• 中国科技期刊卓越行动计划项目资助期刊
  • 中国精品科技期刊
  • 首都科技期刊卓越行动计划
  • EI
  • Scopus
  • CAB Abstracts
  • Global Health
  • 北大核心期刊
  • DOAJ
  • EBSCO
  • 中国核心学术期刊RCCSE A+
  • 中国科技核心期刊CSTPCD
  • JST China
  • FSTA
  • 中国农林核心期刊
  • 中国开放获取期刊数据库COAJ
  • CA
  • WJCI
  • 食品科学与工程领域高质量科技期刊分级目录第一方阵T1
中国精品科技期刊2020
郭智鑫,张维,郭英杰,等. HS-SPME-GC-MS结合化学计量学分析低温驯化猕猴桃的挥发性成分J. 食品工业科技,2025,46(9):329−339. doi: 10.13386/j.issn1002-0306.2024050371.
引用本文: 郭智鑫,张维,郭英杰,等. HS-SPME-GC-MS结合化学计量学分析低温驯化猕猴桃的挥发性成分J. 食品工业科技,2025,46(9):329−339. doi: 10.13386/j.issn1002-0306.2024050371.
GUO Zhixin, ZHANG Wei, GUO Yingjie, et al. Analysis of Volatile Organic Compounds in Low-temperature Conditioning of Kiwifruit by HS-SPME-GC-MS Combined with Chemometrics MethodsJ. Science and Technology of Food Industry, 2025, 46(9): 329−339. (in Chinese with English abstract). doi: 10.13386/j.issn1002-0306.2024050371.
Citation: GUO Zhixin, ZHANG Wei, GUO Yingjie, et al. Analysis of Volatile Organic Compounds in Low-temperature Conditioning of Kiwifruit by HS-SPME-GC-MS Combined with Chemometrics MethodsJ. Science and Technology of Food Industry, 2025, 46(9): 329−339. (in Chinese with English abstract). doi: 10.13386/j.issn1002-0306.2024050371.

HS-SPME-GC-MS结合化学计量学分析低温驯化猕猴桃的挥发性成分

Analysis of Volatile Organic Compounds in Low-temperature Conditioning of Kiwifruit by HS-SPME-GC-MS Combined with Chemometrics Methods

