• 中国科技期刊卓越行动计划项目资助期刊
  • 中国精品科技期刊
  • 首都科技期刊卓越行动计划
  • EI
  • Scopus
  • CAB Abstracts
  • Global Health
  • 北大核心期刊
  • DOAJ
  • EBSCO
  • 中国核心学术期刊RCCSE A+
  • 中国科技核心期刊CSTPCD
  • JST China
  • FSTA
  • 中国农林核心期刊
  • 中国开放获取期刊数据库COAJ
  • CA
  • WJCI
  • 食品科学与工程领域高质量科技期刊分级目录第一方阵T1
中国精品科技期刊2020
童胜男,王金梅,马兴胜,等. 芹菜可溶性膳食纤维的性质及其协同TG酶改善未漂洗金线鱼鱼糜凝胶特性J. 食品工业科技,2025,46(9):52−64. doi: 10.13386/j.issn1002-0306.2024040324.
引用本文: 童胜男,王金梅,马兴胜,等. 芹菜可溶性膳食纤维的性质及其协同TG酶改善未漂洗金线鱼鱼糜凝胶特性J. 食品工业科技,2025,46(9):52−64. doi: 10.13386/j.issn1002-0306.2024040324.
TONG Shengnan, WANG Jinmei, MA Xingsheng, et al. Properties of Celery Soluble Dietary Fiber and Its Synergistic Effect with TG Enzyme to Improve Gel Properties of Nemipterus virgatus Unrinsed SurimiJ. Science and Technology of Food Industry, 2025, 46(9): 52−64. (in Chinese with English abstract). doi: 10.13386/j.issn1002-0306.2024040324.
Citation: TONG Shengnan, WANG Jinmei, MA Xingsheng, et al. Properties of Celery Soluble Dietary Fiber and Its Synergistic Effect with TG Enzyme to Improve Gel Properties of Nemipterus virgatus Unrinsed SurimiJ. Science and Technology of Food Industry, 2025, 46(9): 52−64. (in Chinese with English abstract). doi: 10.13386/j.issn1002-0306.2024040324.

芹菜可溶性膳食纤维的性质及其协同TG酶改善未漂洗金线鱼鱼糜凝胶特性

Properties of Celery Soluble Dietary Fiber and Its Synergistic Effect with TG Enzyme to Improve Gel Properties of Nemipterus virgatus Unrinsed Surimi

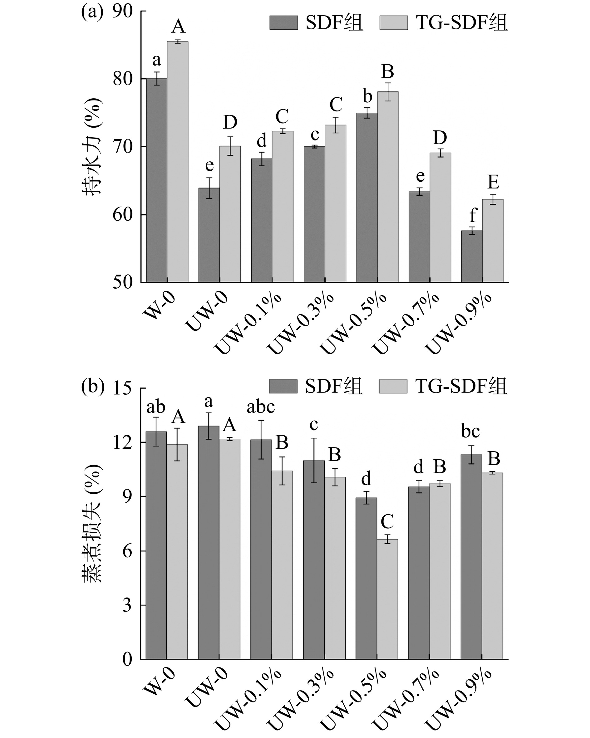
  • 摘要: 针对未漂洗鱼糜凝胶差,凝胶易劣化的问题,提取后测定芹菜可溶性膳食纤维(SDF)的基本性质(平均粒径、溶解度、持水力、持油力、膨胀力)、抗氧化特性(DPPH自由基清除活性、·OH清除活性、还原力)和结构特性(红外光谱、微观结构)并研究不同添加量SDF(0、0.1%、0.3%、0.5%、0.7%、0.9%)协同TG酶对未漂洗鱼糜凝胶特性(持水力、蒸煮损失、水分分布、凝胶强度、硬度、弹性、胶着度、咀嚼度、微观结构)的影响。结果表明:SDF平均粒径为11.35 μm,较对照组,SDF的溶解度、持水力、持油力、膨胀力均有所提升,具有一定的抗氧化能力,呈大块疏松空间排布;未漂洗鱼糜凝胶样品随着SDF和TG酶的加入,持水力、凝胶强度、质构特性均出现先增加后降低的趋势,蒸煮损失的变化则是先降低后增加,均在TG-UW-0.5%时达到最大或最小,此时未漂洗鱼糜凝胶的持水力为78.07%,蒸煮损失为6.65%,表面自由水含量为0.95%,凝胶强度为288.95 g·cm,硬度、弹性、胶着度和咀嚼度分别为3485.87 g、0.83、1891.19、1565.33 g;鱼糜凝胶表面均匀、致密,具有良好的凝胶特性。SDF和TG酶在改善未漂洗鱼糜凝胶特性上存在的协同作用,为二者在未漂洗鱼糜制品中的应用以及开发低脂鱼糜制品提供理论依据。

     

    Abstract: Addressing the issue of poor gelation and easy deterioration of unrinsed surimi, the basic properties (average particle size, solubility, water holding capacity, oil holding capacity, swelling capacity), antioxidant properties (DPPH radical scavenging activity, ·OH scavenging activity, reducing power) and structural properties (infrared spectroscopy, microstructure) of celery soluble dietary fibers (SDF), were determined after extraction. The effects of different amounts of SDF (0, 0.1%, 0.3%, 0.5%, 0.7%, 0.9%) and TGase on the gelation properties (water holding capacity, steaming loss, moisture distribution, gel strength, hardness, elasticity, adhesion, chewiness, microstructure) of unrinsed surimi were studied. The results showed that the average particle size of SDF was 11.35 μm, compared with the control group, the solubility, water-holding capacity, oil-holding capacity and swelling capacity of SDF were more improved, and it had a degree of antioxidant capacity, and it was arranged in a large and loose space. With the addition of SDF and TGase, the water holding capacity, gel strength and texture of unrinsed surimi gel showed a trend of increasing and then decreasing, however, the change in steaming loss was first decreased and then increased, all of which reached the maximum or minimum in the TG-UW-0.5%, at this point, the water holding capacity was 78.07%, the steaming loss was 6.65%, the free water content on the surface was 0.95%, and the gel strength was 288.95 g·cm, and the hardness, elasticity, gumminess and chewiness were 3485.87 g, 0.83, 1891.19, and 1565.33 g, respectively. The surface of surimi gel showed uniformity and denseness with good gelation properties. The synergistic effect of SDF and TGase in improving the gel properties of unrinsed surimi provides a theoretical basis for the application of both in unrinsed surimi products and the development of low-fat surimi products.

     

/

返回文章
返回