• 中国科技期刊卓越行动计划项目资助期刊
  • 中国精品科技期刊
  • 首都科技期刊卓越行动计划
  • EI
  • Scopus
  • CAB Abstracts
  • Global Health
  • 北大核心期刊
  • DOAJ
  • EBSCO
  • 中国核心学术期刊RCCSE A+
  • 中国科技核心期刊CSTPCD
  • JST China
  • FSTA
  • 中国农林核心期刊
  • 中国开放获取期刊数据库COAJ
  • CA
  • WJCI
  • 食品科学与工程领域高质量科技期刊分级目录第一方阵T1
中国精品科技期刊2020
潘志涛,华婷玉,王啸云,等. 陈皮黑茶提取物协同陈皮挥发油的体外降糖、降脂及抗氧化活性J. 食品工业科技,2025,46(8):341−350. doi: 10.13386/j.issn1002-0306.2024050299.
引用本文: 潘志涛,华婷玉,王啸云,等. 陈皮黑茶提取物协同陈皮挥发油的体外降糖、降脂及抗氧化活性J. 食品工业科技,2025,46(8):341−350. doi: 10.13386/j.issn1002-0306.2024050299.
PAN Zhitao, HUA Tingyu, WANG Xiaoyun, et al. In Vitro Hypoglycemic, Hypolipidemic Activities and Antioxidant Capacity of Dark Tea and Pericarpium Citri Reticulatae Extract with Pericarpium Citri Reticulatae Volatile OilJ. Science and Technology of Food Industry, 2025, 46(8): 341−350. (in Chinese with English abstract). doi: 10.13386/j.issn1002-0306.2024050299.
Citation: PAN Zhitao, HUA Tingyu, WANG Xiaoyun, et al. In Vitro Hypoglycemic, Hypolipidemic Activities and Antioxidant Capacity of Dark Tea and Pericarpium Citri Reticulatae Extract with Pericarpium Citri Reticulatae Volatile OilJ. Science and Technology of Food Industry, 2025, 46(8): 341−350. (in Chinese with English abstract). doi: 10.13386/j.issn1002-0306.2024050299.

陈皮黑茶提取物协同陈皮挥发油的体外降糖、降脂及抗氧化活性

In Vitro Hypoglycemic, Hypolipidemic Activities and Antioxidant Capacity of Dark Tea and Pericarpium Citri Reticulatae Extract with Pericarpium Citri Reticulatae Volatile Oil

