• 中国科技期刊卓越行动计划项目资助期刊
  • 中国精品科技期刊
  • EI
  • Scopus
  • CAB Abstracts
  • Global Health
  • 北大核心期刊
  • DOAJ
  • EBSCO
  • 中国核心学术期刊RCCSE A+
  • 中国科技核心期刊CSTPCD
  • JST China
  • FSTA
  • 中国农林核心期刊
  • 中国开放获取期刊数据库COAJ
  • CA
  • WJCI
  • 食品科学与工程领域高质量科技期刊分级目录第一方阵T1
中国精品科技期刊2020
尹浩,朱将雄,钟宇,等. 汉麻籽中靶向抑制胰脂肪酶/胆固醇酯酶多肽的快速鉴定筛选及活性探究[J]. 食品工业科技,2025,46(9):114−123. doi: 10.13386/j.issn1002-0306.2024050168.
引用本文: 尹浩,朱将雄,钟宇,等. 汉麻籽中靶向抑制胰脂肪酶/胆固醇酯酶多肽的快速鉴定筛选及活性探究[J]. 食品工业科技,2025,46(9):114−123. doi: 10.13386/j.issn1002-0306.2024050168.
YIN Hao, ZHU Jiangxiong, ZHONG Yu, et al. Insights Into Rapid Identification, Screening and Activity Investigation of Novel Hemp Seed Pancreatic Lipase/Cholesterol Esterase Inhibitory Peptides[J]. Science and Technology of Food Industry, 2025, 46(9): 114−123. (in Chinese with English abstract). doi: 10.13386/j.issn1002-0306.2024050168.
Citation: YIN Hao, ZHU Jiangxiong, ZHONG Yu, et al. Insights Into Rapid Identification, Screening and Activity Investigation of Novel Hemp Seed Pancreatic Lipase/Cholesterol Esterase Inhibitory Peptides[J]. Science and Technology of Food Industry, 2025, 46(9): 114−123. (in Chinese with English abstract). doi: 10.13386/j.issn1002-0306.2024050168.

汉麻籽中靶向抑制胰脂肪酶/胆固醇酯酶多肽的快速鉴定筛选及活性探究

Insights Into Rapid Identification, Screening and Activity Investigation of Novel Hemp Seed Pancreatic Lipase/Cholesterol Esterase Inhibitory Peptides

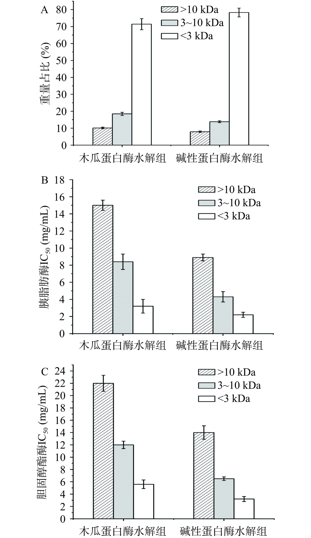
  • 摘要: 本研究旨在快速筛选鉴定汉麻籽蛋白水解物(Hemp seed protein hydrolysates,HSPHs)中的胰脂肪酶(Pancreatic lipase,PL)和胆固醇酯酶(Cholesterol esterase,CE)抑制肽,验证其活性并初步分析其分子机制。首先探究了HSPHs在不同缓冲液体系下的PL和CE抑制活性,然后通过超滤、肽组学和虚拟筛选相结合的方法对PL和CE抑制肽进行快速鉴定筛选,最后验证其活性并采用分子对接探究分子相互作用类型。研究发现,与常规缓冲液体系相比,模拟肠液体系减弱了HSPHs对PL的抑制作用,但提高了对CE的抑制作用,因此后续采用模拟肠液体系检测PL和CE抑制活性。碱性蛋白酶和木瓜蛋白酶HSPHs中小于3 kDa的部分具有最高的PL/CE抑制活性,对其多肽序列进行鉴定后选取含量和潜在活性较高的136条多肽建立候选肽库,从中鉴定出14种结合能较低的PL和CE抑制肽。体外活性验证表明APAM和RLPA对PL和CE同时表现出良好的抑制能力。分子对接结果表明APAM和RLPA可能通过与酶活性位点及位点表面环中的残基发生氢键和疏水作用来限制酶活性位点的暴露以及反应底物的进入,从而抑制PL和CE的活性。本研究表明汉麻籽是开发控制脂质消化酶抑制肽的潜在来源,为后续开发汉麻籽降脂肽产品提供了参考依据。

     

    Abstract: This study aimed to rapidly screen and identify pancreatic lipase (PL) and cholesterol esterase (CE) inhibitory peptides from hemp seed protein hydrolysates (HSPHs), and validate their activities, accompanied by preliminarily analyzing their molecular mechanisms. Initially, the PL and CE inhibitory activities of HSPHs were explored under different buffer systems. Subsequently, a combination of ultrafiltration, peptidomics, and virtual screening methods was employed for the rapid identification and screening of PL and CE inhibitory peptides. Finally, their activities were validated, and molecular docking was used to investigate the types of molecular interactions involved. The results indicated that, compared to conventional buffer systems, the simulated intestinal fluid system reduced the inhibitory effect of HSPHs on PL but enhanced their inhibitory effect on CE. Therefore, subsequent tests of PL and CE inhibitory activities were conducted using the simulated intestinal fluid system. The fractions of HSPHs smaller than 3 kDa, released by alcalase and papain, exhibited the highest PL/CE inhibitory activities. After identifying the peptide sequences, 136 peptides with higher content and potential activity were selected to establish a candidate peptide library. From this library, 14 peptides with lower binding energies were identified as PL and CE inhibitory peptides. In vitro activity validation demonstrated that APAM and RLPA exhibited significant inhibitory effects on both PL and CE. Molecular docking results suggested that APAM and RLPA might inhibit the activities of PL and CE by forming hydrogen bonds and hydrophobic interactions with the residues at the enzyme active sites and surface loops, thereby restricting the exposure of the active sites and the entry of substrates. This study indicates that hemp seeds are a potential source for developing lipid digestion enzyme inhibitory peptides, providing a reference for the subsequent development of lipid-lowering peptide products from hemp seeds.

     

/

返回文章
返回