• 中国科技期刊卓越行动计划项目资助期刊
  • 中国精品科技期刊
  • 首都科技期刊卓越行动计划
  • EI
  • Scopus
  • CAB Abstracts
  • Global Health
  • 北大核心期刊
  • DOAJ
  • EBSCO
  • 中国核心学术期刊RCCSE A+
  • 中国科技核心期刊CSTPCD
  • JST China
  • FSTA
  • 中国农林核心期刊
  • 中国开放获取期刊数据库COAJ
  • CA
  • WJCI
  • 食品科学与工程领域高质量科技期刊分级目录第一方阵T1
中国精品科技期刊2020
庄晓琪,刘巧瑜,林泽钳,等. 低盐腌制对脆肉鲩冻融后品质的影响J. 食品工业科技,2025,46(8):76−84. doi: 10.13386/j.issn1002-0306.2024050062.
引用本文: 庄晓琪,刘巧瑜,林泽钳,等. 低盐腌制对脆肉鲩冻融后品质的影响J. 食品工业科技,2025,46(8):76−84. doi: 10.13386/j.issn1002-0306.2024050062.
ZHUANG Xiaoqi, LIU Qiaoyu, LIN Zeqian, et al. Effect of Low-salt Curing on the Quality of Crisp Grass Carp after Freeze-thaw TreatmentJ. Science and Technology of Food Industry, 2025, 46(8): 76−84. (in Chinese with English abstract). doi: 10.13386/j.issn1002-0306.2024050062.
Citation: ZHUANG Xiaoqi, LIU Qiaoyu, LIN Zeqian, et al. Effect of Low-salt Curing on the Quality of Crisp Grass Carp after Freeze-thaw TreatmentJ. Science and Technology of Food Industry, 2025, 46(8): 76−84. (in Chinese with English abstract). doi: 10.13386/j.issn1002-0306.2024050062.

低盐腌制对脆肉鲩冻融后品质的影响

Effect of Low-salt Curing on the Quality of Crisp Grass Carp after Freeze-thaw Treatment

