• 中国科技期刊卓越行动计划项目资助期刊
  • 中国精品科技期刊
  • EI
  • Scopus
  • CAB Abstracts
  • Global Health
  • 北大核心期刊
  • DOAJ
  • EBSCO
  • 中国核心学术期刊RCCSE A+
  • 中国科技核心期刊CSTPCD
  • JST China
  • FSTA
  • 中国农林核心期刊
  • 中国开放获取期刊数据库COAJ
  • CA
  • WJCI
  • 食品科学与工程领域高质量科技期刊分级目录第一方阵T1
中国精品科技期刊2020
韩春然,马调梅,黎晨晨,等. 虾青素囊泡的制备工艺优化及其稳定性考察J. 食品工业科技,2025,46(5):196−208. doi: 10.13386/j.issn1002-0306.2024050315.
引用本文: 韩春然,马调梅,黎晨晨,等. 虾青素囊泡的制备工艺优化及其稳定性考察J. 食品工业科技,2025,46(5):196−208. doi: 10.13386/j.issn1002-0306.2024050315.
HAN Chunran, MA Diaomei, LI Chenchen, et al. Optimization of Preparation Process and Stability Investigation of Astaxanthin VesiclesJ. Science and Technology of Food Industry, 2025, 46(5): 196−208. (in Chinese with English abstract). doi: 10.13386/j.issn1002-0306.2024050315.
Citation: HAN Chunran, MA Diaomei, LI Chenchen, et al. Optimization of Preparation Process and Stability Investigation of Astaxanthin VesiclesJ. Science and Technology of Food Industry, 2025, 46(5): 196−208. (in Chinese with English abstract). doi: 10.13386/j.issn1002-0306.2024050315.

虾青素囊泡的制备工艺优化及其稳定性考察

Optimization of Preparation Process and Stability Investigation of Astaxanthin Vesicles

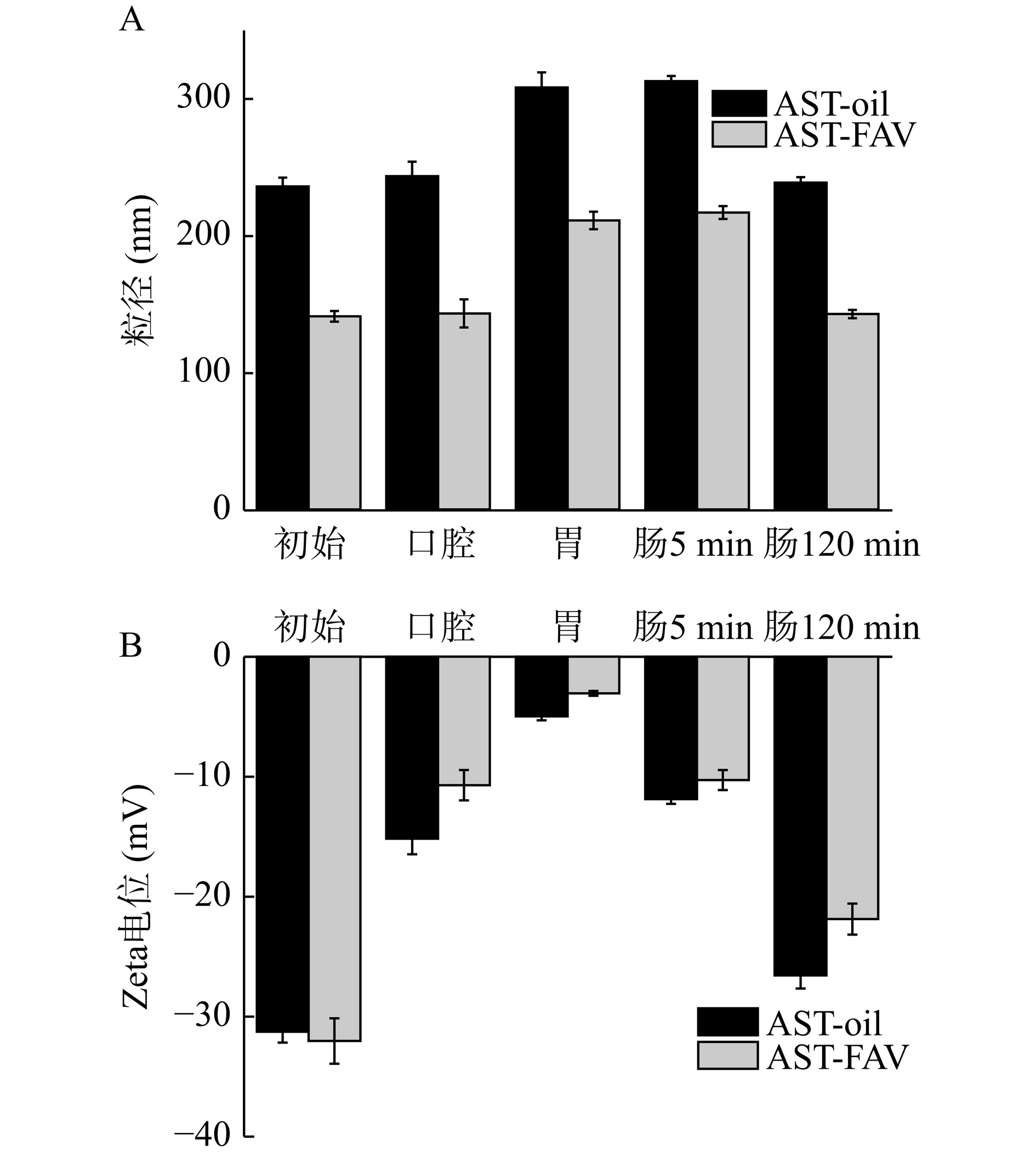
  • 摘要: 目的:为提高虾青素在水相中的分散性,制备虾青素囊泡并考察其在不同环境条件下的稳定性。方法:以不饱和脂肪酸(花生四烯酸)及虾青素为原料,采用薄膜水化法制备了虾青素囊泡,并通过单因素实验和响应面试验优化虾青素囊泡的制备工艺,考察了虾青素囊泡的形态、粒径大小及分布、电位、包封率及贮藏、氧化、体外消化稳定性。结果:虾青素囊泡的最佳制备条件为:虾青素添加量0.14 mg/mL、表面活性剂与脂肪酸比例为1:1、表面活性剂亲水亲油平衡值为7、磷酸缓冲溶液pH为7.0、水化时间为21 min,此时,虾青素囊泡包封率平均值为89.58%±1.47%。透射电子显微镜及粒径分析均表明,虾青素囊泡具有较好的球形结构,平均粒径为(131.74±2.74)nm、PDI为0.25±0.01、Zeta电位为(−38.52±2.31)mV。稳定性实验结果表明16 d贮藏后虾青素囊泡在4 ℃、避光贮藏稳定性较好,与液体状态下贮藏相比,在冻干复溶后虾青素囊泡中虾青素保留率基本一致,且对盐离子有一定的耐受力。经过16 d贮藏后,油溶虾青素的POV和TBARS均为虾青素囊泡的两倍,经体外消化后,二者在小肠消化阶段结束后消化保留率分别为44.19%±2.21%、74.99%±4.37%。结论:本实验制备的虾青素囊泡粒径大小合适、分散性好、包封率较高、稳定性较好,可为开发虾青素衍生产品提供参考依据。

