• 中国科技期刊卓越行动计划项目资助期刊
  • 中国精品科技期刊
  • 首都科技期刊卓越行动计划
  • EI
  • Scopus
  • CAB Abstracts
  • Global Health
  • 北大核心期刊
  • DOAJ
  • EBSCO
  • 中国核心学术期刊RCCSE A+
  • 中国科技核心期刊CSTPCD
  • JST China
  • FSTA
  • 中国农林核心期刊
  • 中国开放获取期刊数据库COAJ
  • CA
  • WJCI
  • 食品科学与工程领域高质量科技期刊分级目录第一方阵T1
中国精品科技期刊2020
张锐,李海天,高志威,等. 泡沫分离耦合超滤法回收玉米淀粉加工废水中蛋白及结构与功能性质J. 食品工业科技,2025,46(8):211−221. doi: 10.13386/j.issn1002-0306.2024050063.
引用本文: 张锐,李海天,高志威,等. 泡沫分离耦合超滤法回收玉米淀粉加工废水中蛋白及结构与功能性质J. 食品工业科技,2025,46(8):211−221. doi: 10.13386/j.issn1002-0306.2024050063.
ZHANG Rui, LI Haitian, GAO Zhiwei, et al. Recovery of Proteins and Structural and Functional Properties of Corn Starch Processing Wastewater by Foam Separation Coupled with UltrafiltrationJ. Science and Technology of Food Industry, 2025, 46(8): 211−221. (in Chinese with English abstract). doi: 10.13386/j.issn1002-0306.2024050063.
Citation: ZHANG Rui, LI Haitian, GAO Zhiwei, et al. Recovery of Proteins and Structural and Functional Properties of Corn Starch Processing Wastewater by Foam Separation Coupled with UltrafiltrationJ. Science and Technology of Food Industry, 2025, 46(8): 211−221. (in Chinese with English abstract). doi: 10.13386/j.issn1002-0306.2024050063.

泡沫分离耦合超滤法回收玉米淀粉加工废水中蛋白及结构与功能性质

Recovery of Proteins and Structural and Functional Properties of Corn Starch Processing Wastewater by Foam Separation Coupled with Ultrafiltration