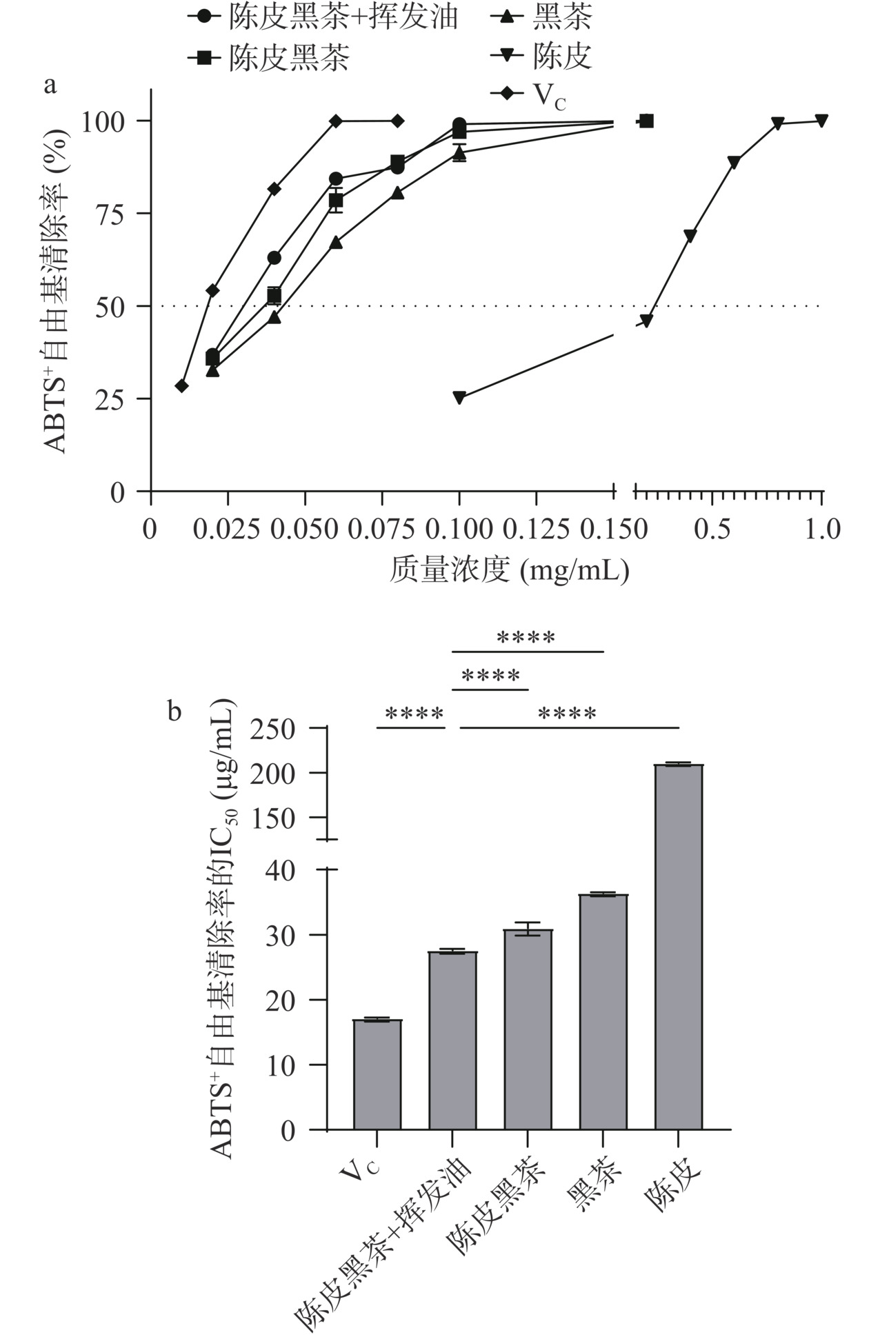
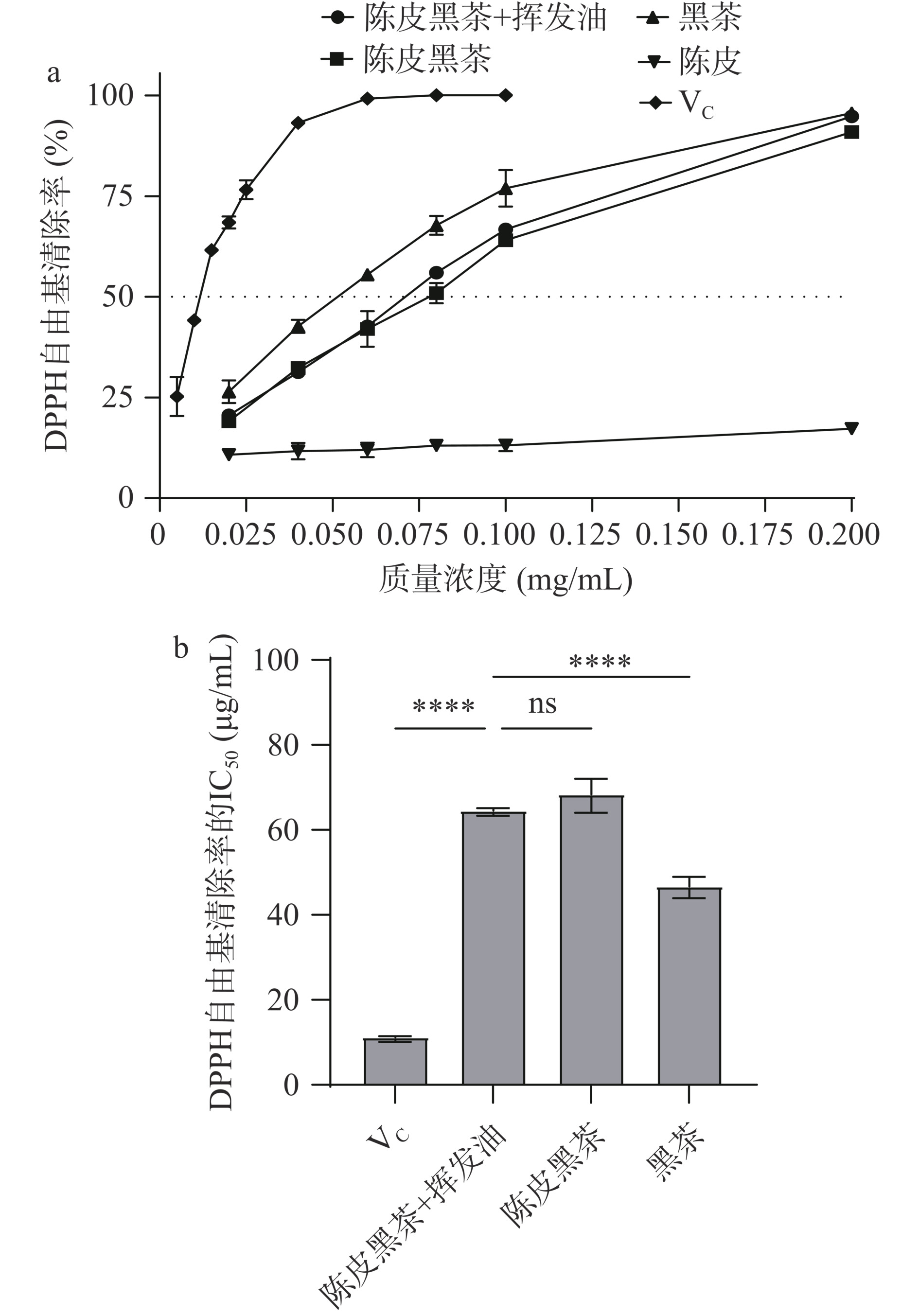
  • 摘要: 目的:探讨陈皮挥发油协同陈皮黑茶提取物的降糖降脂功能和抗氧化活性。方法:首先利用气相色谱法-质谱联用(Gas Chromatography-Mass Spectrometry,GC-MS)分析了陈皮挥发油成分,再分别采用陈皮、黑茶、陈皮黑茶提取物和陈皮挥发油为原料,以阿卡波糖、奥利司他和维生素C(Vitamin C,VC)为对照,研究其对α-葡萄糖苷酶、胰α-淀粉酶、胰脂肪酶活性和对DPPH、ABTS+自由基清除率的影响。结果:柠檬烯为陈皮挥发油主要成分,其相对含量为62.89%;陈皮黑茶+挥发油组(0.1 mg/mL)对α-葡萄糖苷酶的抑制率达83.38%±1.82%,IC50值的顺序为:阿卡波糖<黑茶<陈皮黑茶+挥发油<陈皮黑茶<陈皮,所有组别对胰脂肪酶抑制率的IC50值在1.77~2.60 mg/mL范围内;陈皮黑茶+挥发油组(0.2 mg/mL)的DPPH自由基清除率为94.85%±1.39%;对ABTS+自由基清除率的IC50值在27.62~210.90 μg/mL;对DPPH自由基清除率的IC50值在46.73~68.39 μg/mL。陈皮黑茶所有组别对胰α-淀粉酶活性抑制率小于30%。结论:陈皮黑茶提取物具有良好的抗氧化能力与降糖、降脂活性,添加陈皮挥发油能提高陈皮黑茶提取物的抗氧化及降糖降脂能力。本研究为陈皮黑茶开发降血糖降血脂和抗氧化相关保健产品的研究提供理论基础。

