• 中国科技期刊卓越行动计划项目资助期刊
  • 中国精品科技期刊
  • EI
  • Scopus
  • CAB Abstracts
  • Global Health
  • 北大核心期刊
  • DOAJ
  • EBSCO
  • 中国核心学术期刊RCCSE A+
  • 中国科技核心期刊CSTPCD
  • JST China
  • FSTA
  • 中国农林核心期刊
  • 中国开放获取期刊数据库COAJ
  • CA
  • WJCI
  • 食品科学与工程领域高质量科技期刊分级目录第一方阵T1
中国精品科技期刊2020
陈娟,钟苑仪,富国文,等. 干腌火腿新型减盐策略及其机制研究进展[J]. 食品工业科技,2025,46(9):435−444. doi: 10.13386/j.issn1002-0306.2024050210.
引用本文: 陈娟,钟苑仪,富国文,等. 干腌火腿新型减盐策略及其机制研究进展[J]. 食品工业科技,2025,46(9):435−444. doi: 10.13386/j.issn1002-0306.2024050210.
CHEN Juan, ZHONG Yuanyi, FU Guowen, et al. Research Progress on Novel Salt Reduction Strategy and Mechanism of Dry-cured Ham[J]. Science and Technology of Food Industry, 2025, 46(9): 435−444. (in Chinese with English abstract). doi: 10.13386/j.issn1002-0306.2024050210.
Citation: CHEN Juan, ZHONG Yuanyi, FU Guowen, et al. Research Progress on Novel Salt Reduction Strategy and Mechanism of Dry-cured Ham[J]. Science and Technology of Food Industry, 2025, 46(9): 435−444. (in Chinese with English abstract). doi: 10.13386/j.issn1002-0306.2024050210.

干腌火腿新型减盐策略及其机制研究进展

Research Progress on Novel Salt Reduction Strategy and Mechanism of Dry-cured Ham

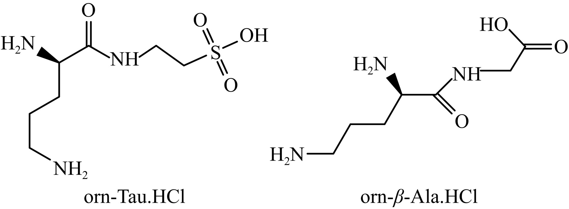
  • 摘要: 干腌火腿因其独特的风味和丰富的文化传承成为人们餐桌上备受喜爱的美味食物之一,深受广大消费者的欢迎,但其食盐含量过高问题对人们的身体健康造成了威胁并严重阻碍了其产业的发展。如何在确保干腌火腿品质和安全性的前提下降低食盐含量越发成为人们关注的焦点。本文综述了钠盐替代、风味增强剂、食盐物理形态改性、咸味肽以及介导腌制技术(物理介导:真空、超声波、超高压、脉冲电场技术;外源介导:加入糖、多羟基醇等外源物)的常见和新型减盐策略对低钠干腌火腿品质的影响及其降盐机制。此外,各减盐策略的优缺点也在文中进行了比较,发现单一的减盐方法仍存在一定的局限性。因此,将多种方法联合使用是实现减盐更有效的途径。本文旨在为生产出品质和安全性理想的低钠干腌火腿提供新思路及理论参考。

     

    Abstract: Dry-cured ham, one of delicious food with unique flavor and rich cultural heritage, is preferred by consumers and becomes a favorite food on people's table. However, since high salt content threatens people's health, it has seriously brought about hindering the development of ham industry. It has become the focus of people's attention to reduce the salt content of ham under the premise of ensuring the quality and safety of dry-cured ham. In this paper, several common and novel salt reduction strategies, which can potentially influence on the quality of low-sodium dry-cured ham, include sodium salt substitute, flavor enhancer, physical form modification of salt, salty peptide, and mediated curing techniques including not only physical mediation: vacuum, ultrasonic, ultra-high pressure, and pulsed electric field technology, but also exogenous mediations: adding exogenous substances such as sugar and polyhydroxyl alcohol and their mechanism of salt reduction are reviewed. It also compares the advantages and disadvantages of each salt reduction strategy and suggests that it still has certain limitations to produce ham by a single salt reduction method, the combination of multiple methods is thus a more effective way to achieve salt reduction. This paper aims to provide new insight and theoretical references for the production of low-sodium dry-cured ham with high quality and safety.

     

/

返回文章
返回