• 中国科技期刊卓越行动计划项目资助期刊
  • 中国精品科技期刊
  • EI
  • Scopus
  • CAB Abstracts
  • Global Health
  • 北大核心期刊
  • DOAJ
  • EBSCO
  • 中国核心学术期刊RCCSE A+
  • 中国科技核心期刊CSTPCD
  • JST China
  • FSTA
  • 中国农林核心期刊
  • 中国开放获取期刊数据库COAJ
  • CA
  • WJCI
  • 食品科学与工程领域高质量科技期刊分级目录第一方阵T1
中国精品科技期刊2020
黄燕,苏悦,李施扬,等. 抗沙门氏菌后生元的筛选及其原始菌株全基因组分析[J]. 食品工业科技,2025,46(6):195−205. doi: 10.13386/j.issn1002-0306.2024040240.
引用本文: 黄燕,苏悦,李施扬,等. 抗沙门氏菌后生元的筛选及其原始菌株全基因组分析[J]. 食品工业科技,2025,46(6):195−205. doi: 10.13386/j.issn1002-0306.2024040240.
HUANG Yan, SU Yue, LI Shiyang, et al. Screening of Postbiotics against Salmonella and Whole Genome Analysis of the Original Strain[J]. Science and Technology of Food Industry, 2025, 46(6): 195−205. (in Chinese with English abstract). doi: 10.13386/j.issn1002-0306.2024040240.
Citation: HUANG Yan, SU Yue, LI Shiyang, et al. Screening of Postbiotics against Salmonella and Whole Genome Analysis of the Original Strain[J]. Science and Technology of Food Industry, 2025, 46(6): 195−205. (in Chinese with English abstract). doi: 10.13386/j.issn1002-0306.2024040240.

抗沙门氏菌后生元的筛选及其原始菌株全基因组分析

Screening of Postbiotics against Salmonella and Whole Genome Analysis of the Original Strain

