• 中国科技期刊卓越行动计划项目资助期刊
  • 中国精品科技期刊
  • 首都科技期刊卓越行动计划
  • EI
  • Scopus
  • CAB Abstracts
  • Global Health
  • 北大核心期刊
  • DOAJ
  • EBSCO
  • 中国核心学术期刊RCCSE A+
  • 中国科技核心期刊CSTPCD
  • JST China
  • FSTA
  • 中国农林核心期刊
  • 中国开放获取期刊数据库COAJ
  • CA
  • WJCI
  • 食品科学与工程领域高质量科技期刊分级目录第一方阵T1
中国精品科技期刊2020
黄宁,陈潇荷,孟令卿,等. 不同贮藏温度下的挤压重组米品质变化规律和货架期预测J. 食品工业科技,2025,46(9):317−328. doi: 10.13386/j.issn1002-0306.2024050031.
引用本文: 黄宁,陈潇荷,孟令卿,等. 不同贮藏温度下的挤压重组米品质变化规律和货架期预测J. 食品工业科技,2025,46(9):317−328. doi: 10.13386/j.issn1002-0306.2024050031.
HUANG Ning, CHEN Xiaohe, MENG Lingqing, et al. Quality Changes and Shelf Life Prediction of Extruded Rice at Different Storage TemperaturesJ. Science and Technology of Food Industry, 2025, 46(9): 317−328. (in Chinese with English abstract). doi: 10.13386/j.issn1002-0306.2024050031.
Citation: HUANG Ning, CHEN Xiaohe, MENG Lingqing, et al. Quality Changes and Shelf Life Prediction of Extruded Rice at Different Storage TemperaturesJ. Science and Technology of Food Industry, 2025, 46(9): 317−328. (in Chinese with English abstract). doi: 10.13386/j.issn1002-0306.2024050031.

不同贮藏温度下的挤压重组米品质变化规律和货架期预测

Quality Changes and Shelf Life Prediction of Extruded Rice at Different Storage Temperatures

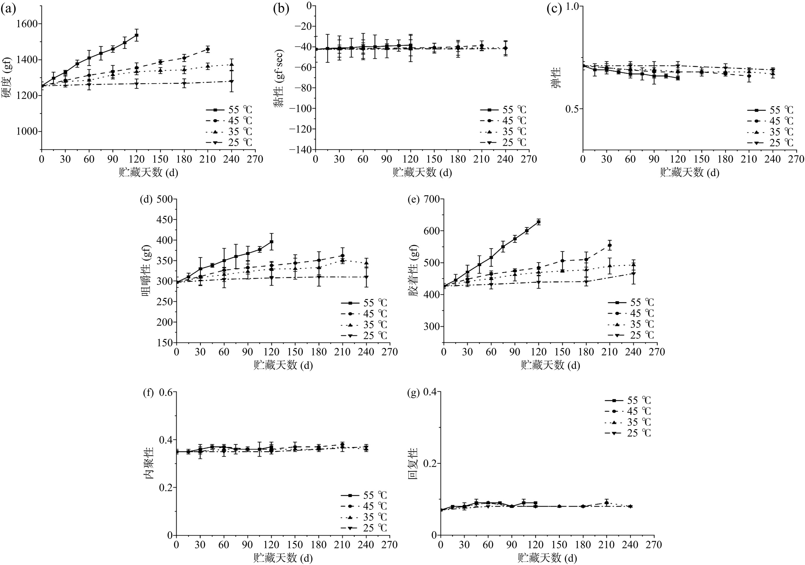
  • 摘要: 为探究挤压重组米在不同温度贮藏时的品质变化规律,分析了在25、35、45和55 ℃贮藏过程中理化指标、复水特性和感官品质的变化,同时采用动力学方程对关键指标进行拟合,结合Arrhenius方程建立货架期预测模型,最后采用XRD、DSC和SEM来验证淀粉老化的发生,进而说明引起挤压重组米品质劣变的原因。结果表明,随着贮藏时间延长,挤压重组米L*值和感官评分等在逐渐下降,b*值、复水时间、硬度和咀嚼性等逐渐上升,且贮存温度越高,变化速率越快。其中复水时间在25、35、45和55 ℃温度条件下贮存至120 d时增加率分别为7.14%、23.86%、31%与47.57%。以复水时间为指标的零级动力学模型拟合程度最高,并基于此建立的货架期预测模型误差小于10%。XRD结果证实了挤压重组米在贮藏过程中淀粉结晶度上升,DSC分析显示糊化焓值上升,45 ℃ 条件下贮存120 d增加至1481.33 J/g。微观结构表明挤压重组米表观形貌随贮存时间延长逐渐变得粗糙。综上所述,复水时间是挤压重组米贮存过程中品质劣变的关键指标,基于此建立的程货架期预测模型较为可靠,且复水时间的延长与淀粉老化的发生密切相关。

     

    Abstract: To investigate the quality changes of extruded restructured rice during storage at different temperatures, the changes in physicochemical properties, rehydration characteristics, and sensory qualities were analyzed during storage at 25, 35, 45 and 55 ℃. The rehydration time index was fitted by kinetic equations, and a shelf-life prediction model was established in conjunction with the Arrhenius equation. Finally, X-ray diffraction (XRD), differential scanning calorimetry (DSC) and scanning electron microscopy (SEM) were employed to verify the occurrence of starch retrogradation, thereby explaining the cause of the prolonged rehydration time of extruded restructured rice. The results indicated that with the extension of storage time, the L* value and sensory score of extruded rice gradually decreased, while the b* value, rehydration time, hardness and chewiness gradually increased, and the higher the storage temperature, the faster the rate of change. The increase rates of rehydration time at 25, 35, 45 and 55 ℃ storage at 120 days were 7.14%, 23.86%, 31% and 47.57%, respectively. The kinetic model using rehydration time as the index had the highest fit with the zero-order kinetic model, and the error of the shelf-life prediction model based on this was less than 10%. In addition, XRD analysis confirmed that the starch crystal structure became more ordered of extruded rice during storage. DSC analysis also showed that the gelatinization enthalpy significantly increased with the storage time, and gelatinization enthalpy increased to 1481.33 J/g after 120 days storage at 45 ℃. The apparent morphology of the microstructure became rough gradually. Consequently, rehydration time was considered as the key index of quality deterioration of extruded rice during storage. The shelf-life prediction model established based on this is relatively reliable. The prolongation of rehydration time during storage is related to starch retrogradation.

     

/

返回文章
返回