• 中国科技期刊卓越行动计划项目资助期刊
  • 中国精品科技期刊
  • 首都科技期刊卓越行动计划
  • EI
  • Scopus
  • CAB Abstracts
  • Global Health
  • 北大核心期刊
  • DOAJ
  • EBSCO
  • 中国核心学术期刊RCCSE A+
  • 中国科技核心期刊CSTPCD
  • JST China
  • FSTA
  • 中国农林核心期刊
  • 中国开放获取期刊数据库COAJ
  • CA
  • WJCI
  • 食品科学与工程领域高质量科技期刊分级目录第一方阵T1
中国精品科技期刊2020
吴海星,黄安妮,高霞,等. Lysinibacillus sphaericus胶原酶的异源表达、鉴定及其在抗氧化活性肽制备中的应用J. 食品工业科技,2025,46(6):206−216. doi: 10.13386/j.issn1002-0306.2024050254.
引用本文: 吴海星,黄安妮,高霞,等. Lysinibacillus sphaericus胶原酶的异源表达、鉴定及其在抗氧化活性肽制备中的应用J. 食品工业科技,2025,46(6):206−216. doi: 10.13386/j.issn1002-0306.2024050254.
WU Haixing, HUANG Anni, GAO Xia, et al. Heterologous Expression and Characterization of Collagenase from Lysinibacillus sphaericus and Its Application in the Preparation of Antioxidant PeptidesJ. Science and Technology of Food Industry, 2025, 46(6): 206−216. (in Chinese with English abstract). doi: 10.13386/j.issn1002-0306.2024050254.
Citation: WU Haixing, HUANG Anni, GAO Xia, et al. Heterologous Expression and Characterization of Collagenase from Lysinibacillus sphaericus and Its Application in the Preparation of Antioxidant PeptidesJ. Science and Technology of Food Industry, 2025, 46(6): 206−216. (in Chinese with English abstract). doi: 10.13386/j.issn1002-0306.2024050254.

Lysinibacillus sphaericus胶原酶的异源表达、鉴定及其在抗氧化活性肽制备中的应用

Heterologous Expression and Characterization of Collagenase from Lysinibacillus sphaericus and Its Application in the Preparation of Antioxidant Peptides

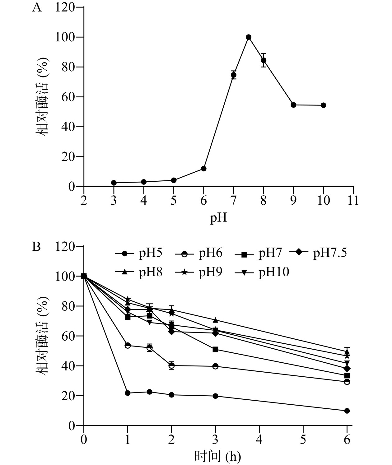
  • 摘要: 目的:对来源于Lysinibacillus sphaericus的胶原酶LsCol1进行异源表达、纯化、酶学性质及底物特异性研究,并用于水解罗非鱼皮胶原蛋白制备抗氧化活性肽,以期为新型胶原酶资源的开发及其在生物活性肽制备中的应用提供理论依据。方法:使用序列分析工具BLAST、Clustal Omega等分析LsCol1的氨基酸序列,利用AlphaFold 3预测其三维结构,借助化学合成技术获得LsCol1的基因序列全长并在Escherichia coli中异源表达,使用镍亲和层析色谱分离纯化LsCol1,研究其酶学特性及底物特异性,最后利用LsCol1水解罗非鱼皮胶原蛋白制备抗氧化活性肽。结果:LsCol1基因序列全长为3219 bp,编码1072个氨基酸,N端含有催化域,C端附属结构域由一个多囊肾病样结构域和两个胶原结合结构域组成。纯化后的重组胶原酶LsCol1分子量为120 kDa,最适反应温度和pH分别为37 ℃和7.5,在低于30 ℃和pH7.0~10.0范围内稳定性较好,Ca2+对LsCol1的酶活力呈促进作用。底物特异性实验结果表明,LsCol1的最适作用底物为罗非鱼皮胶原蛋白。以罗非鱼皮胶原蛋白为底物制备的水解物具有良好的抗氧化活性,当水解物浓度为4 mg/mL时,其1,1-二苯基-2-三硝基苯肼自由基、2,2-联氮-二(3-乙基-苯并噻唑-6-磺酸)二铵盐自由基和羟基自由基清除率分别为65.9%、97.6%和32.1%。结论:L. sphaericus来源的重组胶原酶LsCol1具有良好的催化活性,在抗氧化活性肽制备方面具有潜在的应用价值。

     

    Abstract: Objective: Collagenase from Lysinibacillus sphaericus (LsCol1) was heterologously expressed and purified, and its enzymatic property and substrate specificity were determined. It was then used to hydrolyze tilapia skin collagen to prepare antioxidant peptides, with the aim of providing a theoretical basis for the development of a new collagenase resource and its application in the preparation of bioactive peptides. Methods: The amino acid sequence of LsCol1 was analyzed using BLAST and Clustal Omega, and the three-dimensional structure was predicted using AlphaFold 3. The gene sequence of LsCol1 was obtained using chemical synthesis technology, and it was then heterologously expressed in Escherichia coli. LsCol1 was purified using nickel affinity chromatography, and its enzymatic properties and substrate specificity were studied. Finally, the antioxidant peptide was prepared by hydrolyzing tilapia skin collagen with LsCol1. Results: The full length of LsCol1 gene was 3219 bp and encoded 1072 amino acids. The N-terminal of LsCol1 had a catalytic domain, and the C-terminal accessory domain consists of a polycystic kidney disease-like domain and two collagen-binding domains. The molecular weight of purified recombinant collagenase LsCol1 was 120 kDa. The optimal reaction temperature and pH of LsCol1 were 37 ℃ and 7.5, respectively, and it was relatively stable in the range below 30 ℃ and pH7.0~10.0. Ca2+ promoted LsCol1 activity. The substrate specificity experiment showed that the optimal substrate for LsCol1 was tilapia skin collagen. The hydrolysate prepared from tilapia skin collagen displayed good antioxidant activity, with 1,1-diphenyl-2-picrylhydrazyl radical, 2,2'-azino-bis(3-ethylbenzothiazoline-6-sulfonic acid) radical, and hydroxyl radical, scavenging rates of 65.9%, 97.6%, and 32.1%, respectively, at a concentration of 4 mg/mL. Conclusion: The collagenase LsCol1 from L. sphaericus had high catalytic capacity and potential application in the preparation of bioactive peptides.

     

/

返回文章
返回