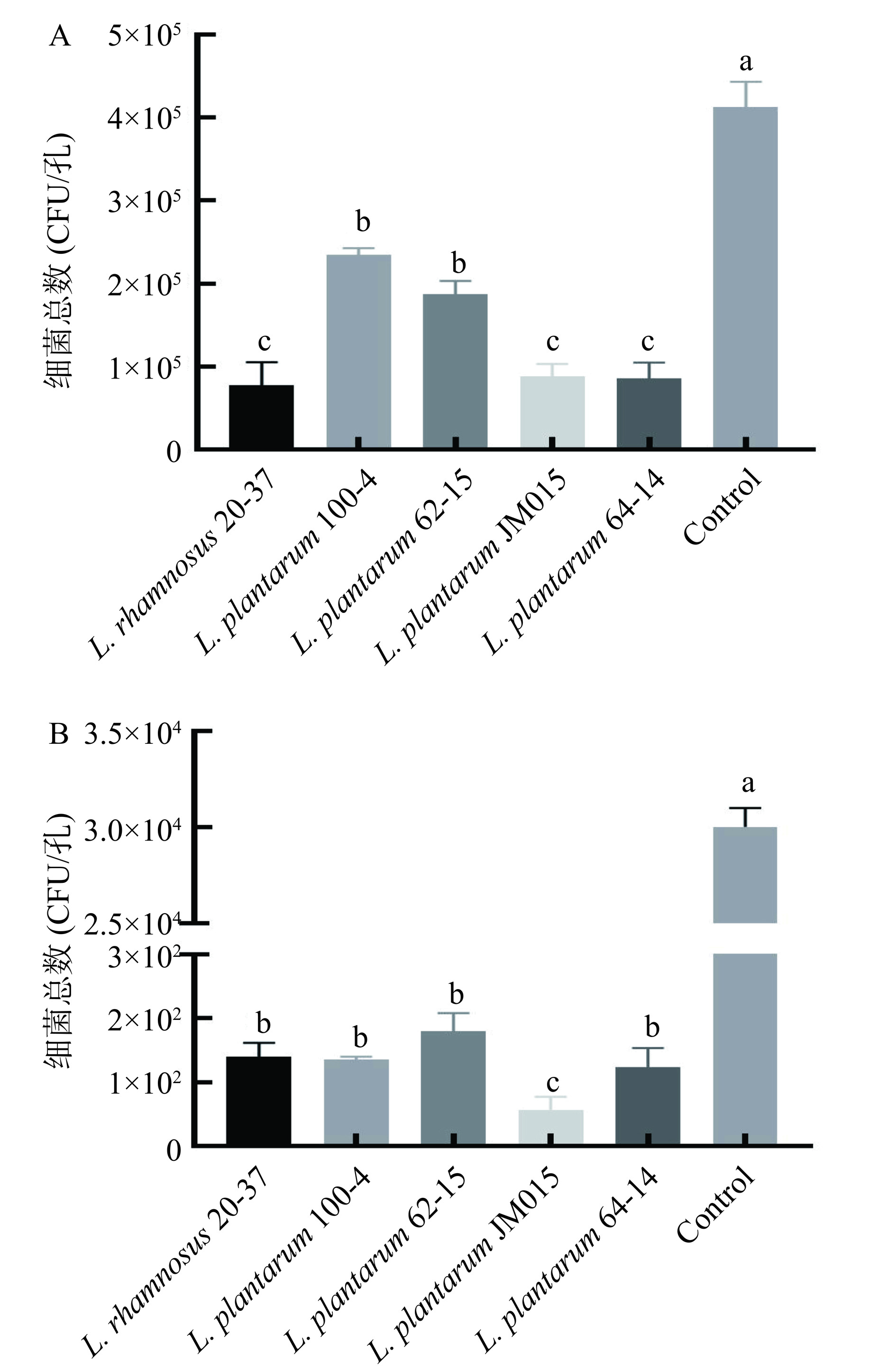
  • 摘要: 目的:筛选抗沙门氏菌效果良好的后生元,开发具有产业化价值的后生元原料。方法:测定30株乳酸菌后生元抑制鼠伤寒沙门氏菌生长的能力,筛选出效果最好的5株后生元。随后对这5株后生元抑制鼠伤寒沙门氏菌黏附和侵袭HT-29细胞的能力进行测定,筛选出效果最显著的后生元,并对其原始菌株进行全基因组测序和安全性评价。结果:植物乳杆菌JM015后生元的抑菌圈直径达到15.12±0.53 mm,同时能有效降低鼠伤寒沙门氏菌黏附和侵袭HT-29细胞90%以上。植物乳杆菌JM015的全基因组测序结果显示,其具有环内酯自诱导剂、萜类、核糖体合成和翻译后修饰肽-like和III型聚酮合酶等4个抑菌相关基因簇与1个与植物乳杆菌素的产生有关的基因簇。此外,其中还存在纤维连接蛋白、甘油醛3-磷酸脱氢酶和三糖-磷酸异构酶等多个黏附相关的编码基因。同时,经吲哚、溶血和硝酸盐还原酶活性等试验验证了植物乳杆菌JM015的安全性。结论:植物乳杆菌JM015后生元具有抗沙门氏菌的能力,可作为新的后生元原料用于产品开发。

     

    Abstract: Objective: To screen postbiotics with exceptional anti-Salmonella activity and develop postbiotic raw materials with industrialization value. Methods: The anti-Salmonella potential of 30 Lactobacillus postbiotic strains was evaluated, focusing on their ability to inhibit the growth of Salmonella enterica serovar Typhimurium (ST). The top five most effective strains were identified, and further assays were conducted to assess their capacity to inhibit ST adhesion and invasion in HT-29 cells. The most significant effective postbiotic was selected for whole genome sequencing and safety evaluation of its originating strain. Results: Lactobacillus plantarum (L. plantarum) JM015 postbiotic exhibited a notable inhibition zone diameter of 15.12±0.53 mm. It effectively reduced the adhesion and invasion of Salmonella to HT-29 cells by more than 90%. Whole genome sequencing of L. plantarum JM015 revealed four bacteriostasis-related gene clusters related to repression: cyclic-lactone-autoinducer, terpene, ribosomally synthesized and post-translationally modified peptide (RiPP)-like, and type III polyketide synthases (PKS). Additionally, it harbors a gene cluster associated with plantaricin production and several genes linked to adhesion, such as fibronectin, glyceraldehyde 3-phosphate dehydrogenase (GAPDH), and triosephosphate isomerase. The safety of the original strain was confirmed through tests for indole production, hemolysis, and nitrate reductase activity. Conclusion: The L. plantarum JM015 postbiotic demonstrates potent anti-Salmonella activity and can as a novel postbiotic ingredient for product development.

     

/

返回文章
返回