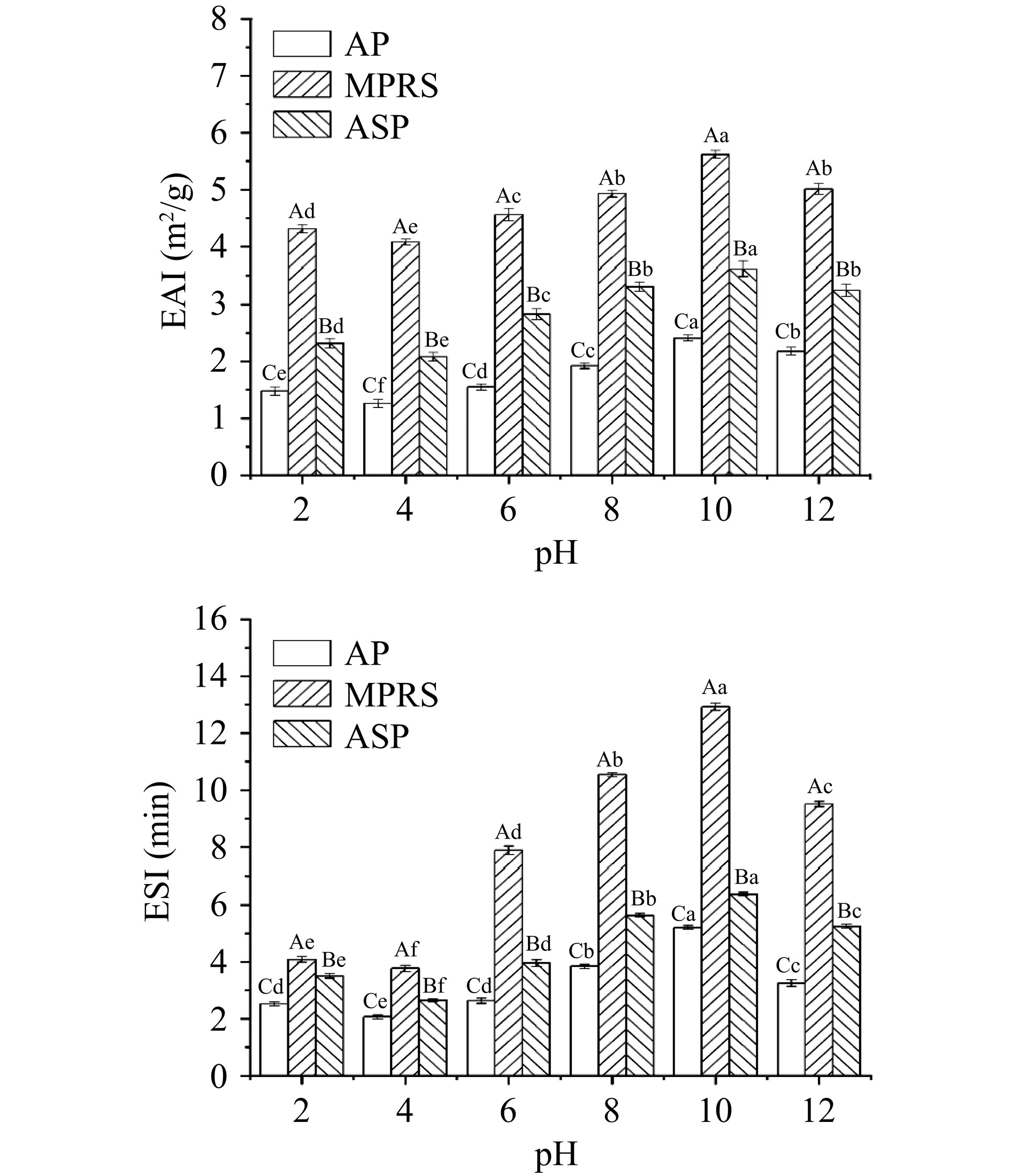
  • 摘要: 为解决玉米淀粉加工废水中蛋白难回收问题,实现废水资源化利用。本研究提出了泡沫分离耦合超滤(Ultrafiltration,UF)的方法对其中的蛋白进行回收,探究了不同参数条件对蛋白截留率的影响。通过单因素实验及响应面试验确定最佳工艺参数,然后采取醇沉(Alcohol Precipitation,AP)、盐析(Ammonium Sulfate Precipitation,ASP)、大孔树脂(Macroporous Resin,MPRS)方法分别提取蛋白。利用扫描电镜、傅里叶红外光谱(Fourier Transform Infrared Spectroscopy,FTIR)、紫外光谱和内源荧光光谱对蛋白结构进行鉴定。通过溶解度、持水力、吸油性、起泡及泡沫稳定性、乳化及乳化稳定性对三种方式提取的蛋白进行性质分析。最终确定了当废水pH为8、流速100 L/h、温度为40 ℃的最佳工艺参数,此时蛋白截留率最高可达到92.93%。AP蛋白呈乳白分散颗粒状;ASP蛋白呈乳白连续蓬松状;而MPRS蛋白呈微黄致密光滑状,且相比于另两种蛋白具有更好的溶解度、泡沫稳定性、乳化性和乳化稳定性。当pH为10时,MPRS蛋白乳化性和乳化稳定性达到最大,分别为5.62 m2/g和12.92 min,表明通过大孔树脂法提取的蛋白在食品工业领域具有更大的应用潜力。

     

    Abstract: In order to solve the problem of difficult recovery of protein in corn starch processing wastewater and realize the resource utilization of wastewater. In this study, the foam separation coupled with ultrafiltration (UF) method was proposed to recover the protein therein, and the effect of different parameter conditions on protein retention were investigated. The optimal process parameters were determined by single-factor and response surface design methods, and then alcohol precipitation (AP), ammonium sulfate precipitation (ASP), and microporous resin (MPRS) methods were then adopted to extract the protein, respectively. The protein structures were characterized by scanning electron microscopy, Fourier transform infrared spectroscopy (FTIR), ultraviolet spectroscopy, and intrinsic fluorescence spectroscopy. The properties of proteins extracted by three methods were analyzed by solubility, water-holding capacity, oil-absorbent property, foaming and foam stability, emulsifying and lactation stability. The optimal process parameters were determined when the pH of the wastewater was 8, the flow rate was 100 L/h, and the temperature was 40 ℃, at which the protein retention rate could reach up to 92.93%. AP protein was in the form of milky dispersed granules with poor stability. ASP protein was in the form of milky continuous fluffy with good water holding, oil absorption, and foam stability. MPRS protein was slightly yellowish, dense and smooth, and had better solubility, foam stability, emulsification and emulsion stability than the other two proteins. When the pH was 10, the emulsifiability and emulsion stability of MPRS protein reached the maximum of 5.62 m2/g and 12.92 min, respectively, indicating that the protein extracted by the macroporous resin method had a greater potential for application in the food industry.

     

/

返回文章
返回