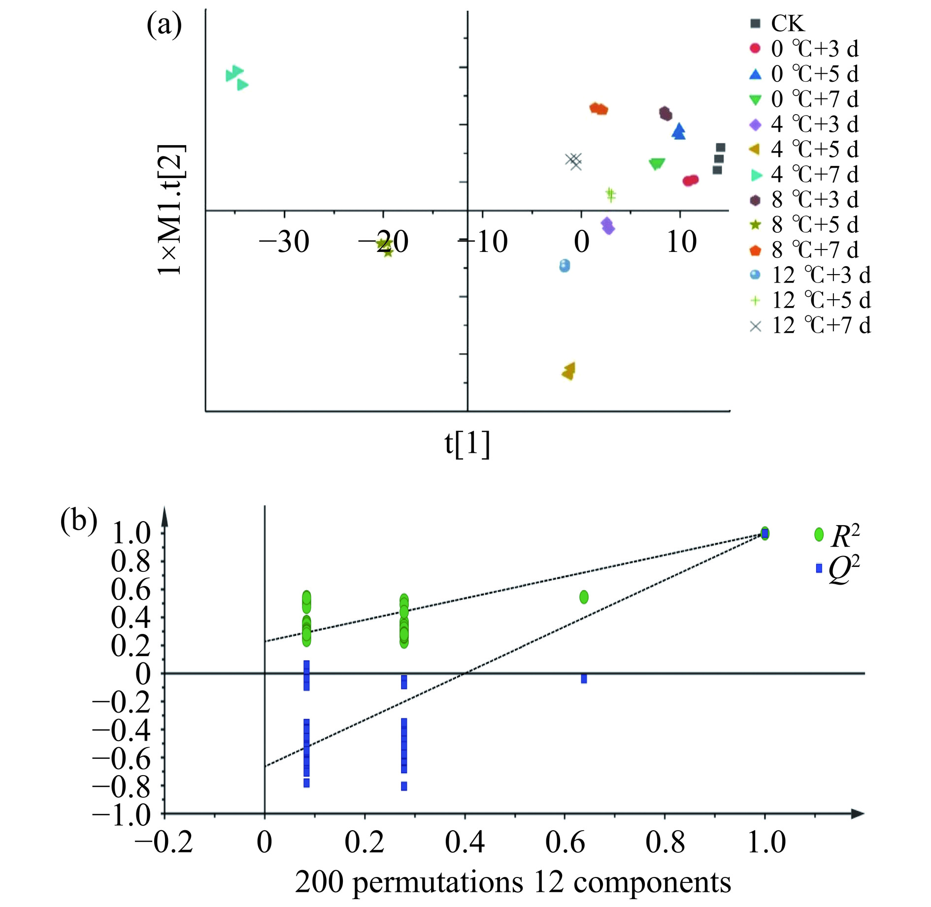
  • 摘要: 为了更好地解决猕猴桃贮藏期间的香气问题,本文以‘米良一号’猕猴桃为试材,分别在0、4、8和12 ℃下驯化3、5和7 d后进行乙烯利催熟后,采用HS-SPME-GC-MS结合化学计量学与相对气味活度值(Relative odor activity value,ROAV)对猕猴桃挥发性成分(Volatile organic compounds,VOCs)进行了分析。共检出67种化合物,其中酯类17种、醇类8种、醛类11种、酮类9种、酸类5种、烷烃类13种和烯萜类4种,酯类物质的种类与含量最高,且不同低温驯化条件下猕猴桃的挥发性成分种类与含量之间存在差异(P<0.05);OPLS-DA模型分类预测准确率为99.5%,并通过VIP>1筛选出苯乙醇等16种差异性挥发性成分;采用ROAV值分析出丁酸乙酯等13种关键香气成分(1≤ROAV≤100),香气轮廓分析可知4 ℃驯化7 d的猕猴桃样品表现出强烈的果香气味,综合香气品质佳;PCA因子分析计算可知,在4 ℃驯化7 d下低温驯化猕猴桃香气最佳。本研究表明低温驯化技术可较好地保留采后猕猴桃贮藏期的香气品质。

     

    Abstract: In order to better solve the problem of kiwifruit aroma during storage, the study utilized 'MiLiang No.1' kiwifruit as the material. The kiwifruit samples were subjected to pre-storage at 0, 4, 8, and 12 ℃ for 3, 5, and 7 d, followed by ethylene treatment for ripening. The volatile organic compounds (VOCs) of the kiwifruit under different temperature pre-storage conditions were analyzed using HS-SPME-GC-MS in conjunction with chemometrics and relative odor activity value (ROAV). The results indicated that a total of 67 compounds were detected, including 17 esters, 8 alcohols, 11 aldehydes, 9 ketones, 5 acids, 13 hydrocarbons, and 4 terpenes. Among them, esters were the most abundant in both variety and content. Furthermore, significant differences were observed in the types and contents of VOCs of kiwifruit under different low-temperature pre-storage conditions (P<0.05). The OPLS-DA model achieved a classification prediction accuracy of 99.5%, and 16 differential VOCs such as phenylethyl alcohol were identified through VIP>1 selection criteria. Furthermore, analysis based on ROAV values revealed 13 key aroma compounds such as ethyl butyrate (1≤ROAV≤100). Aroma profile analysis indicated that kiwifruit samples pre-stored at 4 ℃ for 7 d exhibited a strong fruity aroma, demonstrating superior overall aroma quality. Lastly, PCA factor analysis indicated that the best aroma was achieved under the condition of pre-storage at 4 ℃ for 7 d. This study indicated that low-temperature acclimation technology can better retain the aroma quality of postharvest kiwifruit during storage.

     

/

返回文章
返回