     

    Abstract: Objective: To enhance the dispersion of astaxanthin in aqueous phases, astaxanthin-loaded vesicles were fabricated, and their stability under various environmental conditions was examined. Methods: Using unsaturated fatty acid (arachidonic acid) and astaxanthin as raw materials, astaxanthin liposomes were prepared by thin film hydration method. The preparation process of astaxanthin liposomes was optimized through single-factor and response surface experiments, investigating the morphology, particle size and distribution, Zeta potential, encapsulation efficiency, and stability during storage, oxidation, and in vitro digestion. Results: The optimal conditions for preparing astaxanthin liposomes were as follows: Astaxanthin concentration of 0.14 mg/mL, surfactant to fatty acid ratio of 1:1, hydrophilic-lipophilic balance of surfactant of 7, phosphate buffer solution pH of 7.0, and hydration time of 21 min. Under these conditions, the average encapsulation efficiency of astaxanthin liposomes was 89.58%±1.47%. Transmission electron microscopy and particle size analysis showed that astaxanthin liposomes had a spherical structure with an average particle size of (131.74±2.74) nm, a PDI of 0.25±0.01, and a Zeta potential of (−38.52±2.31) mV. Stability experiments demonstrated that after 16 days of storage at 4 ℃ in the dark, astaxanthin liposomes showed good stability. The retention rate of astaxanthin in liposomes after freeze-drying and reconstitution was similar to that in liquid state, and they exhibited some tolerance to salt ions. After 16 days of storage, the peroxide value (POV) and TBARS of oil-soluble astaxanthin were twice those of astaxanthin liposomes. After in vitro digestion, the digestion retention rate of astaxanthin of the two was 44.19%±2.21% and 74.99%±4.37% at the end of small intestine digestion. Conclusion: The astaxanthin liposomes prepared in this experiment had suitable particle size, good dispersibility, high encapsulation efficiency, and good stability, providing a reference for the development of astaxanthin-derived products.

     

/

返回文章
返回