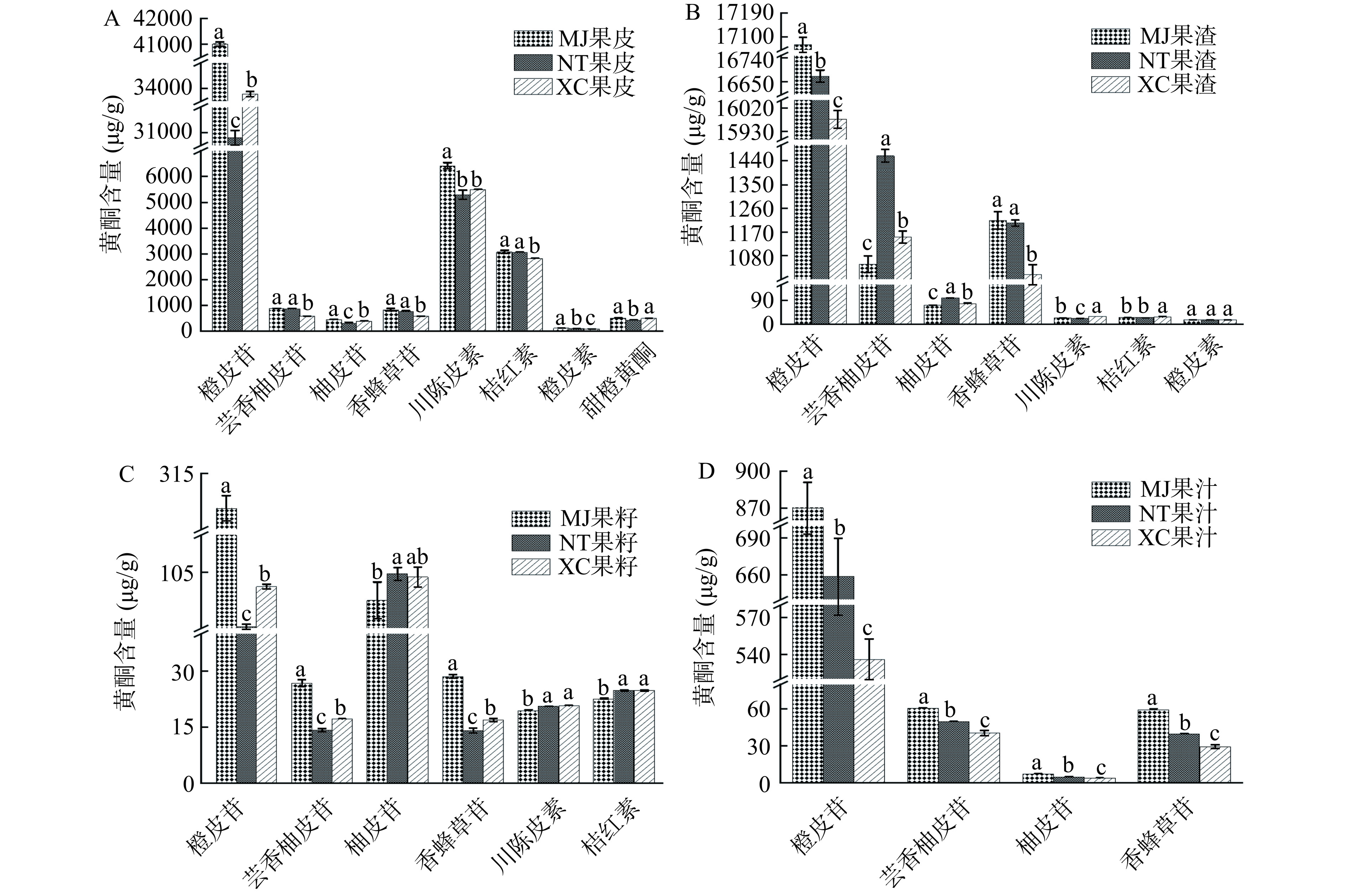
Chachiensis' fruit juices were 15.83~17.41, while the major organic acids content ranged from 25.82~29.35 mg/mL and the major soluble sugars content ranged from 122.28~133.63 mg/mL, respectively. Compared to NT juice, the levels of solid-acid ratio in MJ and XC juice were significantly higher by 9.92% and 9.98%, respectively (
P<0.05). Eight flavonoids were identified from the three
Citrus reticulata '
Chachiensis' fruits, among which hesperidin content was the highest. Compared to NT peel, the levels of total flavonoids, total phenols, ABTS and FRAP values in MJ and XC peel were significantly higher by 11.28% and 5.38%, 20.17% and 8.94%, 9.00% and 7.92%, 6.49% and 5.60%, respectively (
P<0.05). Hesperidin, naringin, sinensetin, total flavonoids, total phenols in peel and ascorbic acid, total phenols, total flavonoids in juice were significantly positively correlated with antioxidant activity, respectively (
P<0.05). The cluster analysis revealed that the compositional difference between MJ and NT fruits was large, while the difference between MJ and XC fruits was small. In conclusion, the MJ fruits demonstrate superior quality characteristics, which can provide scientific basis for the high quality and premium price of Guang Chen Pi (the pericarp of
Citrus reticulata Blanco's cultivars 'Chachi') in its core producing area. Additionally, the application of traditional Chinese medicine fertilizers can improve the fruit quality of
Citrus reticulata '
Chachiensis' in non-core producing areas.