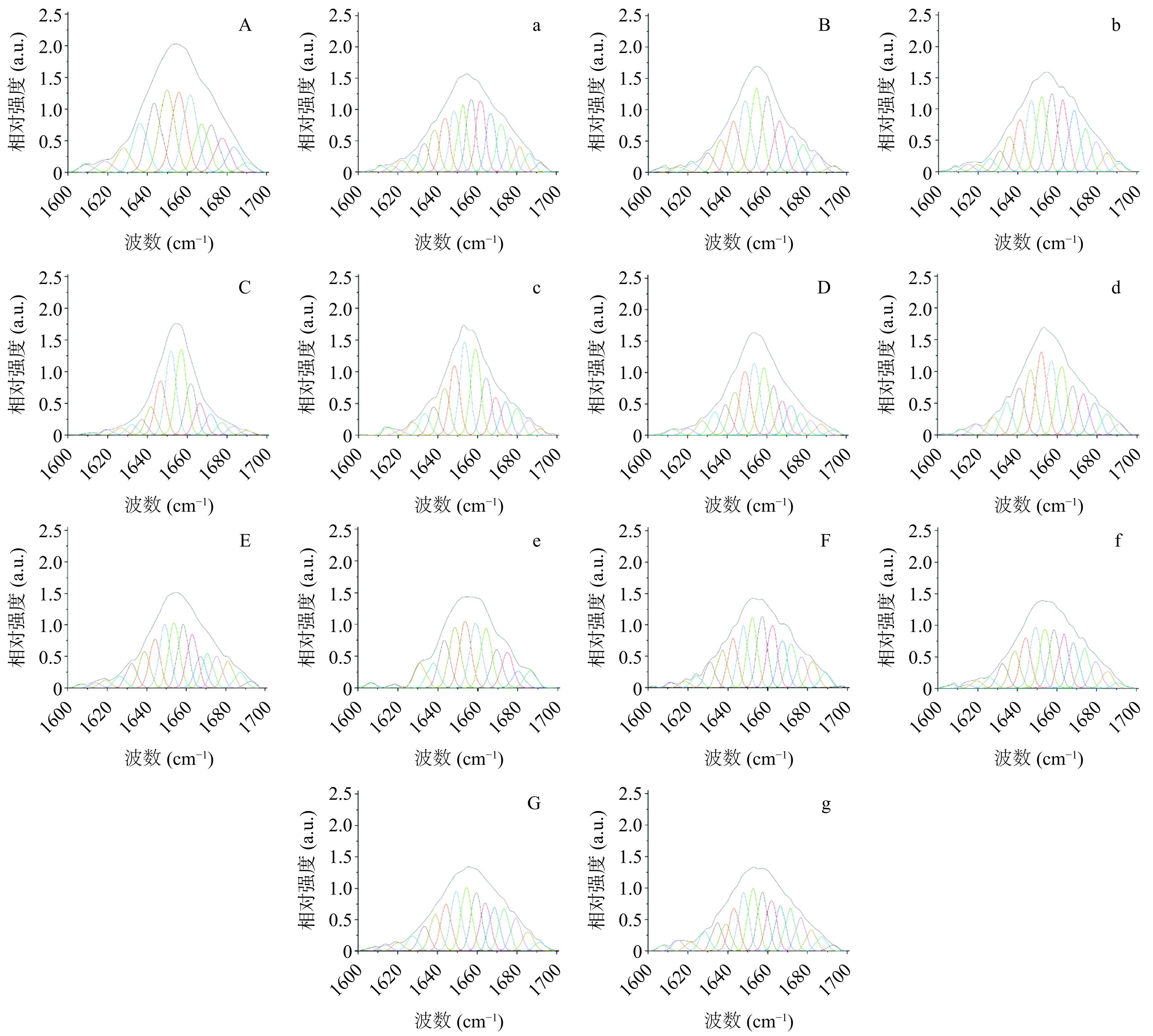
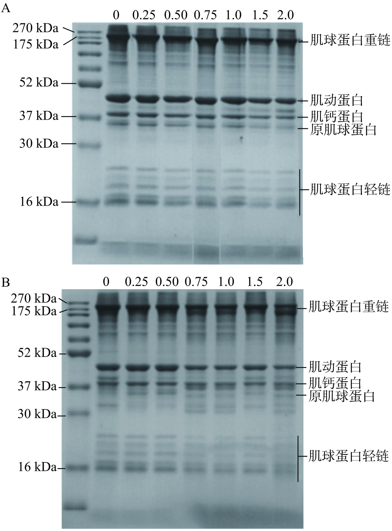
  • 摘要: 为探究盐浓度对冻融前后脆肉鲩鱼片品质和肌原纤维蛋白的影响,将脆肉鲩分别用0.25、0.5、0.75、1.0、1.5和2.0 mol/L的NaCl溶液于4 ℃腌制2 h,冻藏24 h后,测定脆肉鲩鱼片持水性、色泽、脂肪氧化、羰基、总巯基、十二烷基磺酸钠聚丙烯酰胺凝胶电泳(SDS-PAGE)、组织结构及肌原纤维蛋白结构等。结果表明:盐浓度为0.5~0.75 mol/L,冻融前后鱼片的持水性保持较好。盐浓度<1.00 mol/L,冻融前后鱼片的组织结构较为紧密。随着盐溶液浓度的增加,冻融后鱼片的L*值比冻融前较高,冻融前后鱼片的脂质氧化和蛋白质氧化程度加剧。SDS-PAGE图谱显示,盐浓度>1.5 mol/L,冻融前鱼片的肌原纤维蛋白降解程度增加。盐浓度为<0.75 mol/L,冻融后鱼片的肌原纤维蛋白降解程度保持稳定。拉曼光谱显示,盐浓度>0.75 mol/L,冻融前后鱼片的α-螺旋含量显著减少,蛋白降解程度加剧。综上,盐浓度≤0.75 mol/L时,冻融前后脆肉鲩鱼片的品质变化较小,能够延缓蛋白氧化降解。

     

    Abstract: To investigate the effect of salt concentration on the quality and myofibrillar protein of crisp grass carp fillets before and after a single freeze-thaw cycle, fillets were marinated in 0.25, 0.5, 0.75, 1.0, 1.5, and 2.0 mol/L NaCl solutions at 4 ℃ for 2 h. Following a 24 h freezing period, water-holding capacity, color, lipid oxidation, carbonyl content, total sulfhydryl content, SDS-PAGE profiles, microstructure, and myofibrillar protein structure were evaluated. It was found that fillets retained water better when the salt concentration ranged from 0.5 to 0.75 mol/L. The fillets exhibited a relatively tight tissue structure before and after freezing and thawing when the salt concentration was less than 1.00 mol/L. With increasing salt solution concentration, the L* value of fish fillets after freeze-thawing was higher than before freeze-thawing. Lipid oxidation and protein oxidation of fish fillets increased after freezing and thawing. SDS-PAGE analysis revealed that myofibrillar protein degradation increased before freezing and thawing with salt concentrations >1.5 mol/L. The degree of myofibrillar protein degradation remained stable after freezing and thawing when the salt concentration was <0.75 mol/L. Raman spectra showed that the α-helix content of fish fillets was significantly reduced, and the degree of protein degradation was intensified before and after freezing and thawing when the salt concentration was >0.75 mol/L. In conclusion, when the salt concentration is ≤0.75 mol/L, the quality of crisp grass carp fillets changes little before and after freezing and thawing, which can delay the oxidative degradation of proteins.

     

/

返回文章
返回