     

    Abstract: Objective: Exploring the in vitro hypoglycemic, hypolipidemic and antioxidant activity of Pericarpium Citri Reticulatae volatile oil and dark tea/Pericarpium Citri Reticulatae extract. Methods: The volatile oil components of Pericarpium Citri Reticulatae were analyzed by gas chromatography-mass spectrometry (GC-MS), and then the effects of Pericarpium Citri Reticulatae, dark tea, dark tea with Pericarpium Citri Reticulatae extract and Pericarpium Citri Reticulatae volatile oil on in vitro α-glucosidase, pancreatic α-amylase, pancreatic lipase activity and the DPPH and ABTS+ free radicals scavenging capacity were studied with acarbose, orlistat and vitamin C (VC) as controls. Results: Limonene was the main component of Pericarpium Citri Reticulatae volatile oil, accounting for 62.89% of the total relative content. The inhibition rate of α-glucosidase of dark tea with Pericarpium Citri Reticulatae+volatile oil group (0.1 mg/mL) was 83.38%±1.82%, and the IC50 value was: acarbose<dark tea<dark tea with Pericarpium Citri Reticulatae+volatile oil<dark tea with Pericarpium Citri Reticulatae<Pericarpium Citri Reticulatae. The IC50 value of all groups on pancreatic lipase inhibition rate was in the range of 1.77~2.60 mg/mL. The DPPH free radical scavenging capacity of dark tea with Pericarpium Citri Reticulatae+volatile oil group at a concentration of 0.2 mg/mL was 94.85%±1.39%. The IC50 value of ABTS cation radical scavenging capacity was 27.62~210.90 μg/mL. The IC50 value of DPPH free radical scavenging capacity was 46.73~68.39 μg/mL. The inhibition rate of pancreatic α-amylase activity in the all groups of dark tea with Pericarpium Citri Reticulatae was less than 30 %. Conclusion: The extract of dark tea with Pericarpium Citri Reticulatae has good antioxidant capacity and in vitro hypoglycemic and lipid-lowering activity, and the addition of volatile oil of Pericarpium Citri Reticulatae can improve the antioxidant, in vitro hypoglycemic and lipid-lowering ability of the extract of dark tea with Pericarpium Citri Reticulatae. This study provides a theoretical basis for the development of health care products related to hypoglycemic, hypolipidemic and antioxidation effects of dark tea with Pericarpium Citri Reticulatae.

     

/

返回文章
返回